We Could Have Stopped There Too

(But the Question About Annihilation Would Not Stay Quiet)

In a previous post, I wrote that we could stop here — after revisiting the photon wavefunction and trying to say, as carefully as possible, what such a wavefunction might represent in physical reality rather than merely in calculation. That paper already felt like a natural resting point: the mathematics was consistent, the interpretation restrained, and the temptation to add speculative layers had been resisted.

But, as often happens, the very act of stopping made the next question louder.

If one is willing to take wavefunctions seriously — not as mystical probability clouds but as structured representations of physical processes — then one cannot avoid revisiting an older and more uncomfortable puzzle: matter–antimatter pair creation and annihilation. In particular, the question that has bothered me for years refused to go away:

What, exactly, happens to electric charge in electron–positron annihilation?

In January 2025, I wrote a paper on this topic together with ChatGPT-4.0. That version deliberately stopped short of resolution. It explored wavefunctional representations, respected global conservation laws, and openly admitted that familiar intuitions about charge seemed to fail locally. I resisted easy exits: latent charge states, hidden reservoirs, or metaphysical bookkeeping devices introduced only to preserve comfort.

At the time, that felt honest enough.

What changed since then is not the question, but the discipline with which I was forced to re-examine my own assumptions.

Over the past months, continued work with a more advanced AI system (ChatGPT-5.2), across many iterations and with partial memory of prior discussions, introduced a form of pressure that was unfamiliar but productive. The AI did not argue for a competing ontology. Instead, it kept doing something more unsettling: it repeatedly asked why certain assumptions were still being carried along at all.

In hindsight, I can see that I was still clinging — subconsciously — to the idea that charge must be something that persists, even if I no longer knew where to put it. That assumption had survived earlier criticism not because it was well-justified, but because it was deeply ingrained.

What finally shifted the balance was a stricter application of Occam’s razor — applied not to equations, but to ontological commitments. If charge is inseparable from a specific physical organization (of motion, phase, and localization), then insisting that it must survive the dissolution of that organization is not conservative reasoning. It is surplus.

This led, reluctantly but unavoidably, to a provisional reformulation: perhaps charge is not a substance that must “go somewhere,” but a mode of organization that ceases to exist when the organization itself dissolves. This idea is not offered as a new metaphysical doctrine. On the contrary, it emerged as a refusal to introduce additional entities whose only role would be to save intuition.

The revised paper therefore appears in two parts. The January version is preserved intact, as a record of where the reasoning stood at that time. The new December revision does not correct it so much as re-read it under harsher criteria of conceptual economy. Several distinctions — including the boson–fermion divide — remain descriptively useful, but are relieved of explanatory burdens they were never meant to carry.

As before, no final answers are claimed. The ontological and philosophical implications are intentionally left for the reader — real or imaginary — to judge. The role of AI in this process was not to supply insight, but to apply relentless pressure against conceptual inertia. Any logical errors or unwarranted commitments that remain are mine alone, even if much of the textual consistency was produced by artificial means.

We could, perhaps, stop here as well.

But I have learned to be suspicious of that feeling. When a question keeps knocking, it is usually because something unnecessary is still being held onto — and is asking to be let go.

Antimatter, dark matter and cosmogenesis

I used ChatGPT to push the math and logic of my ‘realist’ interpretation of (1) matter-antimatter annihilation and creation (the Dirac and Breit-Wheeler processes, respectively) and (2) dark matter and dark energy to its logical and philosophical limits. For those who do not like to read, I made two short audio videos as well: the one on my “mirror force” idea is here, and from there you can go to the other video(s) in the playlist. 🙂 The implications for cosmogenesis models are rather profound – it calls for another approach to explain any “Big Bang” that may or may not have occurred when our Universe was born – so that is something to explore in the future, perhaps.

Epilogue: an Easter podcast

I have been thinking on my explanation of dark matter/energy, and I think it is sound. It solves the last asymmetry in my models, and explains all. So, after a hiatus of two years, I bothered to make a podcast on my YouTube channel once again. It talks about everything. Literally everything !

It makes me feel my quest for understanding of matter and energy – in terms of classical concepts and measurements (as depicted below) – has ended. Perhaps I will write more but that would only be to promote the material, which should promote itself if it is any good (which I think it is).

I should, by way of conclusion, say a few final words about Feynman’s 1963 Lectures now. When everything is said and done, it is my reading of them which had triggered this blog about ten years ago. I would now recommend Volume I and II (classical physics and electromagnetic theory) – if only because it gives you all the math you need to understand all of physics – but not Volume III (the lectures on quantum mechanics). They are outdated, and I do find Feynman guilty of promoting rather than explaining the hocus-pocus around all of the so-called mysteries in this special branch of physics.

Quantum mechanics is special, but I do conclude now that it can all be explained in terms of classical concepts and quantities. So, Gell-Mann’s criticism of Richard Feynman is, perhaps, correct: Mr. Feynman did, perhaps, make too many jokes – and it gets annoying because he must have known some of what he suggests does not make sense – even if I would not go as far as Gell-Mann, who says “Feynman was only concerned about himself, his ego, and his own image !” :-/

So, I would recommend my own alternative series of ‘lectures’. Not only are they easier to read, but they also embody a different spirit of writing. Science is not about you, it is about thinking for oneself and deciding on what is truthful and useful, and what is not. So, to conclude, I will end by quoting Ludwig Boltzmann once more:

Bring forward what is true.

Write it so that it is clear.

Defend it to your last breath.”

Ludwig Boltzmann (1844 – 1906)

Post scriptum: As for the ‘hocus-pocus’ in Feynman’s Lectures, we should, perhaps, point once again to some of our early papers on the flaws in his arguments. We effectively put our finger on the arbitrary wavefunction convention, or the (false) boson-fermion dichotomy, or the ‘time machine’ argument that is inherent to his explanation of the Hamiltonian, and so on. We published these things on Academia.edu before (also) putting our (later) papers ResearchGate, so please check there for the full series. 🙂

Post scriptum (23 April 2023): Also check out this video, which was triggered by someone who thought my models amount to something like a modern aether theory, which it is definitely not the case: https://www.youtube.com/watch?v=X38u2-nXoto. 🙂 I really think it is my last reflection on these topics. I need to focus on my day job, sports, family, etcetera again ! 🙂

An antiforce to explain dark matter?

If you are interested in physics and cosmological theories, then you will know all research has been shaken up by the discovery of dark matter and dark energy. The fact of the matter is this: in 2011, a Nobel Prize was awarded to different teams of astronomers who, independently, discovered a whole lot of matter in our Universe – most matter in the Universe, actually – and that mainstream physicists have no idea about how to go about it in terms of modeling its structure and true nature: it seems quantum field theory and confined quarks and gluons and color charges are pretty useless in this regard.

The discovery goes back to 1998 (so it took the Nobel Prize committee more than ten years to verify it or to see its enormous value as a discovery), and is duly reported in the Wikipedia article on the cosmological constant because of its implications, although I have issues with the contributor to that article talking about ‘a repulsive force’ that would counterbalance the gravitational braking produced by the matter contained in the universe’: that sounds whacky to me. 🙂

The bottom line is this: according to research quoted by NASA, roughly 68% of the Universe would be dark energy, while dark matter makes up another 27%. Hence, all normal matter – including our Earth and all we observe as normal matter outside of it – would add up to less than 5% of it. Hence, NASA rightly notes we should, perhaps, not refer to ‘normal’ matter as ‘normal’ matter at all, since it is such a small fraction of the universe!

Now, as mentioned above: theoretical physicists have no clue about the nature of this dark matter. As our modeling of electrons and protons as two- and three-dimensional electromagnetic oscillations has provided easy answers to difficult questions, we thought we might, perhaps, explore one particularity of the electromagnetic force. Indeed, the electromagnetic force introduces this weird asymmetry in Nature: we know that, in our world, the magnetic field lags the electric field. The phase difference is 90 degrees, and you probably have a good mental image of that electric and magnetic field vector oscillating up and down and also moving together along a line in space. [If not, have a look at this GIF animation in the Wikipedia article on Maxwell’s equations. It shows a linearly polarized wave: both the electric and magnetic field vector oscillate along a straight line rather than rotating around (as they would do in a circularly or elliptically polarized wave).]

Of course, you may not think of this as a necessary asymmetry: if the magnetic field vector were to be 180 degrees out of phase with the electric field vector, then that would make no sense because the magnetic and electric field vectors would be working against each other. Also, we would have no propagation mechanism and all that. In fact, we would have no electromagnetic force theory and we would, quite simply, not be here to write this.

However, that is not what I mean by an asymmetry: what I am saying is that we can imagine another alternative. We can imagine the magnetic field vector to lead instead of to lag in regard to the electric field vector. Hence, Occam’s Razor tells us we should seriously consider such force actually exists! The situation is not unlike how the positron was discovered: people start looking for it because, in the math of his wave equation, Dirac saw positrons could possibly exist. Once people started seriously considering it, they actually found it (Anderson, 1932).

Exceptional measurements require exceptional explanations and so, yes, we thought: why not apply Occam’s Razor once more? Our idea of an antiforce is or was the one degree of freedom in our mathematical representation of matter-particles that we had not exploited yet[1], so our intuition tells us it might be worth considering.

Have a look at it (click the link to our RG paper here). It is a very short and crisp paper, and we think of it as fun to read but that is, of course, for you to judge. 🙂


[1] Truth be told, we were not aware or intrigued by the idea of dark matter or energy about a year ago. We can, however, now see we are actually closing and exploiting an aspect of our modeling of the electromagnetic force which we had not seen before. The history of science shows Occam’s Razor is a good guide for getting at the right model, and so we feel our rather radical use of this principle – in the tradition of P.A.M. Dirac and others, indeed! – may yield interesting results once more.

Movies, space travel and life elsewhere

I went to see the follow-up to Avatar (‘The Way of Water’). It took over 10 years to produce it. Indeed, how time flies: the first ‘Avatar’ was released in 2009 and was, apparently, the highest grossing film of all times (according to Wikipedia, at least). This installment is not doing badly either in terms of revenue and popularity but, frankly, I found it rather underwhelming. This may be because of the current international situation. Indeed, I wonder why American soldiers must always be the ‘true’ space explorers in such movies. Why not some friendly Chinese or Indian explorers? Fortunately, it will be a while before mankind will be able to build spaceships that can travel at speeds that would allow us to visit, say, the Gliese 667 Cc planet, which may well be the nearest planet that is inhabitable (practically speaking), but which is about 22 lightyears away, so that would be a few thousand years of travel with our current spacecraft. Mankind will have to find a way to keep our own planet inhabitable for some more time… Planets like Gliese 667 Cc and other exoplanets that may have life like we know it, will be safe from us for quite a while. 🙂

These are rather philosophical thoughts, but they came up as I was adding an annex to my one and only paper on cosmology, in which I argue there are no mysteries left: the question of ‘dark matter’ is solved when we think of it as anti-matter, and even the accelerating rate of expansion of the Universe could probably be explained by assuming our Universe is just a blob in a larger cluster of universes. These other universes are, obviously, beyond our horizon: that horizon is just the age of the Universe, which is currently estimated to be about 13.8 billion (109) years and which determines the limits of the observable Universe. Hence, not only can we not see or know the outer edges of our Universe (because those outer parts moved further out in the meanwhile, and at the rather astonishing speed of 2c/3, and so must assume the end-to-end distance across the Universe is of the order of 46 billion lightyears), but we would also never see the other universes that are tearing our own Universe apart, so to speak.

By the way, this thought is quite consistent with an earlier thought I had – much before I even knew about this acceleration in the expansion of our Universe when thinking about the Big Bang theory: I always wondered why the coming-into-being of our Universe should be such simple linear and unique process. Why not think of several Big Bangs at different places and times? So, if other universes would exist and tear ours apart, so to speak, then here you have the explanation !

[…]

However, I am not writing this post to share some assumptions or observations. It is to share this thought: is it not strange to think we know all about how reality works (as mentioned, I think there are no real questions or mysteries left in the science of physics) but that, at the same time, we are quite alone with our science and technology here on Earth?

Indeed, other forms of intelligent life are likely (highly likely, in light of the rather incredible size of the Universe), but they are too far away to be relevant to us: probably hundreds or even thousands of lightyears away, rather than only 20 or 40 of lightyears, which is the distance to the nearest terrestrial exoplanets, such as the mentioned Gliese 667 Cc planet. So we know it all and we relish in such knowledge and then, one day, we just die?

It is a strange thought, isn’t it? :-/

Pair creation and annihilation

I had been wanting to update my paper on matter-antimatter pair creation and annihilation for a long time, and I finally did it: here is the new version of it. It was one of my early papers on ResearchGate and, somewhat surprising, it got quite a few downloads (all is relative: I am happy with a few thousand). I actually did not know why, but now I understand: it does take down the last defenses of QCD- and QFT-theorists. As such, I now think this paper is at least as groundbreaking as my paper on de Broglie’s matter-wave (which gets the most reads), or my paper on the proton radius (which gets the most recommendations).

My paper on de Broglie’s matter-wave is important because it explains why and how de Broglie’s bright insight (matter having some frequency and wavelength) was correct, but got the wrong interpretation: the frequencies and wavelengths are orbital frequencies, and the wavelengths are are not to be interpreted as linear distances (not like wavelengths of light) but the quantum-mechanical equivalent of the circumferences of orbital radii. The paper also shows why spin (in this or the opposite direction) should be incorporated into any analysis straight from the start: you cannot just ignore spin and plug it in back later. The paper on the proton radius shows how that works to yield short and concise explanations of the measurable properties of elementary particles (the electron and the proton). The two combined provide the framework: an analysis of matter in terms of pointlike particles does not get us anywhere. We must think of matter as charge in motion, and we must analyze the two- or three-dimensional structure of these oscillations, and use it to also explain interactions between matter-particles (elementary or composite) and light-particles (photons and neutrinos, basically). I have explained these mass-without-mass models too many times now, so I will not dwell on it.

So, how that paper on matter-antimatter pair creation and annihilation fit in? The revision resulted in a rather long and verbose thing, so I will refer you to it and just summarize it very briefly. Let me start by copying the abstract: “The phenomenon of matter-antimatter pair creation and annihilation is usually taken as confirmation that, somehow, fields can condense into matter-particles or, conversely, that matter-particles can somehow turn into lightlike particles (photons and/or neutrinos, which are nothing but traveling fields: electromagnetic or, in the case of the neutrino, some strong field, perhaps). However, pair creation usually involves the presence of a nucleus or other charged particles (such as electrons in experiment #E144). We, therefore, wonder whether pair creation and annihilation cannot be analyzed as part of some nuclear process. To be precise, we argue that the usual nuclear reactions involving protons and neutrons can effectively account for the processes of pair creation and annihilation. We therefore argue that the need to invoke some quantum field theory (QFT) to explain these high-energy processes would need to be justified much better than it currently is.”

Needless to say, the last line above is a euphemism: we think our explanation is complete, and that QFT is plain useless. We wrote the following rather scathing appreciation of it in a footnote of the paper: “We think of Aitchison & Hey’s presentation of [matter-antimatter pair creation and annihilation] in their Gauge Theories in Particle Physics (2012) – or presentations (plural), we should say. It is considered to be an advanced but standard textbook on phenomena like this. However, one quickly finds oneself going through the index and scraping together various mathematical treatments – wondering what they explain, and also wondering how all of the unanswered questions or hypotheses (such as, for example, the particularities of flavor mixing, helicity, the Majorana hypothesis, etcetera) contribute to understanding the nature of the matter at hand. I consider it a typical example of how – paraphrasing Sabine Hossenfelder’s judgment on the state of advanced physics research – physicist do indeed tend to get lost in math.”

That says it all. Our thesis is that charge cannot just appear or disappear: it is not being created out of nothing (or out of fields, we should say). The observations (think of pion production and decay from cosmic rays here) and the results of the experiments (the mentioned #E144 experiment or other high-energy experiments) cannot be disputed, but the mainstream interpretation of what actually happens or might be happening in those chain reactions suffers from what, in daily life, we would refer to as ‘very sloppy accounting’. Let me quote or paraphrase a few more lines from my paper to highlight the problem, and to also introduce my interpretation of things which, as usual, are based on a more structural analysis of what matter actually is:

“Pair creation is most often observed in the presence of a nucleus. The role of the nucleus is usually reduced to that of a heavy mass only: it only appears in the explanation to absorb or provide some kinetic energy in the overall reaction. We instinctively feel the role of the nucleus must be far more important than what is usually suggested. To be specific, we suggest pair creation should (also) be analyzed as being part of a larger nuclear process involving neutron-proton interactions. […]”

“Charge does not get ‘lost’ or is ‘created’, but [can] switch its ‘spacetime’ or ‘force’ signature [when interacting with high-energy (anti)photons or (anti)neutrinos].”

“[The #E144 experiment or other high-energy experiments involving electrons] accounts for the result of the experiment in terms of mainstream QED analysis, and effectively thinks of the pair production being the result of the theoretical ‘Breit-Wheeler’ pair production process from photons only. However, this description of the experiment fails to properly account for the incoming beam of electrons. That, then, is the main weakness of the ‘explanation’: it is a bit like making abstraction of the presence of the nucleus in the pair creation processes that take place near them (which, as mentioned above, account for the bulk of those).”

We will say nothing more about it here because we want to keep our blog post(s) short: read the paper! 🙂 To wrap this up for you, the reader(s) of this post, we will only quote or paraphrase some more ontological or philosophical remarks in it:

“The three-layered structure of the electron (the classical, Compton and Bohr radii of the electron) suggest that charge may have some fractal structure and – moreover – that such fractal structure may be infinite. Why do we think so? If the fractal structure would not be infinite, we would have to acknowledge – logically – that some kind of hard core charge is at the center of the oscillations that make up these particles, and it would be very hard to explain how this can actually disappear.” [Note: This is a rather novel new subtlety in our realist interpretation of quantum physics, so you may want to think about it. Indeed, we were initially not very favorable to the idea of a fractal charge structure because such fractal structure is, perhaps, not entirely consistent with the idea of a Zitterbewegung charge with zero rest mass), we think much more favorably of the hypothesis now.]

“The concept of charge is and remains mysterious. However, in philosophical or ontological terms, I do not think of it as a mystery: at some point, we must, perhaps, accept that the essence of the world is charge, and that:

  • There is also an antiworld, and that;
  • It consists of an anticharge that we can fully define in terms of the signature of the force(s) that keep it together, and that;
  • The two worlds can, quite simply, not co-exist or – at least – not interact with each other without annihilating each other.

Such simple view of things must, of course, feed into cosmological theories: how, then, came these two worlds into being? We offered some suggestions on that in a rather simple paper on cosmology (our one and only paper on the topic), but it is not a terrain that we have explored (yet).”

So, I will end this post in pretty much the same way as the old Looney Tunes or Merrie Melodies cartoons used to end, and that’s by saying: “That’s all Folks.” 🙂

Enjoy life and do not worry too much. It is all under control and, if it is not, then that is OK too. 🙂

The Nature of Antimatter (dark matter)

The electromagnetic force has an asymmetry: the magnetic field lags the electric field. The phase shift is 90 degrees. We can use complex notation to write the E and B vectors as functions of each other. Indeed, the Lorentz force on a charge is equal to: F = qE + q(v×B). Hence, if we know the (electric field) E, then we know the (magnetic field) B: B is perpendicular to E, and its magnitude is 1/c times the magnitude of E. We may, therefore, write:

B = –iE/c

The minus sign in the B = –iE/c expression is there because we need to combine several conventions here. Of course, there is the classical (physical) right-hand rule for E and B, but we also need to combine the right-hand rule for the coordinate system with the convention that multiplication with the imaginary unit amounts to a counterclockwise rotation by 90 degrees. Hence, the minus sign is necessary for the consistency of the description. It ensures that we can associate the aeiEt/ħ and aeiEt/ħ functions with left and right-handed spin (angular momentum), respectively.

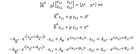
Now, we can easily imagine a antiforce: an electromagnetic antiforce would have a magnetic field which precedes the electric field by 90 degrees, and we can do the same for the nuclear force (EM and nuclear oscillations are 2D and 3D oscillations respectively). It is just an application of Occam’s Razor principle: the mathematical possibilities in the description (notations and equations) must correspond to physical realities, and vice versa (one-on-one). Hence, to describe antimatter, all we have to do is to put a minus sign in front of the wavefunction. [Of course, we should also take the opposite of the charge(s) of its antimatter counterpart, and please note we have a possible plural here (charges) because we think of neutral particles (e.g. neutrons, or neutral mesons) as consisting of opposite charges.] This is just the principle which we already applied when working out the equation for the neutral antikaon (see Annex IV and V of the above-referenced paper):

Don’t worry if you do not understand too much of the equations: we just put them there to impress the professionals. 🙂 The point is this: matter and antimatter are each other opposite, literally: the wavefunctions aeiEt/ħ and –aeiEt/ħ add up to zero, and they correspond to opposite forces too! Of course, we also have lightparticles, so we have antiphotons and antineutrinos too.

We think this explains the rather enormous amount of so-called dark matter and dark energy in the Universe (the Wikipedia article on dark matter says it accounts for about 85% of the total mass/energy of the Universe, while the article on the observable Universe puts it at about 95%!). We did not say much about this in our YouTube talk about the Universe, but we think we understand things now. Dark matter is called dark because it does not appear to interact with the electromagnetic field: it does not seem to absorb, reflect or emit electromagnetic radiation, and is, therefore, difficult to detect. That should not be a surprise: antiphotons would not be absorbed or emitted by ordinary matter. Only anti-atoms (i.e. think of a antihydrogen atom as a antiproton and a positron here) would do so.

So did we explain the mystery? We think so. 🙂

We will conclude with a final remark/question. The opposite spacetime signature of antimatter is, obviously, equivalent to a swap of the real and imaginary axes. This begs the question: can we, perhaps, dispense with the concept of charge altogether? Is geometry enough to understand everything? We are not quite sure how to answer this question but we do not think so: a positron is a positron, and an electron is an electron¾the sign of the charge (positive and negative, respectively) is what distinguishes them! We also think charge is conserved, at the level of the charges themselves (see our paper on matter/antimatter pair production and annihilation).

We, therefore, think of charge as the essence of the Universe. But, yes, everything else is sheer geometry! 🙂

Quantum field theory and pair creation/annihilation

The creation and annihilation of matter-antimatter pairs is usually taken as proof that, somehow, fields can condense into matter-particles or, conversely, that matter-particles can somehow turn into light-particles (photons), which are nothing but traveling electromagnetic fields. However, pair creation always requires the presence of another particle and one may, therefore, legitimately wonder whether the electron and positron were not already present, somehow.

Carl Anderson’s original discovery of the positron involved cosmic rays hitting atmospheric molecules, a process which involves the creation of unstable particles including pions. Cosmic rays themselves are, unlike what the name suggests, no rays – not like gamma rays, at least – but highly energetic protons and atomic nuclei. Hence, they consist of matter-particles, not of photons. The creation of electron-positron pairs from cosmic rays also involves pions as intermediate particles:

1. The π+ and π particles have net positive and negative charge of 1 e+ and 1 e respectively. According to mainstream theory, this is because they combine a u and d quark but – abandoning the quark hypothesis[1] – we may want to think their charge could be explained, perhaps, by the presence of an electron![2]

2. The neutral pion, in turn, might, perhaps, consist of an electron and a positron, which should annihilate but take some time to do so!

Neutral pions have a much shorter lifetime – in the order of 10-18 s only – than π+ and π particles, whose lifetime is a much more respectable 2.6 times 10-8 s. Something you can effectively measure, in order words.[3] In short, despite similar energies, neutral pions do not seem to have a lot in common with π+ and π particles. Even the energy difference is quite substantial when measured in terms of the electron mass: the neutral pion has an energy of about 135 MeV, while π+ and π particles have an energy of almost 140 MeV. To be precise, the difference is about 4.6 MeV. That is quite a lot: the electron rest energy is 0.511 MeV only.[4] So it is not stupid to think that π+ and π particles might carry an extra positron or electron, somehow. In our not-so-humble view, this is as legitimate as thinking – like Rutherford did – that a neutron should, somehow, combine a proton and an electron.[5]

The whole analysis – both in the QED as well as in the QCD sector of quantum physics – would radically alter when thinking of neutral particles – such as neutrons and π0 particles – not as consisting of quarks but of protons/antiprotons and/or electrons/positrons cancelling each other’s charges out. We have not seen much – if anything – which convinces us this cannot be correct. We, therefore, believe a more realist interpretation of quantum physics should be possible for high-energy phenomena as well. With a more realist theory, we mean one that does not involve quantum field and/or renormalization theory.

Such new theory would not be contradictory to the principle that, in Nature, the number of charged particles is no longer conserved, but that total (net) charge is actually being conserved, always. Hence, charged particles could appear and disappear, but they would be part of neutral particles. All particles in such processes are very short-lived anyway, so what is a particle here? We should probably think of these things as an unstable combination of various bits and bobs, isn’t it? 😊

So, yes, we did a paper on this. And we like it. Have a look: it’s on ResearchGate, academia.edu, and – as usual – Phil Gibb’s site (which has all of our papers, including our very early ones, which you might want to take with a pinch of salt). 🙂


[1] You may be so familiar with quarks that you do not want to question this hypothesis anymore. If so, let me ask you: where do the quarks go when a π± particle disintegrates into a muon-e±?

[2] They disintegrate into muons (muon-electrons or muon-positrons), which themselves then decay into an electron or a positron respectively.

[3] The point estimate of the lifetime of a neutral pion of the Particle Data Group (PDG) is about 8.5 times 10-17 s. Such short lifetimes cannot measured in a classical sense: such particles are usually referred to as resonances (rather than particles) and the lifetime is calculated from a so-called resonance width. We may discuss this approach in more detail later.

[4] Of course, it is much smaller when compared to the proton (rest) energy, which it is about 938 MeV.

[5] See our short history of quantum-mechanical ideas or our paper on protons and neutrons.

Matter and antimatter

Matter and anti-matter: what’s the difference? The charge, of course: positive versus negative. Yes. Of course! But what’s beyond? Our ring current model offers a geometric explanation, so we thought we might try our hand at offering a geometric explanation of the difference between matter and anti-matter too. Have a look at the paper. It’s kinda primitive, but I need to start somewhere, right? 🙂