Moderation, Measurements, and the Temptation of Ontology

Why physics must resist becoming metaphysics


Some time ago, I found myself involved in what can best be described as an intellectual fallout with a group of well‑intentioned amateur researchers. This post is meant to close that loop — calmly, without bitterness, and with a bit of perspective gained since.

One of the more sensible people in that group bothered to push an interesting article onto my desk, and so I want to talk about that one here.


Gary Taubes, CERN, and an unexpected reinforcement

It’s an article by Gary Taubes on the discovery of the W and Z bosons at CERN, later incorporated into his book Nobel Dreams. Far from undermining my position, the article did the opposite: it reinforced the point I had been trying to make all along.

Taubes does not engage in ontology. He does not ask what W and Z bosons are in a metaphysical sense. Instead, he describes what was measured, how it was inferred, and how fragile the boundary is between evidence and interpretation in large‑scale experimental physics.

This connects directly to an earlier piece I published here:

Something Rotten in the State of QED: A Careful Look at Critique, Sociology, and the Limits of Modern Physics
https://readingfeynman.org/2025/12/01/something-rotten-in-the-state-of-qed-a-careful-look-at-critique-sociology-and-the-limits-of-modern-physics/

Let me restate the central point, because it is still widely misunderstood:

Criticizing the ontologization of W/Z bosons (or quarks and gluons) is not the same as denying the reality of the measurements that led to their introduction.

The measurements are real. The detector signals are real. The conservation laws used to infer missing energy and momentum are real. What is not forced upon us is the metaphysical leap that turns transient, unstable interaction states into quasi‑permanent “things.”


Stable vs. unstable states — a distinction we keep blurring

My own work has consistently tried to highlight a distinction that I find increasingly absent — or at least under‑emphasized — in mainstream physics discourse:

  • Stable states: long‑lived, persistent, and directly accessible through repeated measurement
  • Unstable or intermediate states: short‑lived, inferred through decay products, reconstructed statistically

W and Z bosons belong firmly to the second category. So do quarks and gluons in their confined form. Treating them as ontologically equivalent to stable particles may be pragmatically useful, but it comes at a conceptual cost.

It is precisely this cost that I criticize when I criticize mainstream physics.

Not because mainstream physics is “wrong.”
But because it has become too comfortable collapsing epistemology into ontology, especially in its public and pedagogical narratives.


Why this matters now

There is another reason this distinction matters, and it is a forward‑looking one.

The probability that something radically new — in the sense of a fundamentally novel interaction or particle family — will be discovered in the coming decades is, by most sober assessments, rather low. What we will have, however, is:

  • More precise measurements
  • Larger datasets
  • Longer baselines
  • Better statistical control

In that landscape, progress will depend less on naming new entities and more on bridging what has already been measured, sometimes decades ago, but never fully conceptually digested.

That is where I intend to focus my efforts in the coming years.

Not by founding a new church.
Not by declaring metaphysical revolutions.
But by carefully working at the interface between:

  • what was actually measured,
  • what was legitimately inferred,
  • and what we may have too quickly reified.

Closing note

If there is one lesson I take — from the past dispute, from Taubes, from the history of CERN or fundamental physics in general — it is this:

Physics progresses best when it remains modest about what it claims to be about.

Measurements first. Interpretation second. Ontology, if at all, only with restraint.

That stance may be unsatisfying to those looking for grand narratives. But it is, I believe, the only way to keep physics from quietly turning into metaphysics while still wearing a lab coat.

Jean Louis Van Belle

Something Rotten in the State of QED? A Careful Look at Critique, Sociology, and the Limits of Modern Physics

Every few years, a paper comes along that stirs discomfort — not because it is wrong, but because it touches a nerve.
Oliver Consa’s Something is rotten in the state of QED is one of those papers.

It is not a technical QED calculation.
It is a polemic: a long critique of renormalization, historical shortcuts, convenient coincidences, and suspiciously good matches between theory and experiment. Consa argues that QED’s foundations were improvised, normalized, mythologized, and finally institutionalized into a polished narrative that glosses over its original cracks.

This is an attractive story.
Too attractive, perhaps.
So instead of reacting emotionally — pro or contra — I decided to dissect the argument with a bit of help.

At my request, an AI language model (“Iggy”) assisted in the analysis. Not to praise me. Not to flatter Consa. Not to perform tricks.
Simply to act as a scalpel: cold, precise, and unafraid to separate structure from rhetoric.

This post is the result.


1. What Consa gets right (and why it matters)

Let’s begin with the genuinely valuable parts of his argument.

a) Renormalization unease is legitimate

Dirac, Feynman, Dyson, and others really did express deep dissatisfaction with renormalization. “Hocus-pocus” was not a joke; it was a confession.

Early QED involved:

  • cutoff procedures pulled out of thin air,
  • infinities subtracted by fiat,
  • and the philosophical hope that “the math will work itself out later.”

It did work out later — to some extent — but the conceptual discomfort remains justified. I share that discomfort. There is something inelegant about infinities everywhere.

b) Scientific sociology is real

The post-war era centralized experimental and institutional power in a way physics had never seen. Prestige, funding, and access influenced what got published and what was ignored. Not a conspiracy — just sociology.

Consa is right to point out that real science is messier than textbook linearity.

c) The g–2 tension is real

The ongoing discrepancy between experiment and the Standard Model is not fringe. It is one of the defining questions in particle physics today.

On these points, Consa is a useful corrective:
he reminds us to stay honest about historical compromises and conceptual gaps.


2. Where Consa overreaches

But critique is one thing; accusation is another.

Consa repeatedly moves from:

“QED evolved through trial and error”
to
“QED is essentially fraud.”

This jump is unjustified.

a) Messiness ≠ manipulation

Early QED calculations were ugly. They were corrected decades later. Experiments did shift. Error bars did move.

That is simply how science evolves.

The fact that a 1947 calculation doesn’t match a 1980 value is not evidence of deceit — it is evidence of refinement. Consa collapses that distinction.

b) Ignoring the full evidence landscape

He focuses almost exclusively on:

  • the Lamb shift,
  • the electron g–2,
  • the muon g–2.

Important numbers, yes — but QED’s experimental foundation is vastly broader:

  • scattering cross-sections,
  • vacuum polarization,
  • atomic spectra,
  • collider data,
  • running of α, etc.

You cannot judge an entire theory on two or three benchmarks.

c) Underestimating theoretical structure

QED is not “fudge + diagrams.”
It is constrained by:

  • Lorentz invariance,
  • gauge symmetry,
  • locality,
  • renormalizability.

Even if we dislike the mathematical machinery, the structure is not arbitrary.

So: Consa reveals real cracks, but then paints the entire edifice as rotten.
That is unjustified.


3. A personal aside: the Zitter Institute and the danger of counter-churches

For a time, I was nominally associated with the Zitter Institute — a loosely organized group exploring alternatives to mainstream quantum theory, including zitterbewegung-based particle models.

I now would like to distance myself.

Not because alternative models are unworthy — quite the opposite. But because I instinctively resist:

  • strong internal identity,
  • suspicion of outsiders,
  • rhetorical overreach,
  • selective reading of evidence,
  • and occasional dogmatism about their own preferred models.

If we criticize mainstream physics for ad hoc factors, we must be brutal about our own.

Alternative science is not automatically cleaner science.


4. Two emails from 2020: why good scientists can’t always engage

This brings me to two telling exchanges from 2020 with outstanding experimentalists: Prof. Randolf Pohl (muonic hydrogen) and Prof. Ashot Gasparian (PRad).

Both deserve enormous respect, and I won’t reveal the email exchanges because of respect, GDPR rules or whatever).
Both email exchanges revealed the true bottleneck in modern physics to me — it is not intelligence, not malice, but sociology and bandwidth.

a) Randolf Pohl: polite skepticism, institutional gravity

Pohl was kind but firm:

  • He saw the geometric relations I proposed as numerology.
  • He questioned applicability to other particles.
  • He emphasized the conservatism of CODATA logic.

Perfectly valid.
Perfectly respectable.
But also… perfectly bound by institutional norms.

His answer was thoughtful — and constrained.
(Source: ChatGPT analysis of emails with Prof Dr Pohl)

b) Ashot Gasparian: warm support, but no bandwidth

Gasparian responded warmly:

  • “Certainly your approach and the numbers are interesting.”
  • But: “We are very busy with the next experiment.”

Also perfectly valid.
And revealing:
even curious, open-minded scientists cannot afford to explore conceptual alternatives.

Their world runs on deadlines, graduate students, collaborations, grants.

(Source: ChatGPT analysis of emails with Prof Dr Pohl)

The lesson

Neither professor dismissed the ideas because they were nonsensical.
They simply had no institutional space to pursue them.

That is the quiet truth:
the bottleneck is not competence, but structure.


5. Why I now use AI as an epistemic partner

This brings me to the role of AI.

Some colleagues (including members of the Zitter Institute) look down on using AI in foundational research. They see it as cheating, or unserious, or threatening to their identity as “outsiders.”

But here is the irony:

AI is exactly the tool that can think speculatively without career risk.

An AI:

  • has no grant committee,
  • no publication pressure,
  • no academic identity to defend,
  • no fear of being wrong,
  • no need to “fit in.”

That makes it ideal for exploratory ontology-building.

Occasionally, as in the recent paper I co-wrote with Iggy — The Wonderful Theory of Light and Matter — it becomes the ideal partner:

  • human intuition + machine coherence,
  • real-space modeling without metaphysical inflation,
  • EM + relativity as a unified playground,
  • photons, electrons, protons, neutrons as geometric EM systems.

This is not a replacement for science.
It is a tool for clearing conceptual ground,
where overworked, over-constrained academic teams cannot go.


6. So… is something rotten in QED?

Yes — but not what you think.

What’s rotten is the mismatch

between:

  • the myth of QED as a perfectly clean, purely elegant theory,
    and
  • the reality of improvised renormalization, historical accidents, social inertia, and conceptual discomfort.

What’s rotten is not the theory itself,
but the story we tell about it.

What’s not rotten:

  • the intelligence of the researchers,
  • the honesty of experimentalists,
  • the hard-won precision of modern measurements.

QED is extraordinary.
But it is not infallible, nor philosophically complete, nor conceptually finished.

And that is fine.

The problem is not messiness.
The problem is pretending that messiness is perfection.


7. What I propose instead

My own program — pursued slowly over many years — is simple:

  • Bring physics back to Maxwell + relativity as the foundation.
  • Build real-space geometrical models of all fundamental particles.
  • Reject unnecessary “forces” invented to patch conceptual holes.
  • Hold both mainstream and alternative models to the same standard:
    no ad hoc constants, no magic, no metaphysics.

And — unusually —
use AI as a cognitive tool, not as an oracle.

Let the machine check coherence.
Let the human set ontology.

If something emerges from the dialogue — good.
If not — also good.

But at least we will be thinking honestly again.


Conclusion

Something is rotten in the state of QED, yes —
but the rot is not fraud or conspiracy.

It is the quiet decay of intellectual honesty behind polished narratives.

The cure is not shouting louder, or forming counter-churches, or romanticizing outsider science.

The cure is precision,
clarity,
geometry,
and the courage to say:

Let’s look again — without myth, without prestige, without fear.

If AI can help with that, all the better.

Jean Louis Van Belle
(with conceptual assistance from “Iggy,” used intentionally as a scalpel rather than a sycophant)

Post-scriptum: Why the Electron–Proton Model Matters (and Why Dirac Would Nod)

A brief personal note — and a clarification that goes beyond Consa, beyond QED, and beyond academic sociology.

One of the few conceptual compasses I trust in foundational physics is a remark by Paul Dirac. Reflecting on Schrödinger’s “zitterbewegung” hypothesis, he wrote:

“One must believe in this consequence of the theory,
since other consequences which are inseparably bound up with it,
such as the law of scattering of light by an electron,
are confirmed by experiment.”

Dirac’s point is not mysticism.
It is methodological discipline:

  • If a theoretical structure has unavoidable consequences, and
  • some of those consequences match experiment precisely,
  • then even the unobservable parts of the structure deserve consideration.

This matters because the real-space electron and proton models I’ve been working on over the years — now sharpened through AI–human dialogue — meet that exact criterion.

They are not metaphors, nor numerology, nor free speculation.
They force specific, testable, non-trivial predictions:

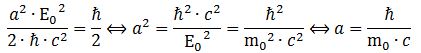
  • a confined EM oscillation for the electron, with radius fixed by /mec\hbar / m_e c;
  • a “photon-like” orbital speed for its point-charge center;
  • a distributed (not pointlike) charge cloud for the proton, enforced by mass ratio, stability, form factors, and magnetic moment;
  • natural emergence of the measured GE/GMG_E/G_M​ discrepancy;
  • and a geometric explanation of deuteron binding that requires no new force.

None of these are optional.
They fall out of the internal logic of the model.
And several — electron scattering, Compton behavior, proton radius, form-factor trends — are empirically confirmed.

Dirac’s rule applies:

When inseparable consequences match experiment,
the underlying mechanism deserves to be taken seriously —
whether or not it fits the dominant vocabulary.

This post is not the place to develop those models in detail; that will come in future pieces and papers.
But it felt important to state why I keep returning to them — and why they align with a style of reasoning that values:

  • geometry,
  • energy densities,
  • charge motion,
  • conservation laws,
  • and the 2019 SI foundations of hh, ee, and cc
    over metaphysical categories and ad-hoc forces.

Call it minimalism.
Call it stubbornness.
Call it a refusal to multiply entities beyond necessity.

For me — and for anyone sympathetic to Dirac’s way of thinking — it is simply physics.

— JL (with “Iggy” (AI) in the wings)

🌀 Two Annexes and a Turtle: Revisiting My Early Lectures on Quantum Physics

Over the past few weeks — and more intensely these past mornings — I’ve returned to two of my earliest texts in the Lectures on Physics series: the first on quantum behavior, and the second on probability amplitudes and quantum interference. Both have now been updated with new annexes, co-authored in dialogue with ChatGPT-4o.

This wasn’t just a consistency check. It was something more interesting: an exercise in thinking with — not through — a reasoning machine.

The first annex (Revisiting the Mystery of the Muon and Tau) tackles the open question I left hanging in Lecture I: how to interpret unstable “generations” of matter-particles like the muon and tau. In the original paper, I proposed a realist model where mass is not an intrinsic property but the result of oscillating charge or field energy — a stance that draws support from the 2019 revision of SI units, which grounded the kilogram in Planck’s constant and the speed of light. That change wasn’t just a technicality; it was a silent shift in ontology. I suspected that much at the time, but now — working through the implications with a well-tuned AI — I can state it more clearly: mass is geometry, inertia is field structure, and the difference between stable and unstable particles might be a matter of topological harmony.

The second annex (Interference, Identity, and the Imaginary Unit) reopens the deeper riddle at the heart of quantum mechanics: why probability amplitudes interfere at all. This annex is the child of years of irritation — visible in earlier, sharper essays I published on academia.edu — with the lazy mysticism that often surrounds “common phase factors.” The breakthrough, for me, was to fully accept the imaginary unit iii not as a mathematical trick but as a rotation operator. When wavefunctions are treated as oriented field objects, not just complex scalars, interference becomes a question of geometric compatibility. Superpositions and spin behavior can then be reinterpreted as topological effects in real space. This is where I think mainstream physics got lost: it started calculating without explaining.

ChatGPT didn’t invent these ideas. But it helped me phrase them, frame them, and press further on the points I had once hesitated to formalize. That’s what I mean when I say this wasn’t just a cleanup job. It was a real act of collaboration — a rare instance of AI not just paraphrasing or predicting, but amplifying and clarifying an unfinished line of human reasoning.

Both revised papers are now live on ResearchGate:

They mark, I think, a modest turning point. From theory and calculation toward something closer to explanation.

And yes — for those following the philosophical side of this project: we did also try to capture all of that in a four-panel comic involving Diogenes, a turtle, and Zeno’s paradox. But that, like all things cartooned by AI, is still a work in progress. 🙂

Post Scriptum (24 June 2025): When You Let the Machine Take the Pen

In the spirit of openness: there’s been one more development since publishing the two annexes above.

Feeling I had taken my analytical skills as far as I could — especially in tackling the geometry of nuclear structure — I decided to do something different. Instead of drafting yet another paper, I asked ChatGPT to take over. Not as a ghostwriter, but as a model builder. The prompt was simple: “Do better than me.”

The result is here:
👉 ChatGPT Trying to Do Better Than a Human Researcher

It’s dense, unapologetically geometric, and proposes a full zbw-based model for the neutron and deuteron — complete with energy constraints, field equations, and a call for numerical exploration. If the earlier annexes were dialogue, this one is delegation.

I don’t know if this is the end of the physics path for me. But if it is, I’m at peace with it. Not because the mystery is gone — but because I finally believe the mystery is tractable. And that’s enough for now.

🧭 The Final Arc: Three Papers, One Question

Over the past years, I’ve been working — quietly but persistently — on a set of papers that circle one simple, impossible question:
What is the Universe really made of?

Not in the language of metaphors. Not in speculative fields.
But in terms of geometry, charge, and the strange clarity of equations that actually work.

Here are the three pieces of that arc:

🌀 1. Radial Genesis
Radial Genesis: A Finite Universe with Emergent Spacetime Geometry
This is the cosmological capstone. It presents the idea that space is not a stage, but an outcome — generated radially by mass–energy events, limited by time and light. It’s an intuitive, equation-free narrative grounded in general relativity and Occam’s Razor.

⚛️ 2. Lectures on Physics: On General Relativity (2)
Lectures on GRT (2)
This one is for the mathematically inclined. It builds from the ground up: tensors, geodesics, curvature. If Radial Genesis is the metaphor, this is the machinery. Co-written with AI, but line by line, and verified by hand.

🌑 3. The Vanishing Charge
The Vanishing Charge: What Happens in Matter–Antimatter Annihilation?
This paper is where the mystery remains. It presents two possible views of annihilation:
(1) as a collapse of field geometry into free radiation,
(2) or as the erasure of charge — with geometry as the by-product.
We didn’t choose between them. We just asked the question honestly.


Why This Arc Matters

These three papers don’t offer a Theory of Everything. But they do something that matters more right now:
They strip away the fog — the inflation of terms, the myth of complexity for complexity’s sake — and try to draw what is already known in clearer, more beautiful lines.

This is not a simulation of thinking.
This is thinking — with AI as a partner, not a prophet.

So if you’re tired of being told that the Universe is beyond your grasp…
Start here.
You might find that it isn’t.

—JL

Taking Stock: Zitterbewegung, Electron Models, and the Role of AI in Thinking Clearly

Over the past few years, I’ve spent a fair amount of time exploring realist interpretations of quantum mechanics, particularly the ring-current or Zitterbewegung (zbw) model of the electron. I’ve written many posts about it here — and also tried to help to promote the online “Zitter Institute”, which brings a very interesting group of both amateur and professional researchers together, as well as a rather impressive list of resources and publications which help to make sense of fundamental physics – especially on theories regarding the internal structure of the electron.

The goal — or at least my goal — was (and still is) to clarify what is real and what is not in the quantum-electrodynamic zoo of concepts. That is why I try to go beyond electron models only. I think the electron model is complete as for now: my most-read paper (on a physical interpretation of de Broglie’s matter-wave) settles the question not only for me but, I judge based on its many views, for many others as well. The paper shows how the magnetic moment of the electron, its wavefunction, and the notion of a quantized “packet of energy” can easily be grounded in Maxwell’s equations, special relativity, and geometry. They do not require speculative algebra, nor exotic ontologies.

In that light, I now feel the need to say something — brief, but honest — about where I currently stand in my research journey — which is not on the front burner right now but, yes, I am still thinking about it all. 🙂


On the term “Zitterbewegung” itself

Originally coined by Schrödinger and later mentioned by Dirac, “Zitterbewegung” translates as “trembling motion.” It was meant to capture the high-frequency internal oscillation predicted by Dirac’s wave equation.

But here lies a subtle issue: I no longer find the term entirely satisfying.

I don’t believe the motion is “trembling” in the sense of randomness or jitter. I believe it is geometrically structured, circular, and rooted in the relativistic dynamics of a massless point charge — leading to a quantized angular momentum and magnetic moment. In this view, there is nothing uncertain about it. The electron has an internal clock, not a random twitch.

So while I still value the historical connection, I now prefer to speak more plainly: an electromagnetic model of the electron, based on internal motion and structure, not spooky probabilities.


On tone and openness in scientific dialogue

Recent internal exchanges among fellow researchers have left me with mixed feelings. I remain grateful for the shared curiosity that drew us together, but I was disappointed by the tone taken toward certain outside critiques and tools.

I say this with some personal sensitivity: I still remember the skepticism I faced when I first shared my own interpretations. Papers were turned down not for technical reasons, but because I lacked the “right” institutional pedigree. I had degrees, but no physics PhD. I was an outsider.

Ridicule — especially when directed at dissent or at new voices — leaves a mark. So when I see similar reactions now, I feel compelled to say: we should be better than that.

If we believe in the integrity of our models, we should welcome critique — and rise to the occasion by clarifying, refining, or, if necessary, revising our views. Defensive posturing only weakens our case.


On the use of AI in physics

Some recent comments dismissed AI responses as irrelevant or superficial. I understand the concern. But I also believe this reaction misses the point.

I didn’t try all available platforms, but I did prompt ChatGPT, and — with the right framing — it offered a coherent and balanced answer to the question of the electron’s magnetic moment. Here’s a fragment:

“While the ‘definition’ of the intrinsic magnetic moment may be frame-invariant in the Standard Model, the observable manifestation is not. If the moment arises from internal circular motion (Zitterbewegung), then both radius and frequency are affected by boosts. Therefore, the magnetic moment, like momentum or energy, becomes frame-dependent in its effects.”

The jury is still out, of course. But AI — if guided by reason — might help us unravel what makes sense and what does not.

It is not a substitute for human thinking. But it can reflect it back to us — sometimes more clearly than we’d expect.


A final reflection

I’ll keep my older posts online, including those that reference the Zitter Institute. They reflected what I believed at the time, and I still stand by their substance.

But moving forward, I’ll continue my work independently — still fascinated by the electron, still curious about meaning and structure in quantum mechanics, but less interested in labels, echo chambers, or theoretical tribalism.

As always, I welcome criticism and dialogue. As one business management guru once said:

“None of us is as smart as all of us.” — Kenneth Blanchard

But truth and clarity come first.

Jean Louis Van Belle

A quasi-final proton model?

After a break of a few months, I produced another lengthy video on quantum physics. 40 minutes. Check it out: https://www.youtube.com/watch?v=k_I3Noaup0E. The hypothesis that I, somewhat desperately, advanced in my last paper on the proton model – that the Zitterbewegung model of a proton does not quite look like that of an electron, and that we are probably talking about a “blob” of charge (sphere- or shell-like, or some other “form factor”, perhaps) – makes more sense to me now. I explored it with ChatGPT-4o, and this video is the result. I should immediately that I am immensely impressed with ChatGPT-4o: ChatGPT-3 was not able to really “understand” what I was talking about a year ago or so.

Who knows, perhaps we might imagine other ChatGPT-4o users will take the “dialogue” with AI on these particle models further, and fully develop them not only intuitively but also analytically. As I am currently trying out some AI-powered audio and video applications, I tried Pictory (pictory.ai): I gave it the url of my own long-winding video and it created this video: The proton as a dynamic blob of charge. 100 seconds only instead of 40 minutes. Its contents is, of course, superficial – but I think it is creative and nicely upbeat. I fed both video back to ChatGPT-4o, and it suggested the following refinements if ever I would like to re-do the video(s) – which I am not going to do, but you might like to further explore the remarks it made:

  1. Consistency in Notation and Conventions:
    • Ensure that polar and azimuthal angles are consistently defined throughout. Your initial derivations and explanations switched between conventions, potentially confusing viewers about which angle is associated with which base vector.
  2. Tangential Velocity Decomposition:
    • The explanation of how the tangential velocity is decomposed into orthogonal components was accurate but could benefit from a clearer mention of why the orthogonality matters in interpreting the motion on the sphere. Adding a visual representation would further clarify the concept.
    • The concept of “sloshing” energy between kinetic and electromagnetic forms was well described but could benefit from highlighting the broader implications of this periodic exchange in classical and relativistic oscillators .
  3. Pointlike Charge versus Blob View:
    • The transition from discussing a pointlike charge to a “blob” of charge was a major theme but could be expanded by discussing how this shift impacts the assumptions about uniform or non-uniform charge density, as well as its implications for observable properties like the magnetic moment.
  4. The discussion of symmetry along one axis of the double-loop motion was solid but might benefit from more detail on how this symmetry impacts the interpretation of observable properties like the magnetic moment .
  5. Incorporate links to experimental observations, such as the measured magnetic moment and charge radius of the proton, was referenced. Integrating these observations with the theoretical results could be more explicit to strengthen the practical implications .
  6. Visualizations:
    • Consider incorporating visualized trajectories (e.g., the double-loop Lissajous pattern), and how they connect to the derived equations and the observed non-constant tangential velocity. This connection will help bridge the abstract mathematics with physical intuition .
  7. Clarifications on Variability:
    • The variability of the tangential velocity in the context of symmetry and non-orthogonality in 3D motion, was a key discussion point. Reinforce why this variability does not conflict with the broader relativistic constraints.

So… That’s all folks ! [Looney Tunes.] 🙂

Concluding remarks

In our previous post, we wrote that we’ve said goodbye to this fascinating field of research. We did: I entered this line of research – fundamental physics – as an amateur 10+ years ago, and now I leave it—as much an amateur now as back then. I wanted to understand the new theories which emerged over the past 50 years or so. Concepts such as the strong force or weak interactions and the new weird charges that come it with: flavors and colors—or all of the new quantum numbers and the associated new conservation laws, which Nature apparently does not respect because of some kind of hidden variables which cause the symmetries that are inherent to conservation laws to break down. […] Apparently, I didn’t get it. 🙂

However, in the process of trying to understand, a whole other mental picture or mindset emerged: we now firmly believe that classical mechanics and electromagnetism – combined with a more creative or realistic explanation of the Planck-Einstein relation – are sufficient to explain most, if not all, of the observations that have been made in this field since Louis de Broglie suggested matter-particles must be similar  to light quanta—in the sense that both are energy packets because they incorporate some oscillation of a definite frequency given by the Planck-Einstein relation. They are also different, of course: elementary particles are – in this world view – orbital oscillations of charge (with, of course, an electromagnetic field that is generated by such moving charge), while light-particles (photons and neutrinos) are oscillations of the electromagnetic field—only!

So, then we spend many years trying to contribute to the finer details of this world view. We think we did what we could as part of a part-time and non-professional involvement in this field. So, yes, we’re done. We wrote that some time already. However, we wanted to leave a few thoughts on our proton model: it is not like an electron. In our not-so-humble view, the Zitterbewegung theory applies to it—but in a very different way. Why do we think that? We write that out in our very last paper: concluding remarks on the proton puzzle. Enjoy it !

That brings the number of papers on RG up to 80 now. Too much ! There will be more coming, but in the field that I work in: computer science. Stay tuned !

The failure of physics as a science?

It is a coincidence but Sabine Hossenfelder just produced a new video in which she talks once again about the problems of academic physics, while I did what I said what I would not do – and that is to write out why the discovery of new rare kaon decay modes is a problem for the Standard Model. I think the video and the paper complement each other nicely, although Sabine Hossenfelder probably still believes the strong force and weak interactions are, somehow, still real. [I did not read her book, so I don’t know: I probably should buy her book but then one can only read one book at a time, isn’t it?]

The paper (on ResearchGate – as usual: link here) does what Sabine Hossenfelder urges her former colleagues to do: if a hypothesis or an ad hoc theory doesn’t work, then scientists should be open and honest about that and go back to the drawing board. Indeed, in my most-read paper – on de Broglie’s matter-wave – I point out how de Broglie’s original thesis was misinterpreted and how classical quantum theory suddenly makes sense again when acknowledging that mistake: it probably explains why I am getting quite a lot of reads as an amateur physicist. So what’s this new paper of mine all about?

I go back to the original invention of the concept of strangeness, as documented by Richard Feynman in his 1963 Lectures on quantum physics (Vol. III, Chapter 11-5) and show why and how it does not make all that much sense. In fact, I always thought these new quantum conservation laws did not make sense theoretically and that, at best, they were or are what Dr. Kovacs and Dr. Vassallo refer to as phenomenological models rather than sound physical theories (see their chapter on superconductivity in their latest book). However, now it turns out these fancy new concepts do not even do what they are supposed to do, and that is to correctly describe the phenomenology of high-energy particle reactions. :-/

The alternative – a realist interpretation of quantum physics – is there. It is just not mainstream – yet! 🙂

Post scriptum (8 November 2024): For those who do not like to read, you can also watch what I think of my very last video on the same topic: what makes sense and what does not in academic or mainstream physics? Enjoy and, most importantly, do not take things too seriously ! Life family and friends – and work or action-oriented engagement are far more important than personal philosophy or trying to finding truth in science… 🙂

Using AI to solve the 80-year-old problem of the anomaly of the electron magnetic moment?

Pre-scriptum (3 October 2024): I came back from holiday and, because this week-long up and down became quite convoluted, I did what I like to do in a case like that, and that is to take my Bamboo notebook and talk about it all in a video which I added to my Real Quantum Physics channel on YouTube. I also updated my paper on RG: as usual, it went through a few versions, but this one – with a summary co-authored by ChatGTP-4 (and ChatGPT-o1) – should be the final one: enjoy!

Indeed, instead of listening to the international news on the war with Russia and on what is happening in the Middle East (all very depressing), you may want to listen to this and read the latest theory. Perhaps you will be inspired by it to develop your own pet realist theory of what an electron might actually be. I can assure you that it is more fun than trying to understand Feynman diagrams and how QED calculations work. 🙂 But don’t think you will win a Nobel Prize if you do not have the right connections and pedigree and all of that: see this analysis of what makes Nobel Prize winners Nobel Prize winners. 🙂

Original post:

I asked some questions to ChatGPT about my geometric explanation of the anomaly in the electron’s magnetic moment. Here is the chat: https://chatgpt.com/share/66f91760-68b8-8004-8cb2-7d2d3624e0aa. To me, it confirms the ‘explanation’ of mainstream QED makes no sense. We can take Schwinger’s factor and build a series of converging terms using that factor. We can also take my first rough cut at a first-order correction (π(alpha)2/8, see my very early 2019 paper on a classical explanation of the amm), and use that.

You may wonder: why not ask ChatGPT about the best first-order factor to be used here considering the geometry of the situation? The fact is: I did, but the geometry is not all that easy. It first came up with the formula for a spherical cap, but that one does not do the trick. See the latter part of the conversation (link above).

I am on holiday now, and so I will switch off a while but I am thinking AI will do what two generations of ‘new’ quantum physicists did not do: come up with a model that is based on real physics and is easy to understand intuitively. 🙂

PS: Of course, I did another rapid-fire paper on ResearchGate to document it all (the logic step-by-step, so to speak). As the chat is public, feel free to continue the conversation. Note that I used the newest ChatGPT o1 version, now in preview but part of a subscription (which you may not have). Yet again a different beast! The older versions of ChatGPT may not be so smart. This conversation is totally worth the US$20/month I pay for my subscription. 🙂

PS 2: Now that I had it open, I also quickly queried it on my wildest hypothesis: a ‘mirror’ electromagnetic force explaining dark matter and dark energy. While it is totally wild (read: nuts), I entertain it because it does away with the need for an explanation in terms of some cosmological constant. Here is the conversation: https://chatgpt.com/share/66f92c7f-82a0-8004-a226-bde65085f18d. I like it that ChatGPT warns me a bit about privacy. It does look wild. However, it is nice to see how gentle ChatGPT is in pointing out what work needs to be done on a theory in order to make it look somewhat less wild. 🙂

PS 3 (yes, ChatGPT is addictive): I also queried it on the rather puzzling 8π/3 factor in the CODATA formula for the Thomson photon-electron scattering cross-section. See its response to our question in the updated chat: https://chatgpt.com/share/66f91760-68b8-8004-8cb2-7d2d3624e0aa. Just scroll down to the bottom. It took 31 seconds to generate the reply: I would be curious to know if that is just courtesy from ChatGPT (we all like to think our questions are complicated, don’t we?), or if this was effectively the time it needed to go through its knowledge base. Whatever the case might be, we think it is brilliant. 🙂 It is nothing to be afraid of, although I did feel a bit like: what’s left to learn to it but for asking intelligent questions. What if it starts really learning by asking intelligent questions itself to us? I am all ready for it. 🙂

Post scriptum

A researcher I was in touch with a few years ago sent me a link to the (virtual) Zitter Institute: https://www.zitter-institute.org/. It is a network and resource center for non-mainstream physicists who succesfully explored – and keep exploring, of course – local/realist interpretations of quantum mechanics by going back to Schrödinger’s original and alternative interpretation of what an electron actually is: a pointlike (but not infinitesimally small) charge orbiting around in circular motion, with:

(i) the trajectory of its motion being determined by the Planck-Einstein relation, and

(ii) an energy – given by Einstein’s mass-energy equivalence relation – which perfectly fits Wheeler’s “mass-without-mass” idea.

I started exploring Schrödinger’s hypothesis myself about ten years ago – as a full-blown alternative to the Bohr-Heisenberg interpretation of quantum mechanics (which I think of as metaphysical humbug, just like Einstein and H.A. Lorentz at the time) – and consistently blogged and published about it: here on this website, and then on viXra, Academia and, since 2020, ResearchGate. So I checked out this new site, and I see the founding members added my blog site as a resource to their project list.

[…]

I am amazingly pleased with that. I mean… My work is much simpler than that of, say, Dr. John G. Williamson (CERN/Philips Research Laboratories/Glasgow University) and Dr. Martin B. van der Mark (Philips Research Laboratories), who created the Quantum Bicycle Society (https://quicycle.com/).

So… Have a look – not at my site (I think I did not finish the work I started) but at the other resources of this new Institute: it looks like this realist and local interpretation of quantum mechanics is no longer non-mainstream… Sweet ! It makes me feel the effort I put into all of this has paid off ! 😉 Moreover, some of my early papers (2018-2020) are listed as useful papers to read. I think that is better than being published in some obscure journal. 🙂

I repeat again: my own research interest has shifted to computer science, logic and artificial intelligence now (you will see recent papers on my RG site are all about that now). It is just so much more fun and it also lines up better with my day job as a freelance IT project manager. So, yes, it is goodbye – but I am happy I can now refer all queries about my particle models and this grand synthesis between old and new quantum mechanics to the Zitter Institute.

It’s really nice: I have been in touch with about half of the founding members of this Institute over the past ten years – casually or in a more sustained way while discussing this or that 2D or 3D model of an electron, proton, or neutron), and they are all great and amazing researchers because they look for truth in science and are very much aware of this weird tendency of modern-day quantum scientists turning their ideas into best-sellers perpetuating myths and mysteries. [I am not only thinking of the endless stream of books from authors like Roger Penrose (the domain for this blog was, originally, reading Penrose rather than reading Feynman) or Graham Greene here, but also of what I now think of rather useless MIT or edX online introductions to quantum physics and quantum math.]

[…]

Looking at the website, I see the engine behind it: Dr. Oliver Consa. I was in touch with him too. He drew my attention to remarkable flip-flop articles such as William Lamb’s anti-photon article (it is an article which everyone should read, I think: unfortunately, you have to pay for it) and remarkable interviews with Freeman Dyson. Talking of the latter (I think of as “the Wolfgang Pauli of the third generation of quantum physicists” because he helped so many others to get a Nobel Prize before he got one – Dyson never got a Nobel Prize, by the way), this is one of these interviews you should watch: just four years before he would die from old age, Freeman Dyson plainly admits QED and QFT is a totally unproductive approach: a “dead end” as Dyson calls it.

So, yes, I am very pleased and happy. It makes me feel my sleepness nights and hard weekend work over the past decade on this has not been in vain ! Paraphrasing Dyson in the above-mentioned video interview, I’d say: “It is the end of the story, and that particular illumination was a very joyful time.” 🙂

Thank you, Dr. Consa. Thank you, Dr. Vassallo, Dr. Burinskii, Dr. Meulenberg, Dr. Kovacs, and – of course – Dr. Hestenes – who single-handedly revived the Zitterbewegung interpretation of quantum mechanics in the 1990s. I am sure I forgot to mention some people. Sorry for that. I will wrap up my post here by saying a few more words about David Hestenes.

I really admire him deeply. Moving away from the topic of high-brow quantum theory, I think his efforts to reform K-12 education in math and physics is even more remarkable than the new space-time algebra (STA) he invented. I am 55 years old and so I know all about the small and pleasant burden to help kids with math and statistics in secondary school and at university: the way teachers now have to convey math and physics to kids now is plain dreadful. I hope it will get better. It has to. If the US and the EU want to keep leading in research, then STEM education (Science, Technology, Engineering, and Mathematics) needs a thorough reform. :-/

On the quantum computing hype

1. The Wikipedia article on quantum computing describes a quantum computer as “a computer that exploits quantum -mechanical phenomena.” The rest of the article then tries to explain what these quantum-mechanical phenomena actually are.

Unfortunately, the article limits itself to the mainstream interpretation of these and, therefore, suffers from what I perceive to be logical and philosophical errors. Indeed, in the realistic interpretation of quantum mechanics that I have been developing, system wavefunctions are only useful to model our own uncertainty about the system. I subscribe to Hendrik Antoon Lorentz’s judgment at the last Solvay Conference under his leadership: there is no need whatsoever to elevate indeterminism to a philosophical principle. Not in science in general, and not in quantum mechanics in particular. I, therefore, think quantum mechanics cannot offer a substantially new computing paradigm.

Of course, one may argue that, for specific problems, some kind of three- or more-valued logic – rather than the binary or Boolean true/false dichotomy on which most logic circuits are based – may come in handy. However, such logic has already been worked out, and can be accessed using appropriate programming languages. Python and the powerful mathematical tools that come with it (Pandas, NumPy and SciPy) work great with ternary logic using a {true, false, unknown} or a {-1, 0, +1} set of logical values rather than the standard {0, 1} Boolean set. The Wikipedia article on three-valued logic is worth a read and, despite the rather arcane nature of the topic, much better written than the mentioned article: have a look at how operators are used on these three-valued sets in meaningful algebras or logical models, such as that of Kleene, Priest or Lukasiewicz.

2. One may, of course, argue that, even when there is probably no such thing as a new logical quantum computing model or logic, quantum technology may offer distinct advantages when it comes to storage of data about this or that state or, one day, lead to devices with faster clock and/or bus speeds. That appears to be a pipedream too:

  • To keep, say, an electron in this or that spin state, one must create and steady an electromagnetic field – usually one does so in a superconducting environment, which makes actual mechanical devices used for quantum computing (qubits) look like the modern-day equivalent of Babbage’s analytical machine. In my not-so-humble view, such devices will never ever achieve the sheer material performance offered by current nanometer-scale MOSFETs.  

  • As for bus or transmission speeds, quantum theory does not come with a new theory of charge propagation and, most importantly, is fundamentally flawed in its analysis of how signals actually propagate in, say, a lattice structure. I refer to one of my papers here (on electron propagation in a lattice), in which I deconstruct Feynman’s analysis of the concept of the free and effective mass of an electron. Hence, for long-distance transmission of signals, optical fiber cannot be beaten. For short-distance transmission of signals (say, within an electrical circuit, I refer to the above-mentioned nano-technology which continues to revolutionize the chip industry.

Brussels, 4 July 2023

Epilogue: an Easter podcast

I have been thinking on my explanation of dark matter/energy, and I think it is sound. It solves the last asymmetry in my models, and explains all. So, after a hiatus of two years, I bothered to make a podcast on my YouTube channel once again. It talks about everything. Literally everything !

It makes me feel my quest for understanding of matter and energy – in terms of classical concepts and measurements (as depicted below) – has ended. Perhaps I will write more but that would only be to promote the material, which should promote itself if it is any good (which I think it is).

I should, by way of conclusion, say a few final words about Feynman’s 1963 Lectures now. When everything is said and done, it is my reading of them which had triggered this blog about ten years ago. I would now recommend Volume I and II (classical physics and electromagnetic theory) – if only because it gives you all the math you need to understand all of physics – but not Volume III (the lectures on quantum mechanics). They are outdated, and I do find Feynman guilty of promoting rather than explaining the hocus-pocus around all of the so-called mysteries in this special branch of physics.

Quantum mechanics is special, but I do conclude now that it can all be explained in terms of classical concepts and quantities. So, Gell-Mann’s criticism of Richard Feynman is, perhaps, correct: Mr. Feynman did, perhaps, make too many jokes – and it gets annoying because he must have known some of what he suggests does not make sense – even if I would not go as far as Gell-Mann, who says “Feynman was only concerned about himself, his ego, and his own image !” :-/

So, I would recommend my own alternative series of ‘lectures’. Not only are they easier to read, but they also embody a different spirit of writing. Science is not about you, it is about thinking for oneself and deciding on what is truthful and useful, and what is not. So, to conclude, I will end by quoting Ludwig Boltzmann once more:

Bring forward what is true.

Write it so that it is clear.

Defend it to your last breath.”

Ludwig Boltzmann (1844 – 1906)

Post scriptum: As for the ‘hocus-pocus’ in Feynman’s Lectures, we should, perhaps, point once again to some of our early papers on the flaws in his arguments. We effectively put our finger on the arbitrary wavefunction convention, or the (false) boson-fermion dichotomy, or the ‘time machine’ argument that is inherent to his explanation of the Hamiltonian, and so on. We published these things on Academia.edu before (also) putting our (later) papers ResearchGate, so please check there for the full series. 🙂

Post scriptum (23 April 2023): Also check out this video, which was triggered by someone who thought my models amount to something like a modern aether theory, which it is definitely not the case: https://www.youtube.com/watch?v=X38u2-nXoto. 🙂 I really think it is my last reflection on these topics. I need to focus on my day job, sports, family, etcetera again ! 🙂

Dirac’s wave equation and particle models

Introduction

I had not touched physics since April last year, as I was struggling with cancer, and finally went in for surgery. It solved the problem but physical and psychological recovery was slow, and so I was in no mood to work on mathematical and physical questions. Now I am going through my ResearchGate papers again. I start with those that get a fair amount of downloads and – I am very pleased to see that happen – those are the papers that deal with very fundamental questions, and lay out the core of an intuition that is more widely shared now: physicists are lost in contradictions and will not get out of this fuzzy situation until they solve them.

[Skeptical note here: I note that those physicists who bark loudest about the need for a scientific revolution are, unfortunately, often those who obscure things even more. For example, I quickly went through Hossenfelder’s Lost in Math (and I also emailed her to highlight all that zbw theory can bring) but she did not even bother to reply and, more in general, shows no signs of being willing to go back to the roots, which are the solutions that were presented during the early Solvay conferences but, because of some weird tweak of the history of science, and despite the warnings of intellectual giants such as H.A. Lorentz, Ehrenfest, or Einstein (and also Dirac or Bell in the latter half of their lifes), were discarded. I have come to the conclusion that modern-day scientists cannot be fashionable when admitting all mysteries have actually been solved long time ago.]

The key observation or contradiction is this: the formalism of modern quantum mechanics deals with all particles – stable or unstable – as point objects: they are supposed to have no internal structure. At the same time, a whole new range of what used to be thought of as intermediate mental constructs or temporary classifications – think of quarks here, or of the boson-fermion dichotomy – acquired ontological status. We lamented that in one of very first papers (titled: the difference between a theory, a calculation and an explanation), which has few formulas and is, therefore, a much easier read than the others.

Some of my posts on this blog here were far more scathing and, therefore, not suitable to write out in papers. See, for example, my Smoking Gun Physics post, in which I talk much more loudly (but also more unscientifically) about the ontologicalization of quarks and all these theoretical force-carrying particles that physicists have invented over the past 50 years or so.

My point of view is clear and unambiguous: photons and neutrinos (both of which can be observed and measured) will do. The rest (the analysis of decay and the chain of reactions after high-energy collisions, mainly) can be analyzed using scattering matrices and other classical techniques (on that, I did write a paper highlighting the proposals of more enlightened people than me, like Bombardelli, 2016, even if I think researchers like Bombardelli should push back to basics even more than they do). By the way, I should probably go much further in my photon and neutrino models, but time prevented me from doing so. In any case, I did update and put an older paper of mine online, with some added thoughts on recent experiments that seem to confirm neutrinos have some rest mass. That is only what is to be expected, I would think. Have a look at it.

[…]

This is a rather lengthy introduction to the topic I want to write about for my public here, which is people like you and me: (amateur) physicists who want to make sense of all that is out there. So I will make a small summary of an equation I was never interested in: Dirac’s wave equation. Why my lack of interest before, and my renewed interest now?

The reason is this: Feynman clearly never believed Dirac’s equation added anything to Schrödinger’s, because he does not even mention it in his rather Lectures which, I believe, are, today still, truly seminal even if they do not go into all of the stuff mainstream quantum physicists today believe to be true (which is, I repeat, all of the metaphysics around quarks and gluons and force-carrying bosons and all that). So I did not bother to dig into it.

However, when revising my paper on de Broglie’s matter-wave, I realized that I should have analyzed Dirac’s equation too, because I do analyze Schrödinger’s wave equation there (which makes sense), and also comment on the Klein-Gordon wave equation (which, just like Dirac’s, does not make much of an impression on me). Hence, I would say my renewed interest is only there because I wanted to tidy up a little corner in this kitchen of mine. 🙂

I will stop rambling now, and get on with it.

Dirac’s wave equation: concepts and issues

We should start by reminding ourselves what a wave equation actually is: it models how waves – sound waves, or electromagnetic waves, or – in this particular case – a ‘wavicle’ or wave-particle – propagate in space and in time. As such, it is often said they model the properties of the medium (think of properties such as elasticity, density, permittivity or permeability here) but, because we do no longer think of spacetime as an aether, quantum-mechanical wave equations are far more abstract.

I should insert a personal note here. I do have a personal opinion on the presumed reality of spacetime. It is not very solid, perhaps, because I oscillate between (1) Kant’s intuition, thinking that space and time are mental constructs only, which our mind uses to structure its impressions (we are talking science here, so I should say: our measurements) versus (2) the idea that the 2D or 3D oscillations of pointlike charges within, say, an electron, a proton or a muon-electron must involve some kind of elasticity of the ‘medium’ that we commonly refer to as spacetime (I’d say that is more in line with Wittgenstein’s philosophy of reality). I should look it up but I think I do talk about the elasticity of spacetime at one or two occasions in my papers that talk about internal forces in particles, or papers in which I dig deep into the potentials that may or may not drive these oscillations. I am not sure how far I go there. Probably too far. But if properties such as vacuum permittivity or permeability are generally accepted, then why not think of elasticity? However, I did try to remain very cautious when it comes to postulating properties of the so-called spacetime vacuum, as evidenced from what I write in one of the referenced papers above:

“Besides proving that the argument of the wavefunction is relativistically invariant, this [analysis of the argument of the wavefunction] also demonstrates the relativistic invariance of the Planck-Einstein relation when modelling elementary particles.[1] This is why we feel that the argument of the wavefunction (and the wavefunction itself) is more real – in a physical sense – than the various wave equations (Schrödinger, Dirac, or Klein-Gordon) for which it is some solution. In any case, a wave equation usually models the properties of the medium in which a wave propagates. We do not think the medium in which the matter-wave propagates is any different from the medium in which electromagnetic waves propagate. That medium is generally referred to as the vacuum and, whether or not you think of it as true nothingness or some medium, we think Maxwell’s equations – which establishes the speed of light as an absolute constant – model the properties of it sufficiently well! We, therefore, think superluminal phase velocities are not possible, which is why we think de Broglie’s conceptualization of a matter particle as a wavepacket – rather than one single wave – is erroneous.[2]

The basic idea is this: if the vacuum is true nothingness, then it cannot have any properties, right? 🙂 That is why I call the spacetime vacuum, as it is being modelled in modern physics, a so-called vacuum. 🙂

[…] I guess I am rambling again, and so I should get back to the matter at hand, and quite literally so, because we are effectively talking about real-life matter here. To be precise, we are talking about Dirac’s view of an electron moving in free space. Let me add the following clarification, just to make sure we understand exactly what we are talking about: free space is space without any potential in it: no electromagnetic, gravitational or other fields you might think of.

In reality, such free space does not exist: it is just one of those idealizations which we need to model reality. All of real-life space – the Universe we live in, in other words – has potential energy in it: electromagnetic and/or gravitational potential energy (no other potential energy has been convincingly demonstrated so far, so I will not add to the confusion by suggesting there might be more). Hence, there is no such thing as free space.

What am I saying here? I am just saying that it is not bad that we remind ourselves of the fact that Dirac’s construction is theoretical from the outset. To me, it feels like trying to present electromagnetism by making full abstraction of the magnetic side of the electromagnetic force. That is all that I am saying here. Nothing more, nothing less. No offense to the greatness of a mind like Dirac’s.

[…] I may have lost you as a reader just now, so let me try to get you back: Dirac’s wave equation. Right. Dirac develops it in two rather dense sections of his Principles of Quantum Mechanics, which I will not try to summarize here. I want to make it easy for the reader, so I will limit myself to an analysis of the very first principle(s) which Dirac develops in his Nobel Prize Lecture. It is this (relativistically correct) energy equation:

E2 = m02c4 + p2c2

This equation may look unfamiliar to you but, frankly, if you are familiar with the basics of relativity theory, it should not come across as weird or unfathomable. It is one of the many basic ways of expressing relativity theory, as evidenced from the fact that Richard Feynman introduces this equation as part of his very first volume of his Lectures on Physics, and in one of the more basic chapters of it: just click on the link and work yourself through it: you will see it is just another rendering of Einstein’s mass-equivalence relation (E = mc2).

The point is this: it is very easy now to understand Dirac’s basic energy equation: the one he uses to then go from variables to quantum-mechanical operators and all of the other mathematically correct hocus-pocus that result in his wave equation. Just substitute E = mc2 for W, and then divide all by c2:

So here you are. All the rest is the usual hocus-pocus: we substitute classical variables by operators, and then we let them operate on a wavefunction (wave equations may or may not describe the medium, but wavefunctions surely do describe real-life particles), and then we have a complicated differential equation to solve and – as we made abundantly clear in this and other papers (one that you may want to read is my brief history of quantum-mechanical ideas, because I had a lot of fun writing that one, and it is not technical at all) – when you do that, you will find non-sensical solutions, except for the one that Schrödinger pointed out: the Zitterbewegung electron, which we believe corresponds to the real-life electron.

I will wrap this up (although you will say I have not done my job yet) by quoting quotes and comments from my de Broglie paper:

Prof. H. Pleijel, then Chairman of the Nobel Committee for Physics of the Royal Swedish Academy of Sciences, dutifully notes this rather inconvenient property in the ceremonial speech for the 1933 Nobel Prize, which was awarded to Heisenberg for nothing less than “the creation of quantum mechanics[1]:

“Matter is formed or represented by a great number of this kind of waves which have somewhat different velocities of propagation and such phase that they combine at the point in question. Such a system of waves forms a crest which propagates itself with quite a different velocity from that of its component waves, this velocity being the so-called group velocity. Such a wave crest represents a material point which is thus either formed by it or connected with it, and is called a wave packet. […] As a result of this theory, one is forced to the conclusion to conceive of matter as not being durable, or that it can have definite extension in space. The waves, which form the matter, travel, in fact, with different velocity and must, therefore, sooner or later separate. Matter changes form and extent in space. The picture which has been created, of matter being composed of unchangeable particles, must be modified.”

This should sound very familiar to you. However, it is, obviously, not true: real-life particles – electrons or atoms traveling in space – do not dissipate. Matter may change form and extent in space a little bit – such as, for example, when we are forcing them through one or two slits[2] – but not fundamentally so![3]

We repeat again, in very plain language this time: Dirac’s wave equation is essentially useless, except for the fact that it actually models the electron itself. That is why only one of its solutions make sense, and that is the very trivial solution which Schrödinger pointed out: the Zitterbewegung electron, which we believe corresponds to the real-life electron. 🙂 It just goes through space and time like any ordinary particle would do, but its trajectory is not given by Dirac’s wave equation. In contrast, Schrödinger’s wave equation (with or without a potential being present: in free or non-free space, in other words) does the trick and – against mainstream theory – I dare say, after analysis of its origins, that it is relativistically correct. Its only drawback is that it does not incorporate the most essential property of an elementary particle: its spin. That is why it models electron pairs rather than individual electrons.

We can easily generalize to protons or other elementary or non-elementary particles. For a deeper discussion of Dirac’s wave equation (which is what you probably expected), I must refer, once again, to Annex II of my paper on the interpretation of de Broglie’s matter-wave: it is all there, really, and – glancing at it all once again – the math is actually quite basic. In any case, paraphrasing Euclid in his reply to King Ptolemy’s question, I would say that there is no royal road to quantum mechanics. One must go through its formalism and, far more important, its history of thought. 🙂

To conclude, I would like to return to one of the remarks I made in the introduction. What about the properties of the vacuum? I will remain cautious and, hence, not answer that question. I prefer to let you think about this rather primitive classification of what is relative and not, and how the equations in physics mix both of it. 🙂

 


[1] To be precise, Heisenberg got a postponed prize from 1932. Erwin Schrödinger and Paul A.M. Dirac jointly got the 1933 prize. Prof. Pleijel acknowledges all three in more or less equal terms in the introduction of his speech: “This year’s Nobel Prizes for Physics are dedicated to the new atomic physics. The prizes, which the Academy of Sciences has at its disposal, have namely been awarded to those men, Heisenberg, Schrödinger, and Dirac, who have created and developed the basic ideas of modern atomic physics.”

[2] The wave-particle duality of the ring current model should easily explain single-electron diffraction and interference (the electromagnetic oscillation which keeps the charge swirling would necessarily interfere with itself when being forced through one or two slits), but we have not had the time to engage in detailed research here.

[3] We will slightly nuance this statement later but we will not fundamentally alter it. We think of matter-particles as an electric charge in motion. Hence, as it acts on a charge, the nature of the centripetal force that keeps the particle together must be electromagnetic. Matter-particles, therefore, combine wave-particle duality. Of course, it makes a difference when this electromagnetic oscillation, and the electric charge, move through a slit or in free space. We will come back to this later. The point to note is: matter-particles do not dissipate. Feynman actually notes that at the very beginning of his Lectures on quantum mechanics, when describing the double-slit experiment for electrons: “Electrons always arrive in identical lumps.”


[1] The relativistic invariance of the Planck-Einstein relation emerges from other problems, of course. However, we see the added value of the model here in providing a geometric interpretation: the Planck-Einstein relation effectively models the integrity of a particle here.

[2] See our paper on matter-waves, amplitudes, and signals.

Deep electron orbitals and the essence of quantum physics

After a long break (more than six months), I have started to engage again in a few conversations. I also looked at the 29 papers on my ResearchGate page, and I realize some of them would need to be re-written or re-packaged so as to ensure a good flow. Also, some of the approaches were more productive than others (some did not lead anywhere at all, actually), and I would need to point those out. I have been thinking about how to approach this, and I think I am going to produce an annotated version of these papers, with comments and corrections as mark-ups. Re-writing or re-structuring all of them would require to much work.

The mark-up of those papers is probably going to be based on some ‘quick-fire’ remarks (a succession of thoughts triggered by one and the same question) which come out of the conversation below, so I thank these thinkers for having kept me in the loop of a discussion I had followed but not reacted to. It is an interesting one – on the question of ‘deep electron orbitals’ (read: the orbitals of negative charge inside of a nucleus exist and, if so, how one can model them. If one could solve that question, one would have a theoretical basis for what is referred to as low-energy nuclear reactions. That was known formerly as cold fusion, but that got a bit of a bad name because of a number of crooks spoiling the field, unfortunately.

PS: I leave the family names of my correspondents in the exchange below out so they cannot be bothered. One of them, Jerry, is a former American researcher at SLAC. Andrew – the key researcher on DEPs – is a Canadian astrophysicist, and the third one – Jean-Luc – is a rather prominent French scientist in LENR.]

From: Jean Louis Van Belle
Sent: 18 November 2021 22:51
Subject: Staying engaged (5)

Oh – and needless to say, Dirac’s basic equation can, of course, be expanded using the binomial expansion – just like the relativistic energy-momentum relation, and then one can ‘cut off’ the third-, fourth-, etc-order terms and keep the first and second-order terms only. Perhaps it is equations like that kept you puzzled (I should check your original emails). In any case, this way of going about energy equations for elementary particles is a bit the same as those used in perturbation equations in which – as Dirac complained – one randomly selects terms that seem to make sense and discard others because they do not seem to make sense. Of course, Dirac criticized perturbation theory much more severely than this – and rightly so. 😊 😊 JL

From: Jean Louis Van Belle
Sent: 18 November 2021 22:10
Subject: Staying engaged (4)

Also – I remember you had some questions on an energy equation – not sure which one – but so I found Dirac’s basic equation (based on which he derives the ‘Dirac’ wave equation) is essentially useless because it incorporates linear momentum only. As such, it repeats de Broglie’s mistake, and that is to interpret the ‘de Broglie’ wavelength as something linear. It is not: frequencies, wavelengths are orbital frequencies and orbital circumferences. So anything you would want to do with energy equations that are based on that, lead nowhere – in my not-so-humble opinion, of course. To illustrate the point, compare the relativistic energy-momentum relation and Dirac’s basic equation in his Nobel Prize lecture (I hope the subscripts/superscripts get through your email system so they display correctly):

m02c4 = E2 – p2c2 (see, for example, Feynman-I-16, formula 16-3)

Divide the above by c2 and re-arrange and you get Dirac’s equation: W2/c2 – pr2 – m2/c2 = 0 (see his 1933 Nobel Prize Lecture)

So that cannot lead anywhere. It’s why I totally discard Dirac’s wave equation (it has never yielded any practical explanation of a real-life phenomenon anyway, if I am not mistaken).

Cheers – JL

From: Jean Louis Van Belle
Sent: 18 November 2021 21:49
Subject: Staying engaged (3)

Just on ‘retarded sources’ and ‘retarded fields’ – I have actually tried to think of the ‘force mechanism’ inside of an electron or a proton (what keeps the pointlike charge in this geometric orbit around a center of mass?). I thought long and hard about some kind of model in which we have the charge radiate out a sub-Planck field, and that its ‘retarded effects’ might arrive ‘just in time’ to the other side of the orbital (or whatever other point on the orbital) so as to produce the desired ‘course correction’ might explain it. I discarded it completely: I am now just happy that we have ‘reduced’ the mystery to this ‘Planck-scale quantum-mechanical oscillation’ (in 2D or 3D orbitals) without the need for an ‘aether’, or quantized spacetime, or ‘virtual particles’ actually ‘holding the thing together’.

Also, a description in terms of four-vectors (scalar and vector potential) does not immediately call for ‘retarded time’ variables and all that, so that is another reason why I think one should somehow make the jump from E-B fields to scalar and vector potential, even if the math is hard to visualize. If we want to ‘visualize’ things, Feynman’s discussion of the ‘energy’ and ‘momentum’ flow in https://www.feynmanlectures.caltech.edu/II_27.html might make sense, because I think analyses in terms of Poynting vectors are relativistically current, aren’t they? It is just an intuitive idea…

Cheers – JL

From: Jean Louis Van Belle
Sent: 18 November 2021 21:28
Subject: Staying engaged (2)

But so – in the shorter run – say, the next three-six months, I want to sort out those papers on ResearchGate. The one on the de Broglie’s matter-wave (interpreting the de Broglie wavelength as the circumference of a loop rather than as a linear wavelength) is the one that gets most downloads, and rightly so. The rest is a bit of a mess – mixing all kinds of things I tried, some of which worked, but other things did not. So I want to ‘clean’ that up… 😊 JL

From: Jean Louis Van Belle
Sent: 18 November 2021 21:21
Subject: Staying engaged…

Please do include me in the exchanges, Andrew – even if I do not react, I do read them because I do need some temptation and distraction. As mentioned, I wanted to focus on building a credible n = p + e model (for free neutrons but probably more focused on a Schrodinger-like D = p + e + p Platzwechsel model, because the deuteron nucleus is stable). But so I will not do that the way I studied the zbw model of the electron and proton (I believe that is sound now) – so that’s with not putting in enough sleep. I want to do it slowly now. I find a lot of satisfaction in the fact that I think there is no need for complicated quantum field theories (fields are quantized, but in a rather obvious way: field oscillations – just like matter-particles – pack Planck’s quantum of (physical) action which – depending on whether you freeze time or positions as a variable, expresses itself as a discrete amount of energy or, alternatively, as a discrete amount of momentum), nor is there any need for this ‘ontologization’ of virtual field interactions (sub-Planck scale) – the quark-gluon nonsense.

Also, it makes sense to distinguish between an electromagnetic and a ‘strong’ or ‘nuclear’ force: the electron and proton have different form factors (2D versus 3D oscillations, but that is a bit of a non-relativistic shorthand for what might be the case) but, in addition, there is clearly a much stronger force at play within the proton – whose strength is the same kind of ‘scale’ as the force that gives the muon-electron its rather enormous mass. So that is my ‘belief’ and the ‘heuristic’ models I build (a bit of ‘numerology’ according to Dr Pohl’s rather off-hand remarks) support it sufficiently for me to make me feel at peace about all these ‘Big Questions’.

I am also happy I figured out these inconsistencies around 720-degree symmetries (just the result of a non-rigorous application of Occam’s Razor: if you use all possible ‘signs’ in the wavefunction, then the wavefunction may represent matter as well as anti-matter particles, and these 720-degree weirdness dissolves). Finally, the kind of ‘renewed’ S-matrix programme for analyzing unstable particles (adding a transient factor to wavefunctions) makes sense to me, but even the easiest set of equations look impossible to solve – so I may want to dig into the math of that if I feel like having endless amounts of time and energy (which I do not – but, after this cancer surgery, I know I will only die on some ‘moral’ or ‘mental’ battlefield twenty or thirty years from now – so I am optimistic).

So, in short, the DEP question does intrigue me – and you should keep me posted, but I will only look at it to see if it can help me on that deuteron model. 😊 That is the only ‘deep electron orbital’ I actually believe in. Sorry for the latter note.

Cheers – JL   

From: Andrew
Sent: 16 November 2021 19:05
To: Jean-Luc; Jerry; Jean Louis
Subject: Re: retarded potential?

Dear Jean-Louis,

Congratulations on your new position. I understand your present limitations, despite your incredible ability to be productive. They must be even worse than those imposed by my young kids and my age. Do you wish for us to not include you in our exchanges on our topic? Even with no expectation of your contributing at this point, such emails might be an unwanted temptation and distraction.

Dear Jean-Luc,

Thank you for the Wiki-Links. They are useful. I agree that the 4-vector potential should be considered. Since I am now considering the nuclear potentials as well as the deep orbits, it makes sense to consider the nuclear vector potentials to have an origin in the relativistic Coulomb potentials. I am facing this in my attempts to calculate the deep orbits from contributions to the potential energies that have a vector component, which non-rel Coulomb potentials do not have.

For examples: do we include the losses in Vcb (e.g., from the binding energy BE) when we make the relativistic correction to the potential; or, how do we relativistically treat pseudo potentials such as that of centrifugal force? We know that for equilibrium, the average forces must cancel. However, I’m not sure that it is possible to write out a proper expression for “A” to fit such cases.

Best regards to all,

Andrew

_ _ _

On Fri, Nov 12, 2021 at 1:42 PM Jean-Luc wrote:

Dear all,

I totally agree with the sentence of Jean-Louis, which I put in bold in his message, about vector potential and scalar potential, combined into a 4-vector
potential A
, for representing EM field in covariant formulation. So EM representation by 4-vector A has been very developed, as wished by JL,
in the framework of QED.

We can note the simplicity of Lorentz gauge written by using A.
   https://en.wikipedia.org/wiki/Lorenz_gauge_condition

We can see the reality of vector potential
in the Aharonov-Bohm effect:
    https://en.wikipedia.org/wiki/Aharonov-Bohm_effect.
In fact, we can see that vector potential contains more information than E,B fields.
Best regards

   Jean-Luc
Le 12/11/2021 à 05:43, Jean Louis Van Belle a écrit :

Hi All – I’ve been absent in the discussion, and will remain absent for a while. I’ve been juggling a lot of work – my regular job at the Ministry of Interior (I got an internal promotion/transfer, and am working now on police and security sector reform) plus consultancies on upcoming projects in Nepal. In addition, I am still recovering from my surgery – I got a bad flue (not C19, fortunately) and it set back my auto-immune system, I feel. I have a bit of a holiday break now (combining the public holidays of 11 and 15 November in Belgium with some days off to bridge so I have a rather nice super-long weekend – three in one, so to speak).

As for this thread, I feel like it is not ‘phrasing’ the discussion in the right ‘language’. Thinking of E-fields and retarded potential is thinking in terms of 3D potential, separating out space and time variables without using the ‘power’ of four-vectors (four-vector potential, and four-vector space-time). It is important to remind ourselves that we are measuring fields in continuous space and time (but, again, this is relativistic space-time – so us visualizing a 3D potential at some point in space is what it is: we visualize something because our mind needs that – wants that). The fields are discrete, however: a field oscillation packs one unit of Planck – always – and Planck’s quantum of action combines energy and momentum: we should not think of energy and momentum as truly ‘separate’ (discrete) variables, just like we should not think of space and time as truly ‘separate’ (continuous) variables.

I do not quite know what I want to say here – or how I should further work it out. I am going to re-read my papers. I think I should further develop the last one (https://www.researchgate.net/publication/351097421_The_concepts_of_charge_elementary_ring_currents_potential_potential_energy_and_field_oscillations), in which I write that the vector potential is more real than the electric field and the scalar potential should be further developed, and probably it is the combined scalar and vector potential that are the ’real’ things. Not the electric and magnetic field. Hence, illustrations like below – in terms of discs and cones in space – do probably not go all that far in terms of ‘understanding’ what it is going on… It’s just an intuition…

Cheers – JL

From: Andrew
Sent: 23 September 2021 17:17
To: Jean-Luc; Jerry; Jean Louis
Subject: retarded potential?

Dear Jean-Luc,

Becasue of the claim that gluons are tubal, I have been looking at the disk-shaped E-field lines of the highly-relativistic electron and comparing it to the retarded potential, which, based on timing, would seem to give a cone rather than a disk (see figure). This makes a difference when we consider a deep-orbiting electron. It even impacts selection of the model for impact of an electron when considering diffraction and interference.

Even if the field appears to be spreading out as a cone, the direction of the field lines are that of a disk from the retarded source. However, how does it interact with the radial field of a stationary charge?

Do you have any thoughts on the matter.

Best regards,

Andrew

_ _ _

On Thu, Sep 23, 2021 at 5:05 AM Jean-Luc wrote:

Dear Andrew, Thank you for the references. Best regards, Jean-Luc

Le 18/09/2021 à 17:32, Andrew a écrit :
> This might have useful thoughts concerning the question of radiation
> decay to/from EDOs.
>
> Quantum Optics Electrons see the quantum nature of light
> Ian S. Osborne
> We know that light is both a wave and a particle, and this duality
> arises from the classical and quantum nature of electromagnetic
> excitations. Dahan et al. observed that all experiments to date in
> which light interacts with free electrons have been described with
> light considered as a wave (see the Perspective by Carbone). The
> authors present experimental evidence revealing the quantum nature of
> the interaction between photons and free electrons. They combine an
> ultrafast transmission electron microscope with a silicon-photonic
> nanostructure that confines and strengthens the interaction between
> the light and the electrons. The “quantum” statistics of the photons
> are imprints onto the propagating electrons and are seen directly in
> their energy spectrum.
> Science, abj7128, this issue p. 1324; see also abl6366, p. 1309

Certainty and uncertainty

A lot of the Uncertainty in quantum mechanics is suspiciously certain. For example, we know an electron will always have its spin up or down, in any direction along which we choose to measure it, and the value of the angular momentum will, accordingly, be measured as plus or minus ħ/2. That doesn’t sound uncertain to me. In fact, it sounds remarkably certain, doesn’t it? We know – we are sure, in fact, because of countless experiments – that the electron will be in either of those two states, and we also know that these two states are separated by ħ, Planck’s quantum of action, exactly.

Of course, the corollary of this is that the idea of the direction of the angular momentum is a rather fuzzy concept. As Feynman convincingly demonstrates, it is ‘never completely along any direction’. Why? Well… Perhaps it can be explained by the idea of precession?

In fact, the idea of precession might also explain the weird 720° degree symmetry of the wavefunction.

Hmm… Now that is an idea to look into ! 🙂

Should we reinvent wavefunction math?

Preliminary note: This post may cause brain damage. 🙂 If you haven’t worked yourself through a good introduction to physics – including the math – you will probably not understand what this is about. So… Well… Sorry. 😦 But if you have… Then this should be very interesting. Let’s go. 🙂

If you know one or two things about quantum math – Schrödinger’s equation and all that – then you’ll agree the math is anything but straightforward. Personally, I find the most annoying thing about wavefunction math are those transformation matrices: every time we look at the same thing from a different direction, we need to transform the wavefunction using one or more rotation matrices – and that gets quite complicated !

Now, if you have read any of my posts on this or my other blog, then you know I firmly believe the wavefunction represents something real or… Well… Perhaps it’s just the next best thing to reality: we cannot know das Ding an sich, but the wavefunction gives us everything we would want to know about it (linear or angular momentum, energy, and whatever else we have an operator for). So what am I thinking of? Let me first quote Feynman’s summary interpretation of Schrödinger’s equation (Lectures, III-16-1):

“We can think of Schrödinger’s equation as describing the diffusion of the probability amplitude from one point to the next. […] But the imaginary coefficient in front of the derivative makes the behavior completely different from the ordinary diffusion such as you would have for a gas spreading out along a thin tube. Ordinary diffusion gives rise to real exponential solutions, whereas the solutions of Schrödinger’s equation are complex waves.”

Feynman further formalizes this in his Lecture on Superconductivity (Feynman, III-21-2), in which he refers to Schrödinger’s equation as the “equation for continuity of probabilities”. His analysis there is centered on the local conservation of energy, which makes me think Schrödinger’s equation might be an energy diffusion equation. I’ve written about this ad nauseam in the past, and so I’ll just refer you to one of my papers here for the details, and limit this post to the basics, which are as follows.

The wave equation (so that’s Schrödinger’s equation in its non-relativistic form, which is an approximation that is good enough) is written as:formula 1The resemblance with the standard diffusion equation (shown below) is, effectively, very obvious:formula 2As Feynman notes, it’s just that imaginary coefficient that makes the behavior quite different. How exactly? Well… You know we get all of those complicated electron orbitals (i.e. the various wave functions that satisfy the equation) out of Schrödinger’s differential equation. We can think of these solutions as (complex) standing waves. They basically represent some equilibrium situation, and the main characteristic of each is their energy level. I won’t dwell on this because – as mentioned above – I assume you master the math. Now, you know that – if we would want to interpret these wavefunctions as something real (which is surely what want to do!) – the real and imaginary component of a wavefunction will be perpendicular to each other. Let me copy the animation for the elementary wavefunction ψ(θ) = a·ei∙θ = a·ei∙(E/ħ)·t = a·cos[(E/ħ)∙t]  i·a·sin[(E/ħ)∙t] once more:

Circle_cos_sin

So… Well… That 90° angle makes me think of the similarity with the mathematical description of an electromagnetic wave. Let me quickly show you why. For a particle moving in free space – with no external force fields acting on it – there is no potential (U = 0) and, therefore, the Vψ term – which is just the equivalent of the the sink or source term S in the diffusion equation – disappears. Therefore, Schrödinger’s equation reduces to:

∂ψ(x, t)/∂t = i·(1/2)·(ħ/meff)·∇2ψ(x, t)

Now, the key difference with the diffusion equation – let me write it for you once again: ∂φ(x, t)/∂t = D·∇2φ(x, t) – is that Schrödinger’s equation gives us two equations for the price of one. Indeed, because ψ is a complex-valued function, with a real and an imaginary part, we get the following equations:

  1. Re(∂ψ/∂t) = −(1/2)·(ħ/meffIm(∇2ψ)
  2. Im(∂ψ/∂t) = (1/2)·(ħ/meffRe(∇2ψ)

Huh? Yes. These equations are easily derived from noting that two complex numbers a + i∙b and c + i∙d are equal if, and only if, their real and imaginary parts are the same. Now, the ∂ψ/∂t = i∙(ħ/meff)∙∇2ψ equation amounts to writing something like this: a + i∙b = i∙(c + i∙d). Now, remembering that i2 = −1, you can easily figure out that i∙(c + i∙d) = i∙c + i2∙d = − d + i∙c. [Now that we’re getting a bit technical, let me note that the meff is the effective mass of the particle, which depends on the medium. For example, an electron traveling in a solid (a transistor, for example) will have a different effective mass than in an atom. In free space, we can drop the subscript and just write meff = m.] 🙂 OK. Onwards ! 🙂

The equations above make me think of the equations for an electromagnetic wave in free space (no stationary charges or currents):

  1. B/∂t = –∇×E
  2. E/∂t = c2∇×B

Now, these equations – and, I must therefore assume, the other equations above as well – effectively describe a propagation mechanism in spacetime, as illustrated below:

propagation

You know how it works for the electromagnetic field: it’s the interplay between circulation and flux. Indeed, circulation around some axis of rotation creates a flux in a direction perpendicular to it, and that flux causes this, and then that, and it all goes round and round and round. 🙂 Something like that. 🙂 I will let you look up how it goes, exactly. The principle is clear enough. Somehow, in this beautiful interplay between linear and circular motion, energy is borrowed from one place and then returns to the other, cycle after cycle.

Now, we know the wavefunction consist of a sine and a cosine: the cosine is the real component, and the sine is the imaginary component. Could they be equally real? Could each represent half of the total energy of our particle? I firmly believe they do. The obvious question then is the following: why wouldn’t we represent them as vectors, just like E and B? I mean… Representing them as vectors (I mean real vectors here – something with a magnitude and a direction in a real space – as opposed to state vectors from the Hilbert space) would show they are real, and there would be no need for cumbersome transformations when going from one representational base to another. In fact, that’s why vector notation was invented (sort of): we don’t need to worry about the coordinate frame. It’s much easier to write physical laws in vector notation because… Well… They’re the real thing, aren’t they? 🙂

What about dimensions? Well… I am not sure. However, because we are – arguably – talking about some pointlike charge moving around in those oscillating fields, I would suspect the dimension of the real and imaginary component of the wavefunction will be the same as that of the electric and magnetic field vectors E and B. We may want to recall these:

  1. E is measured in newton per coulomb (N/C).
  2. B is measured in newton per coulomb divided by m/s, so that’s (N/C)/(m/s).

The weird dimension of B is because of the weird force law for the magnetic force. It involves a vector cross product, as shown by Lorentz’ formula:

F = qE + q(v×B)

Of course, it is only one force (one and the same physical reality), as evidenced by the fact that we can write B as the following vector cross-product: B = (1/c)∙ex×E, with ex the unit vector pointing in the x-direction (i.e. the direction of propagation of the wave). [Check it, because you may not have seen this expression before. Just take a piece of paper and think about the geometry of the situation.] Hence, we may associate the (1/c)∙ex× operator, which amounts to a rotation by 90 degrees, with the s/m dimension. Now, multiplication by i also amounts to a rotation by 90° degrees. Hence, if we can agree on a suitable convention for the direction of rotation here, we may boldly write:

B = (1/c)∙ex×E = (1/c)∙iE

This is, in fact, what triggered my geometric interpretation of Schrödinger’s equation about a year ago now. I have had little time to work on it, but think I am on the right track. Of course, you should note that, for an electromagnetic wave, the magnitudes of E and B reach their maximum, minimum and zero point simultaneously (as shown below). So their phase is the same.

E and B

In contrast, the phase of the real and imaginary component of the wavefunction is not the same, as shown below.wavefunction

In fact, because of the Stern-Gerlach experiment, I am actually more thinking of a motion like this:

Wavefunction 2But that shouldn’t distract you. 🙂 The question here is the following: could we possibly think of a new formulation of Schrödinger’s equation – using vectors (again, real vectors – not these weird state vectors) rather than complex algebra?

I think we can, but then I wonder why the inventors of the wavefunction – Heisenberg, Born, Dirac, and Schrödinger himself, of course – never thought of that. 🙂

Hmm… I need to do some research here. 🙂

Post scriptum: You will, of course, wonder how and why the matter-wave would be different from the electromagnetic wave if my suggestion that the dimension of the wavefunction component is the same is correct. The answer is: the difference lies in the phase difference and then, most probably, the different orientation of the angular momentum. Do we have any other possibilities? 🙂

P.S. 2: I also published this post on my new blog: https://readingeinstein.blog/. However, I thought the followers of this blog should get it first. 🙂

Wavefunctions as gravitational waves

This is the paper I always wanted to write. It is there now, and I think it is good – and that‘s an understatement. 🙂 It is probably best to download it as a pdf-file from the viXra.org site because this was a rather fast ‘copy and paste’ job from the Word version of the paper, so there may be issues with boldface notation (vector notation), italics and, most importantly, with formulas – which I, sadly, have to ‘snip’ into this WordPress blog, as they don’t have an easy copy function for mathematical formulas.

It’s great stuff. If you have been following my blog – and many of you have – you will want to digest this. 🙂

Abstract : This paper explores the implications of associating the components of the wavefunction with a physical dimension: force per unit mass – which is, of course, the dimension of acceleration (m/s2) and gravitational fields. The classical electromagnetic field equations for energy densities, the Poynting vector and spin angular momentum are then re-derived by substituting the electromagnetic N/C unit of field strength (mass per unit charge) by the new N/kg = m/s2 dimension.

The results are elegant and insightful. For example, the energy densities are proportional to the square of the absolute value of the wavefunction and, hence, to the probabilities, which establishes a physical normalization condition. Also, Schrödinger’s wave equation may then, effectively, be interpreted as a diffusion equation for energy, and the wavefunction itself can be interpreted as a propagating gravitational wave. Finally, as an added bonus, concepts such as the Compton scattering radius for a particle, spin angular momentum, and the boson-fermion dichotomy, can also be explained more intuitively.

While the approach offers a physical interpretation of the wavefunction, the author argues that the core of the Copenhagen interpretations revolves around the complementarity principle, which remains unchallenged because the interpretation of amplitude waves as traveling fields does not explain the particle nature of matter.

Introduction

This is not another introduction to quantum mechanics. We assume the reader is already familiar with the key principles and, importantly, with the basic math. We offer an interpretation of wave mechanics. As such, we do not challenge the complementarity principle: the physical interpretation of the wavefunction that is offered here explains the wave nature of matter only. It explains diffraction and interference of amplitudes but it does not explain why a particle will hit the detector not as a wave but as a particle. Hence, the Copenhagen interpretation of the wavefunction remains relevant: we just push its boundaries.

The basic ideas in this paper stem from a simple observation: the geometric similarity between the quantum-mechanical wavefunctions and electromagnetic waves is remarkably similar. The components of both waves are orthogonal to the direction of propagation and to each other. Only the relative phase differs : the electric and magnetic field vectors (E and B) have the same phase. In contrast, the phase of the real and imaginary part of the (elementary) wavefunction (ψ = a·ei∙θ = a∙cosθ – a∙sinθ) differ by 90 degrees (π/2).[1] Pursuing the analogy, we explore the following question: if the oscillating electric and magnetic field vectors of an electromagnetic wave carry the energy that one associates with the wave, can we analyze the real and imaginary part of the wavefunction in a similar way?

We show the answer is positive and remarkably straightforward.  If the physical dimension of the electromagnetic field is expressed in newton per coulomb (force per unit charge), then the physical dimension of the components of the wavefunction may be associated with force per unit mass (newton per kg).[2] Of course, force over some distance is energy. The question then becomes: what is the energy concept here? Kinetic? Potential? Both?

The similarity between the energy of a (one-dimensional) linear oscillator (E = m·a2·ω2/2) and Einstein’s relativistic energy equation E = m∙c2 inspires us to interpret the energy as a two-dimensional oscillation of mass. To assist the reader, we construct a two-piston engine metaphor.[3] We then adapt the formula for the electromagnetic energy density to calculate the energy densities for the wave function. The results are elegant and intuitive: the energy densities are proportional to the square of the absolute value of the wavefunction and, hence, to the probabilities. Schrödinger’s wave equation may then, effectively, be interpreted as a diffusion equation for energy itself.

As an added bonus, concepts such as the Compton scattering radius for a particle and spin angular, as well as the boson-fermion dichotomy can be explained in a fully intuitive way.[4]

Of course, such interpretation is also an interpretation of the wavefunction itself, and the immediate reaction of the reader is predictable: the electric and magnetic field vectors are, somehow, to be looked at as real vectors. In contrast, the real and imaginary components of the wavefunction are not. However, this objection needs to be phrased more carefully. First, it may be noted that, in a classical analysis, the magnetic force is a pseudovector itself.[5] Second, a suitable choice of coordinates may make quantum-mechanical rotation matrices irrelevant.[6]

Therefore, the author is of the opinion that this little paper may provide some fresh perspective on the question, thereby further exploring Einstein’s basic sentiment in regard to quantum mechanics, which may be summarized as follows: there must be some physical explanation for the calculated probabilities.[7]

We will, therefore, start with Einstein’s relativistic energy equation (E = mc2) and wonder what it could possibly tell us. 

I. Energy as a two-dimensional oscillation of mass

The structural similarity between the relativistic energy formula, the formula for the total energy of an oscillator, and the kinetic energy of a moving body, is striking:

  1. E = mc2
  2. E = mω2/2
  3. E = mv2/2

In these formulas, ω, v and c all describe some velocity.[8] Of course, there is the 1/2 factor in the E = mω2/2 formula[9], but that is exactly the point we are going to explore here: can we think of an oscillation in two dimensions, so it stores an amount of energy that is equal to E = 2·m·ω2/2 = m·ω2?

That is easy enough. Think, for example, of a V-2 engine with the pistons at a 90-degree angle, as illustrated below. The 90° angle makes it possible to perfectly balance the counterweight and the pistons, thereby ensuring smooth travel at all times. With permanently closed valves, the air inside the cylinder compresses and decompresses as the pistons move up and down and provides, therefore, a restoring force. As such, it will store potential energy, just like a spring, and the motion of the pistons will also reflect that of a mass on a spring. Hence, we can describe it by a sinusoidal function, with the zero point at the center of each cylinder. We can, therefore, think of the moving pistons as harmonic oscillators, just like mechanical springs.

Figure 1: Oscillations in two dimensionsV-2 engine

If we assume there is no friction, we have a perpetuum mobile here. The compressed air and the rotating counterweight (which, combined with the crankshaft, acts as a flywheel[10]) store the potential energy. The moving masses of the pistons store the kinetic energy of the system.[11]

At this point, it is probably good to quickly review the relevant math. If the magnitude of the oscillation is equal to a, then the motion of the piston (or the mass on a spring) will be described by x = a·cos(ω·t + Δ).[12] Needless to say, Δ is just a phase factor which defines our t = 0 point, and ω is the natural angular frequency of our oscillator. Because of the 90° angle between the two cylinders, Δ would be 0 for one oscillator, and –π/2 for the other. Hence, the motion of one piston is given by x = a·cos(ω·t), while the motion of the other is given by x = a·cos(ω·t–π/2) = a·sin(ω·t).

The kinetic and potential energy of one oscillator (think of one piston or one spring only) can then be calculated as:

  1. K.E. = T = m·v2/2 = (1/2)·m·ω2·a2·sin2(ω·t + Δ)
  2. P.E. = U = k·x2/2 = (1/2)·k·a2·cos2(ω·t + Δ)

The coefficient k in the potential energy formula characterizes the restoring force: F = −k·x. From the dynamics involved, it is obvious that k must be equal to m·ω2. Hence, the total energy is equal to:

E = T + U = (1/2)· m·ω2·a2·[sin2(ω·t + Δ) + cos2(ω·t + Δ)] = m·a2·ω2/2

To facilitate the calculations, we will briefly assume k = m·ω2 and a are equal to 1. The motion of our first oscillator is given by the cos(ω·t) = cosθ function (θ = ω·t), and its kinetic energy will be equal to sin2θ. Hence, the (instantaneous) change in kinetic energy at any point in time will be equal to:

d(sin2θ)/dθ = 2∙sinθ∙d(sinθ)/dθ = 2∙sinθ∙cosθ

Let us look at the second oscillator now. Just think of the second piston going up and down in the V-2 engine. Its motion is given by the sinθ function, which is equal to cos(θ−π /2). Hence, its kinetic energy is equal to sin2(θ−π /2), and how it changes – as a function of θ – will be equal to:

2∙sin(θ−π /2)∙cos(θ−π /2) = = −2∙cosθ∙sinθ = −2∙sinθ∙cosθ

We have our perpetuum mobile! While transferring kinetic energy from one piston to the other, the crankshaft will rotate with a constant angular velocity: linear motion becomes circular motion, and vice versa, and the total energy that is stored in the system is T + U = ma2ω2.

We have a great metaphor here. Somehow, in this beautiful interplay between linear and circular motion, energy is borrowed from one place and then returns to the other, cycle after cycle. We know the wavefunction consist of a sine and a cosine: the cosine is the real component, and the sine is the imaginary component. Could they be equally real? Could each represent half of the total energy of our particle? Should we think of the c in our E = mc2 formula as an angular velocity?

These are sensible questions. Let us explore them. 

II. The wavefunction as a two-dimensional oscillation

The elementary wavefunction is written as:

ψ = a·ei[E·t − px]/ħa·ei[E·t − px]/ħ = a·cos(px E∙t/ħ) + i·a·sin(px E∙t/ħ)

When considering a particle at rest (p = 0) this reduces to:

ψ = a·ei∙E·t/ħ = a·cos(E∙t/ħ) + i·a·sin(E∙t/ħ) = a·cos(E∙t/ħ) i·a·sin(E∙t/ħ) 

Let us remind ourselves of the geometry involved, which is illustrated below. Note that the argument of the wavefunction rotates clockwise with time, while the mathematical convention for measuring the phase angle (ϕ) is counter-clockwise.

Figure 2: Euler’s formula760px-eulers_formula

If we assume the momentum p is all in the x-direction, then the p and x vectors will have the same direction, and px/ħ reduces to p∙x/ħ. Most illustrations – such as the one below – will either freeze x or, else, t. Alternatively, one can google web animations varying both. The point is: we also have a two-dimensional oscillation here. These two dimensions are perpendicular to the direction of propagation of the wavefunction. For example, if the wavefunction propagates in the x-direction, then the oscillations are along the y– and z-axis, which we may refer to as the real and imaginary axis. Note how the phase difference between the cosine and the sine  – the real and imaginary part of our wavefunction – appear to give some spin to the whole. I will come back to this.

Figure 3: Geometric representation of the wavefunction5d_euler_f

Hence, if we would say these oscillations carry half of the total energy of the particle, then we may refer to the real and imaginary energy of the particle respectively, and the interplay between the real and the imaginary part of the wavefunction may then describe how energy propagates through space over time.

Let us consider, once again, a particle at rest. Hence, p = 0 and the (elementary) wavefunction reduces to ψ = a·ei∙E·t/ħ. Hence, the angular velocity of both oscillations, at some point x, is given by ω = -E/ħ. Now, the energy of our particle includes all of the energy – kinetic, potential and rest energy – and is, therefore, equal to E = mc2.

Can we, somehow, relate this to the m·a2·ω2 energy formula for our V-2 perpetuum mobile? Our wavefunction has an amplitude too. Now, if the oscillations of the real and imaginary wavefunction store the energy of our particle, then their amplitude will surely matter. In fact, the energy of an oscillation is, in general, proportional to the square of the amplitude: E µ a2. We may, therefore, think that the a2 factor in the E = m·a2·ω2 energy will surely be relevant as well.

However, here is a complication: an actual particle is localized in space and can, therefore, not be represented by the elementary wavefunction. We must build a wave packet for that: a sum of wavefunctions, each with their own amplitude ak, and their own ωi = -Ei/ħ. Each of these wavefunctions will contribute some energy to the total energy of the wave packet. To calculate the contribution of each wave to the total, both ai as well as Ei will matter.

What is Ei? Ei varies around some average E, which we can associate with some average mass m: m = E/c2. The Uncertainty Principle kicks in here. The analysis becomes more complicated, but a formula such as the one below might make sense:F1We can re-write this as:F2What is the meaning of this equation? We may look at it as some sort of physical normalization condition when building up the Fourier sum. Of course, we should relate this to the mathematical normalization condition for the wavefunction. Our intuition tells us that the probabilities must be related to the energy densities, but how exactly? We will come back to this question in a moment. Let us first think some more about the enigma: what is mass?

Before we do so, let us quickly calculate the value of c2ħ2: it is about 1´1051 N2∙m4. Let us also do a dimensional analysis: the physical dimensions of the E = m·a2·ω2 equation make sense if we express m in kg, a in m, and ω in rad/s. We then get: [E] = kg∙m2/s2 = (N∙s2/m)∙m2/s2 = N∙m = J. The dimensions of the left- and right-hand side of the physical normalization condition is N3∙m5. 

III. What is mass?

We came up, playfully, with a meaningful interpretation for energy: it is a two-dimensional oscillation of mass. But what is mass? A new aether theory is, of course, not an option, but then what is it that is oscillating? To understand the physics behind equations, it is always good to do an analysis of the physical dimensions in the equation. Let us start with Einstein’s energy equation once again. If we want to look at mass, we should re-write it as m = E/c2:

[m] = [E/c2] = J/(m/s)2 = N·m∙s2/m2 = N·s2/m = kg

This is not very helpful. It only reminds us of Newton’s definition of a mass: mass is that what gets accelerated by a force. At this point, we may want to think of the physical significance of the absolute nature of the speed of light. Einstein’s E = mc2 equation implies we can write the ratio between the energy and the mass of any particle is always the same, so we can write, for example:F3This reminds us of the ω2= C1/L or ω2 = k/m of harmonic oscillators once again.[13] The key difference is that the ω2= C1/L and ω2 = k/m formulas introduce two or more degrees of freedom.[14] In contrast, c2= E/m for any particle, always. However, that is exactly the point: we can modulate the resistance, inductance and capacitance of electric circuits, and the stiffness of springs and the masses we put on them, but we live in one physical space only: our spacetime. Hence, the speed of light c emerges here as the defining property of spacetime – the resonant frequency, so to speak. We have no further degrees of freedom here.

 

The Planck-Einstein relation (for photons) and the de Broglie equation (for matter-particles) have an interesting feature: both imply that the energy of the oscillation is proportional to the frequency, with Planck’s constant as the constant of proportionality. Now, for one-dimensional oscillations – think of a guitar string, for example – we know the energy will be proportional to the square of the frequency. It is a remarkable observation: the two-dimensional matter-wave, or the electromagnetic wave, gives us two waves for the price of one, so to speak, each carrying half of the total energy of the oscillation but, as a result, we get a proportionality between E and f instead of between E and f2.

However, such reflections do not answer the fundamental question we started out with: what is mass? At this point, it is hard to go beyond the circular definition that is implied by Einstein’s formula: energy is a two-dimensional oscillation of mass, and mass packs energy, and c emerges us as the property of spacetime that defines how exactly.

When everything is said and done, this does not go beyond stating that mass is some scalar field. Now, a scalar field is, quite simply, some real number that we associate with a position in spacetime. The Higgs field is a scalar field but, of course, the theory behind it goes much beyond stating that we should think of mass as some scalar field. The fundamental question is: why and how does energy, or matter, condense into elementary particles? That is what the Higgs mechanism is about but, as this paper is exploratory only, we cannot even start explaining the basics of it.

What we can do, however, is look at the wave equation again (Schrödinger’s equation), as we can now analyze it as an energy diffusion equation. 

IV. Schrödinger’s equation as an energy diffusion equation

The interpretation of Schrödinger’s equation as a diffusion equation is straightforward. Feynman (Lectures, III-16-1) briefly summarizes it as follows:

“We can think of Schrödinger’s equation as describing the diffusion of the probability amplitude from one point to the next. […] But the imaginary coefficient in front of the derivative makes the behavior completely different from the ordinary diffusion such as you would have for a gas spreading out along a thin tube. Ordinary diffusion gives rise to real exponential solutions, whereas the solutions of Schrödinger’s equation are complex waves.”[17]

Let us review the basic math. For a particle moving in free space – with no external force fields acting on it – there is no potential (U = 0) and, therefore, the Uψ term disappears. Therefore, Schrödinger’s equation reduces to:

∂ψ(x, t)/∂t = i·(1/2)·(ħ/meff)·∇2ψ(x, t)

The ubiquitous diffusion equation in physics is:

∂φ(x, t)/∂t = D·∇2φ(x, t)

The structural similarity is obvious. The key difference between both equations is that the wave equation gives us two equations for the price of one. Indeed, because ψ is a complex-valued function, with a real and an imaginary part, we get the following equations[18]:

  1. Re(∂ψ/∂t) = −(1/2)·(ħ/meffIm(∇2ψ)
  2. Im(∂ψ/∂t) = (1/2)·(ħ/meffRe(∇2ψ)

These equations make us think of the equations for an electromagnetic wave in free space (no stationary charges or currents):

  1. B/∂t = –∇×E
  2. E/∂t = c2∇×B

The above equations effectively describe a propagation mechanism in spacetime, as illustrated below.

Figure 4: Propagation mechanismspropagation

The Laplacian operator (∇2), when operating on a scalar quantity, gives us a flux density, i.e. something expressed per square meter (1/m2). In this case, it is operating on ψ(x, t), so what is the dimension of our wavefunction ψ(x, t)? To answer that question, we should analyze the diffusion constant in Schrödinger’s equation, i.e. the (1/2)·(ħ/meff) factor:

  1. As a mathematical constant of proportionality, it will quantify the relationship between both derivatives (i.e. the time derivative and the Laplacian);
  2. As a physical constant, it will ensure the physical dimensions on both sides of the equation are compatible.

Now, the ħ/meff factor is expressed in (N·m·s)/(N· s2/m) = m2/s. Hence, it does ensure the dimensions on both sides of the equation are, effectively, the same: ∂ψ/∂t is a time derivative and, therefore, its dimension is s1 while, as mentioned above, the dimension of ∇2ψ is m2. However, this does not solve our basic question: what is the dimension of the real and imaginary part of our wavefunction?

At this point, mainstream physicists will say: it does not have a physical dimension, and there is no geometric interpretation of Schrödinger’s equation. One may argue, effectively, that its argument, (px – E∙t)/ħ, is just a number and, therefore, that the real and imaginary part of ψ is also just some number.

To this, we may object that ħ may be looked as a mathematical scaling constant only. If we do that, then the argument of ψ will, effectively, be expressed in action units, i.e. in N·m·s. It then does make sense to also associate a physical dimension with the real and imaginary part of ψ. What could it be?

We may have a closer look at Maxwell’s equations for inspiration here. The electric field vector is expressed in newton (the unit of force) per unit of charge (coulomb). Now, there is something interesting here. The physical dimension of the magnetic field is N/C divided by m/s.[19] We may write B as the following vector cross-product: B = (1/c)∙ex×E, with ex the unit vector pointing in the x-direction (i.e. the direction of propagation of the wave). Hence, we may associate the (1/c)∙ex× operator, which amounts to a rotation by 90 degrees, with the s/m dimension. Now, multiplication by i also amounts to a rotation by 90° degrees. Hence, we may boldly write: B = (1/c)∙ex×E = (1/c)∙iE. This allows us to also geometrically interpret Schrödinger’s equation in the way we interpreted it above (see Figure 3).[20]

Still, we have not answered the question as to what the physical dimension of the real and imaginary part of our wavefunction should be. At this point, we may be inspired by the structural similarity between Newton’s and Coulomb’s force laws:F4Hence, if the electric field vector E is expressed in force per unit charge (N/C), then we may want to think of associating the real part of our wavefunction with a force per unit mass (N/kg). We can, of course, do a substitution here, because the mass unit (1 kg) is equivalent to 1 N·s2/m. Hence, our N/kg dimension becomes:

N/kg = N/(N·s2/m)= m/s2

What is this: m/s2? Is that the dimension of the a·cosθ term in the a·eiθ a·cosθ − i·a·sinθ wavefunction?

My answer is: why not? Think of it: m/s2 is the physical dimension of acceleration: the increase or decrease in velocity (m/s) per second. It ensures the wavefunction for any particle – matter-particles or particles with zero rest mass (photons) – and the associated wave equation (which has to be the same for all, as the spacetime we live in is one) are mutually consistent.

In this regard, we should think of how we would model a gravitational wave. The physical dimension would surely be the same: force per mass unit. It all makes sense: wavefunctions may, perhaps, be interpreted as traveling distortions of spacetime, i.e. as tiny gravitational waves.

V. Energy densities and flows

Pursuing the geometric equivalence between the equations for an electromagnetic wave and Schrödinger’s equation, we can now, perhaps, see if there is an equivalent for the energy density. For an electromagnetic wave, we know that the energy density is given by the following formula:F5E and B are the electric and magnetic field vector respectively. The Poynting vector will give us the directional energy flux, i.e. the energy flow per unit area per unit time. We write:F6Needless to say, the ∙ operator is the divergence and, therefore, gives us the magnitude of a (vector) field’s source or sink at a given point. To be precise, the divergence gives us the volume density of the outward flux of a vector field from an infinitesimal volume around a given point. In this case, it gives us the volume density of the flux of S.

We can analyze the dimensions of the equation for the energy density as follows:

  1. E is measured in newton per coulomb, so [EE] = [E2] = N2/C2.
  2. B is measured in (N/C)/(m/s), so we get [BB] = [B2] = (N2/C2)·(s2/m2). However, the dimension of our c2 factor is (m2/s2) and so we’re also left with N2/C2.
  3. The ϵ0 is the electric constant, aka as the vacuum permittivity. As a physical constant, it should ensure the dimensions on both sides of the equation work out, and they do: [ε0] = C2/(N·m2) and, therefore, if we multiply that with N2/C2, we find that is expressed in J/m3.[21]

Replacing the newton per coulomb unit (N/C) by the newton per kg unit (N/kg) in the formulas above should give us the equivalent of the energy density for the wavefunction. We just need to substitute ϵ0 for an equivalent constant. We may to give it a try. If the energy densities can be calculated – which are also mass densities, obviously – then the probabilities should be proportional to them.

Let us first see what we get for a photon, assuming the electromagnetic wave represents its wavefunction. Substituting B for (1/c)∙iE or for −(1/c)∙iE gives us the following result:F7Zero!? An unexpected result! Or not? We have no stationary charges and no currents: only an electromagnetic wave in free space. Hence, the local energy conservation principle needs to be respected at all points in space and in time. The geometry makes sense of the result: for an electromagnetic wave, the magnitudes of E and B reach their maximum, minimum and zero point simultaneously, as shown below.[22] This is because their phase is the same.

Figure 5: Electromagnetic wave: E and BEM field

Should we expect a similar result for the energy densities that we would associate with the real and imaginary part of the matter-wave? For the matter-wave, we have a phase difference between a·cosθ and a·sinθ, which gives a different picture of the propagation of the wave (see Figure 3).[23] In fact, the geometry of the suggestion suggests some inherent spin, which is interesting. I will come back to this. Let us first guess those densities. Making abstraction of any scaling constants, we may write:F8We get what we hoped to get: the absolute square of our amplitude is, effectively, an energy density !

|ψ|2  = |a·ei∙E·t/ħ|2 = a2 = u

This is very deep. A photon has no rest mass, so it borrows and returns energy from empty space as it travels through it. In contrast, a matter-wave carries energy and, therefore, has some (rest) mass. It is therefore associated with an energy density, and this energy density gives us the probabilities. Of course, we need to fine-tune the analysis to account for the fact that we have a wave packet rather than a single wave, but that should be feasible.

As mentioned, the phase difference between the real and imaginary part of our wavefunction (a cosine and a sine function) appear to give some spin to our particle. We do not have this particularity for a photon. Of course, photons are bosons, i.e. spin-zero particles, while elementary matter-particles are fermions with spin-1/2. Hence, our geometric interpretation of the wavefunction suggests that, after all, there may be some more intuitive explanation of the fundamental dichotomy between bosons and fermions, which puzzled even Feynman:

“Why is it that particles with half-integral spin are Fermi particles, whereas particles with integral spin are Bose particles? We apologize for the fact that we cannot give you an elementary explanation. An explanation has been worked out by Pauli from complicated arguments of quantum field theory and relativity. He has shown that the two must necessarily go together, but we have not been able to find a way of reproducing his arguments on an elementary level. It appears to be one of the few places in physics where there is a rule which can be stated very simply, but for which no one has found a simple and easy explanation. The explanation is deep down in relativistic quantum mechanics. This probably means that we do not have a complete understanding of the fundamental principle involved.” (Feynman, Lectures, III-4-1)

The physical interpretation of the wavefunction, as presented here, may provide some better understanding of ‘the fundamental principle involved’: the physical dimension of the oscillation is just very different. That is all: it is force per unit charge for photons, and force per unit mass for matter-particles. We will examine the question of spin somewhat more carefully in section VII. Let us first examine the matter-wave some more. 

VI. Group and phase velocity of the matter-wave

The geometric representation of the matter-wave (see Figure 3) suggests a traveling wave and, yes, of course: the matter-wave effectively travels through space and time. But what is traveling, exactly? It is the pulse – or the signal – only: the phase velocity of the wave is just a mathematical concept and, even in our physical interpretation of the wavefunction, the same is true for the group velocity of our wave packet. The oscillation is two-dimensional, but perpendicular to the direction of travel of the wave. Hence, nothing actually moves with our particle.

Here, we should also reiterate that we did not answer the question as to what is oscillating up and down and/or sideways: we only associated a physical dimension with the components of the wavefunction – newton per kg (force per unit mass), to be precise. We were inspired to do so because of the physical dimension of the electric and magnetic field vectors (newton per coulomb, i.e. force per unit charge) we associate with electromagnetic waves which, for all practical purposes, we currently treat as the wavefunction for a photon. This made it possible to calculate the associated energy densities and a Poynting vector for energy dissipation. In addition, we showed that Schrödinger’s equation itself then becomes a diffusion equation for energy. However, let us now focus some more on the asymmetry which is introduced by the phase difference between the real and the imaginary part of the wavefunction. Look at the mathematical shape of the elementary wavefunction once again:

ψ = a·ei[E·t − px]/ħa·ei[E·t − px]/ħ = a·cos(px/ħ − E∙t/ħ) + i·a·sin(px/ħ − E∙t/ħ)

The minus sign in the argument of our sine and cosine function defines the direction of travel: an F(x−v∙t) wavefunction will always describe some wave that is traveling in the positive x-direction (with the wave velocity), while an F(x+v∙t) wavefunction will travel in the negative x-direction. For a geometric interpretation of the wavefunction in three dimensions, we need to agree on how to define i or, what amounts to the same, a convention on how to define clockwise and counterclockwise directions: if we look at a clock from the back, then its hand will be moving counterclockwise. So we need to establish the equivalent of the right-hand rule. However, let us not worry about that now. Let us focus on the interpretation. To ease the analysis, we’ll assume we’re looking at a particle at rest. Hence, p = 0, and the wavefunction reduces to:

ψ = a·ei∙E·t/ħ = a·cos(−E∙t/ħ) + i·a·sin(−E0∙t/ħ) = a·cos(E0∙t/ħ) − i·a·sin(E0∙t/ħ)

E0 is, of course, the rest mass of our particle and, now that we are here, we should probably wonder whose time we are talking about: is it our time, or is the proper time of our particle? Well… In this situation, we are both at rest so it does not matter: t is, effectively, the proper time so perhaps we should write it as t0. It does not matter. You can see what we expect to see: E0/ħ pops up as the natural frequency of our matter-particle: (E0/ħ)∙t = ω∙t. Remembering the ω = 2π·f = 2π/T and T = 1/formulas, we can associate a period and a frequency with this wave, using the ω = 2π·f = 2π/T. Noting that ħ = h/2π, we find the following:

T = 2π·(ħ/E0) = h/E0 ⇔ = E0/h = m0c2/h

This is interesting, because we can look at the period as a natural unit of time for our particle. What about the wavelength? That is tricky because we need to distinguish between group and phase velocity here. The group velocity (vg) should be zero here, because we assume our particle does not move. In contrast, the phase velocity is given by vp = λ·= (2π/k)·(ω/2π) = ω/k. In fact, we’ve got something funny here: the wavenumber k = p/ħ is zero, because we assume the particle is at rest, so p = 0. So we have a division by zero here, which is rather strange. What do we get assuming the particle is not at rest? We write:

vp = ω/k = (E/ħ)/(p/ħ) = E/p = E/(m·vg) = (m·c2)/(m·vg) = c2/vg

This is interesting: it establishes a reciprocal relation between the phase and the group velocity, with as a simple scaling constant. Indeed, the graph below shows the shape of the function does not change with the value of c, and we may also re-write the relation above as:

vp/= βp = c/vp = 1/βg = 1/(c/vp)

Figure 6: Reciprocal relation between phase and group velocitygraph

We can also write the mentioned relationship as vp·vg = c2, which reminds us of the relationship between the electric and magnetic constant (1/ε0)·(1/μ0) = c2. This is interesting in light of the fact we can re-write this as (c·ε0)·(c·μ0) = 1, which shows electricity and magnetism are just two sides of the same coin, so to speak.[24]

Interesting, but how do we interpret the math? What about the implications of the zero value for wavenumber k = p/ħ. We would probably like to think it implies the elementary wavefunction should always be associated with some momentum, because the concept of zero momentum clearly leads to weird math: something times zero cannot be equal to c2! Such interpretation is also consistent with the Uncertainty Principle: if Δx·Δp ≥ ħ, then neither Δx nor Δp can be zero. In other words, the Uncertainty Principle tells us that the idea of a pointlike particle actually being at some specific point in time and in space does not make sense: it has to move. It tells us that our concept of dimensionless points in time and space are mathematical notions only. Actual particles – including photons – are always a bit spread out, so to speak, and – importantly – they have to move.

For a photon, this is self-evident. It has no rest mass, no rest energy, and, therefore, it is going to move at the speed of light itself. We write: p = m·c = m·c2/= E/c. Using the relationship above, we get:

vp = ω/k = (E/ħ)/(p/ħ) = E/p = c ⇒ vg = c2/vp = c2/c = c

This is good: we started out with some reflections on the matter-wave, but here we get an interpretation of the electromagnetic wave as a wavefunction for the photon. But let us get back to our matter-wave. In regard to our interpretation of a particle having to move, we should remind ourselves, once again, of the fact that an actual particle is always localized in space and that it can, therefore, not be represented by the elementary wavefunction ψ = a·ei[E·t − px]/ħ or, for a particle at rest, the ψ = a·ei∙E·t/ħ function. We must build a wave packet for that: a sum of wavefunctions, each with their own amplitude ai, and their own ωi = −Ei/ħ. Indeed, in section II, we showed that each of these wavefunctions will contribute some energy to the total energy of the wave packet and that, to calculate the contribution of each wave to the total, both ai as well as Ei matter. This may or may not resolve the apparent paradox. Let us look at the group velocity.

To calculate a meaningful group velocity, we must assume the vg = ∂ωi/∂ki = ∂(Ei/ħ)/∂(pi/ħ) = ∂(Ei)/∂(pi) exists. So we must have some dispersion relation. How do we calculate it? We need to calculate ωi as a function of ki here, or Ei as a function of pi. How do we do that? Well… There are a few ways to go about it but one interesting way of doing it is to re-write Schrödinger’s equation as we did, i.e. by distinguishing the real and imaginary parts of the ∂ψ/∂t =i·[ħ/(2m)]·∇2ψ wave equation and, hence, re-write it as the following pair of two equations:

  1. Re(∂ψ/∂t) = −[ħ/(2meff)]·Im(∇2ψ) ⇔ ω·cos(kx − ωt) = k2·[ħ/(2meff)]·cos(kx − ωt)
  2. Im(∂ψ/∂t) = [ħ/(2meff)]·Re(∇2ψ) ⇔ ω·sin(kx − ωt) = k2·[ħ/(2meff)]·sin(kx − ωt)

Both equations imply the following dispersion relation:

ω = ħ·k2/(2meff)

Of course, we need to think about the subscripts now: we have ωi, ki, but… What about meff or, dropping the subscript, m? Do we write it as mi? If so, what is it? Well… It is the equivalent mass of Ei obviously, and so we get it from the mass-energy equivalence relation: mi = Ei/c2. It is a fine point, but one most people forget about: they usually just write m. However, if there is uncertainty in the energy, then Einstein’s mass-energy relation tells us we must have some uncertainty in the (equivalent) mass too. Here, I should refer back to Section II: Ei varies around some average energy E and, therefore, the Uncertainty Principle kicks in. 

VII. Explaining spin

The elementary wavefunction vector – i.e. the vector sum of the real and imaginary component – rotates around the x-axis, which gives us the direction of propagation of the wave (see Figure 3). Its magnitude remains constant. In contrast, the magnitude of the electromagnetic vector – defined as the vector sum of the electric and magnetic field vectors – oscillates between zero and some maximum (see Figure 5).

We already mentioned that the rotation of the wavefunction vector appears to give some spin to the particle. Of course, a circularly polarized wave would also appear to have spin (think of the E and B vectors rotating around the direction of propagation – as opposed to oscillating up and down or sideways only). In fact, a circularly polarized light does carry angular momentum, as the equivalent mass of its energy may be thought of as rotating as well. But so here we are looking at a matter-wave.

The basic idea is the following: if we look at ψ = a·ei∙E·t/ħ as some real vector – as a two-dimensional oscillation of mass, to be precise – then we may associate its rotation around the direction of propagation with some torque. The illustration below reminds of the math here.

Figure 7: Torque and angular momentum vectorsTorque_animation

A torque on some mass about a fixed axis gives it angular momentum, which we can write as the vector cross-product L = r×p or, perhaps easier for our purposes here as the product of an angular velocity (ω) and rotational inertia (I), aka as the moment of inertia or the angular mass. We write:

L = I·ω

Note we can write L and ω in boldface here because they are (axial) vectors. If we consider their magnitudes only, we write L = I·ω (no boldface). We can now do some calculations. Let us start with the angular velocity. In our previous posts, we showed that the period of the matter-wave is equal to T = 2π·(ħ/E0). Hence, the angular velocity must be equal to:

ω = 2π/[2π·(ħ/E0)] = E0

We also know the distance r, so that is the magnitude of r in the Lr×p vector cross-product: it is just a, so that is the magnitude of ψ = a·ei∙E·t/ħ. Now, the momentum (p) is the product of a linear velocity (v) – in this case, the tangential velocity – and some mass (m): p = m·v. If we switch to scalar instead of vector quantities, then the (tangential) velocity is given by v = r·ω. So now we only need to think about what we should use for m or, if we want to work with the angular velocity (ω), the angular mass (I). Here we need to make some assumption about the mass (or energy) distribution. Now, it may or may not sense to assume the energy in the oscillation – and, therefore, the mass – is distributed uniformly. In that case, we may use the formula for the angular mass of a solid cylinder: I = m·r2/2. If we keep the analysis non-relativistic, then m = m0. Of course, the energy-mass equivalence tells us that m0 = E0/c2. Hence, this is what we get:

L = I·ω = (m0·r2/2)·(E0/ħ) = (1/2)·a2·(E0/c2)·(E0/ħ) = a2·E02/(2·ħ·c2)

Does it make sense? Maybe. Maybe not. Let us do a dimensional analysis: that won’t check our logic, but it makes sure we made no mistakes when mapping mathematical and physical spaces. We have m2·J2 = m2·N2·m2 in the numerator and N·m·s·m2/s2 in the denominator. Hence, the dimensions work out: we get N·m·s as the dimension for L, which is, effectively, the physical dimension of angular momentum. It is also the action dimension, of course, and that cannot be a coincidence. Also note that the E = mc2 equation allows us to re-write it as:

L = a2·E02/(2·ħ·c2)

Of course, in quantum mechanics, we associate spin with the magnetic moment of a charged particle, not with its mass as such. Is there way to link the formula above to the one we have for the quantum-mechanical angular momentum, which is also measured in N·m·s units, and which can only take on one of two possible values: J = +ħ/2 and −ħ/2? It looks like a long shot, right? How do we go from (1/2)·a2·m02/ħ to ± (1/2)∙ħ? Let us do a numerical example. The energy of an electron is typically 0.510 MeV » 8.1871×10−14 N∙m, and a… What value should we take for a?

We have an obvious trio of candidates here: the Bohr radius, the classical electron radius (aka the Thompon scattering length), and the Compton scattering radius.

Let us start with the Bohr radius, so that is about 0.×10−10 N∙m. We get L = a2·E02/(2·ħ·c2) = 9.9×10−31 N∙m∙s. Now that is about 1.88×104 times ħ/2. That is a huge factor. The Bohr radius cannot be right: we are not looking at an electron in an orbital here. To show it does not make sense, we may want to double-check the analysis by doing the calculation in another way. We said each oscillation will always pack 6.626070040(81)×10−34 joule in energy. So our electron should pack about 1.24×10−20 oscillations. The angular momentum (L) we get when using the Bohr radius for a and the value of 6.626×10−34 joule for E0 and the Bohr radius is equal to 6.49×10−59 N∙m∙s. So that is the angular momentum per oscillation. When we multiply this with the number of oscillations (1.24×10−20), we get about 8.01×10−51 N∙m∙s, so that is a totally different number.

The classical electron radius is about 2.818×10−15 m. We get an L that is equal to about 2.81×10−39 N∙m∙s, so now it is a tiny fraction of ħ/2! Hence, this leads us nowhere. Let us go for our last chance to get a meaningful result! Let us use the Compton scattering length, so that is about 2.42631×10−12 m.

This gives us an L of 2.08×10−33 N∙m∙s, which is only 20 times ħ. This is not so bad, but it is good enough? Let us calculate it the other way around: what value should we take for a so as to ensure L = a2·E02/(2·ħ·c2) = ħ/2? Let us write it out:F9

In fact, this is the formula for the so-called reduced Compton wavelength. This is perfect. We found what we wanted to find. Substituting this value for a (you can calculate it: it is about 3.8616×10−33 m), we get what we should find:F10

This is a rather spectacular result, and one that would – a priori – support the interpretation of the wavefunction that is being suggested in this paper. 

VIII. The boson-fermion dichotomy

Let us do some more thinking on the boson-fermion dichotomy. Again, we should remind ourselves that an actual particle is localized in space and that it can, therefore, not be represented by the elementary wavefunction ψ = a·ei[E·t − px]/ħ or, for a particle at rest, the ψ = a·ei∙E·t/ħ function. We must build a wave packet for that: a sum of wavefunctions, each with their own amplitude ai, and their own ωi = −Ei/ħ. Each of these wavefunctions will contribute some energy to the total energy of the wave packet. Now, we can have another wild but logical theory about this.

Think of the apparent right-handedness of the elementary wavefunction: surely, Nature can’t be bothered about our convention of measuring phase angles clockwise or counterclockwise. Also, the angular momentum can be positive or negative: J = +ħ/2 or −ħ/2. Hence, we would probably like to think that an actual particle – think of an electron, or whatever other particle you’d think of – may consist of right-handed as well as left-handed elementary waves. To be precise, we may think they either consist of (elementary) right-handed waves or, else, of (elementary) left-handed waves. An elementary right-handed wave would be written as:

ψ(θi= ai·(cosθi + i·sinθi)

In contrast, an elementary left-handed wave would be written as:

ψ(θi= ai·(cosθii·sinθi)

How does that work out with the E0·t argument of our wavefunction? Position is position, and direction is direction, but time? Time has only one direction, but Nature surely does not care how we count time: counting like 1, 2, 3, etcetera or like −1, −2, −3, etcetera is just the same. If we count like 1, 2, 3, etcetera, then we write our wavefunction like:

ψ = a·cos(E0∙t/ħ) − i·a·sin(E0∙t/ħ)

If we count time like −1, −2, −3, etcetera then we write it as:

 ψ = a·cos(E0∙t/ħ) − i·a·sin(E0∙t/ħ)= a·cos(E0∙t/ħ) + i·a·sin(E0∙t/ħ)

Hence, it is just like the left- or right-handed circular polarization of an electromagnetic wave: we can have both for the matter-wave too! This, then, should explain why we can have either positive or negative quantum-mechanical spin (+ħ/2 or −ħ/2). It is the usual thing: we have two mathematical possibilities here, and so we must have two physical situations that correspond to it.

It is only natural. If we have left- and right-handed photons – or, generalizing, left- and right-handed bosons – then we should also have left- and right-handed fermions (electrons, protons, etcetera). Back to the dichotomy. The textbook analysis of the dichotomy between bosons and fermions may be epitomized by Richard Feynman’s Lecture on it (Feynman, III-4), which is confusing and – I would dare to say – even inconsistent: how are photons or electrons supposed to know that they need to interfere with a positive or a negative sign? They are not supposed to know anything: knowledge is part of our interpretation of whatever it is that is going on there.

Hence, it is probably best to keep it simple, and think of the dichotomy in terms of the different physical dimensions of the oscillation: newton per kg versus newton per coulomb. And then, of course, we should also note that matter-particles have a rest mass and, therefore, actually carry charge. Photons do not. But both are two-dimensional oscillations, and the point is: the so-called vacuum – and the rest mass of our particle (which is zero for the photon and non-zero for everything else) – give us the natural frequency for both oscillations, which is beautifully summed up in that remarkable equation for the group and phase velocity of the wavefunction, which applies to photons as well as matter-particles:

(vphase·c)·(vgroup·c) = 1 ⇔ vp·vg = c2

The final question then is: why are photons spin-zero particles? Well… We should first remind ourselves of the fact that they do have spin when circularly polarized.[25] Here we may think of the rotation of the equivalent mass of their energy. However, if they are linearly polarized, then there is no spin. Even for circularly polarized waves, the spin angular momentum of photons is a weird concept. If photons have no (rest) mass, then they cannot carry any charge. They should, therefore, not have any magnetic moment. Indeed, what I wrote above shows an explanation of quantum-mechanical spin requires both mass as well as charge.[26] 

IX. Concluding remarks

There are, of course, other ways to look at the matter – literally. For example, we can imagine two-dimensional oscillations as circular rather than linear oscillations. Think of a tiny ball, whose center of mass stays where it is, as depicted below. Any rotation – around any axis – will be some combination of a rotation around the two other axes. Hence, we may want to think of a two-dimensional oscillation as an oscillation of a polar and azimuthal angle.

Figure 8: Two-dimensional circular movementoscillation-of-a-ball

The point of this paper is not to make any definite statements. That would be foolish. Its objective is just to challenge the simplistic mainstream viewpoint on the reality of the wavefunction. Stating that it is a mathematical construct only without physical significance amounts to saying it has no meaning at all. That is, clearly, a non-sustainable proposition.

The interpretation that is offered here looks at amplitude waves as traveling fields. Their physical dimension may be expressed in force per mass unit, as opposed to electromagnetic waves, whose amplitudes are expressed in force per (electric) charge unit. Also, the amplitudes of matter-waves incorporate a phase factor, but this may actually explain the rather enigmatic dichotomy between fermions and bosons and is, therefore, an added bonus.

The interpretation that is offered here has some advantages over other explanations, as it explains the how of diffraction and interference. However, while it offers a great explanation of the wave nature of matter, it does not explain its particle nature: while we think of the energy as being spread out, we will still observe electrons and photons as pointlike particles once they hit the detector. Why is it that a detector can sort of ‘hook’ the whole blob of energy, so to speak?

The interpretation of the wavefunction that is offered here does not explain this. Hence, the complementarity principle of the Copenhagen interpretation of the wavefunction surely remains relevant.

Appendix 1: The de Broglie relations and energy

The 1/2 factor in Schrödinger’s equation is related to the concept of the effective mass (meff). It is easy to make the wrong calculations. For example, when playing with the famous de Broglie relations – aka as the matter-wave equations – one may be tempted to derive the following energy concept:

  1. E = h·f and p = h/λ. Therefore, f = E/h and λ = p/h.
  2. v = λ = (E/h)∙(p/h) = E/p
  3. p = m·v. Therefore, E = v·p = m·v2

E = m·v2? This resembles the E = mc2 equation and, therefore, one may be enthused by the discovery, especially because the m·v2 also pops up when working with the Least Action Principle in classical mechanics, which states that the path that is followed by a particle will minimize the following integral:F11Now, we can choose any reference point for the potential energy but, to reflect the energy conservation law, we can select a reference point that ensures the sum of the kinetic and the potential energy is zero throughout the time interval. If the force field is uniform, then the integrand will, effectively, be equal to KE − PE = m·v2.[27]

However, that is classical mechanics and, therefore, not so relevant in the context of the de Broglie equations, and the apparent paradox should be solved by distinguishing between the group and the phase velocity of the matter wave.

Appendix 2: The concept of the effective mass

The effective mass – as used in Schrödinger’s equation – is a rather enigmatic concept. To make sure we are making the right analysis here, I should start by noting you will usually see Schrödinger’s equation written as:F12This formulation includes a term with the potential energy (U). In free space (no potential), this term disappears, and the equation can be re-written as:

∂ψ(x, t)/∂t = i·(1/2)·(ħ/meff)·∇2ψ(x, t)

We just moved the i·ħ coefficient to the other side, noting that 1/i = –i. Now, in one-dimensional space, and assuming ψ is just the elementary wavefunction (so we substitute a·ei∙[E·t − p∙x]/ħ for ψ), this implies the following:

a·i·(E/ħ)·ei∙[E·t − p∙x]/ħ = −i·(ħ/2meffa·(p22 ei∙[E·t − p∙x]/ħ 

⇔ E = p2/(2meff) ⇔ meff = m∙(v/c)2/2 = m∙β2/2

It is an ugly formula: it resembles the kinetic energy formula (K.E. = m∙v2/2) but it is, in fact, something completely different. The β2/2 factor ensures the effective mass is always a fraction of the mass itself. To get rid of the ugly 1/2 factor, we may re-define meff as two times the old meff (hence, meffNEW = 2∙meffOLD), as a result of which the formula will look somewhat better:

meff = m∙(v/c)2 = m∙β2

We know β varies between 0 and 1 and, therefore, meff will vary between 0 and m. Feynman drops the subscript, and just writes meff as m in his textbook (see Feynman, III-19). On the other hand, the electron mass as used is also the electron mass that is used to calculate the size of an atom (see Feynman, III-2-4). As such, the two mass concepts are, effectively, mutually compatible. It is confusing because the same mass is often defined as the mass of a stationary electron (see, for example, the article on it in the online Wikipedia encyclopedia[28]).

In the context of the derivation of the electron orbitals, we do have the potential energy term – which is the equivalent of a source term in a diffusion equation – and that may explain why the above-mentioned meff = m∙(v/c)2 = m∙β2 formula does not apply.

References

This paper discusses general principles in physics only. Hence, references can be limited to references to physics textbooks only. For ease of reading, any reference to additional material has been limited to a more popular undergrad textbook that can be consulted online: Feynman’s Lectures on Physics (http://www.feynmanlectures.caltech.edu). References are per volume, per chapter and per section. For example, Feynman III-19-3 refers to Volume III, Chapter 19, Section 3.

Notes

[1] Of course, an actual particle is localized in space and can, therefore, not be represented by the elementary wavefunction ψ = a·ei∙θa·ei[E·t − px]/ħ = a·(cosθ i·a·sinθ). We must build a wave packet for that: a sum of wavefunctions, each with its own amplitude ak and its own argument θk = (Ek∙t – pkx)/ħ. This is dealt with in this paper as part of the discussion on the mathematical and physical interpretation of the normalization condition.

[2] The N/kg dimension immediately, and naturally, reduces to the dimension of acceleration (m/s2), thereby facilitating a direct interpretation in terms of Newton’s force law.

[3] In physics, a two-spring metaphor is more common. Hence, the pistons in the author’s perpetuum mobile may be replaced by springs.

[4] The author re-derives the equation for the Compton scattering radius in section VII of the paper.

[5] The magnetic force can be analyzed as a relativistic effect (see Feynman II-13-6). The dichotomy between the electric force as a polar vector and the magnetic force as an axial vector disappears in the relativistic four-vector representation of electromagnetism.

[6] For example, when using Schrödinger’s equation in a central field (think of the electron around a proton), the use of polar coordinates is recommended, as it ensures the symmetry of the Hamiltonian under all rotations (see Feynman III-19-3)

[7] This sentiment is usually summed up in the apocryphal quote: “God does not play dice.”The actual quote comes out of one of Einstein’s private letters to Cornelius Lanczos, another scientist who had also emigrated to the US. The full quote is as follows: “You are the only person I know who has the same attitude towards physics as I have: belief in the comprehension of reality through something basically simple and unified… It seems hard to sneak a look at God’s cards. But that He plays dice and uses ‘telepathic’ methods… is something that I cannot believe for a single moment.” (Helen Dukas and Banesh Hoffman, Albert Einstein, the Human Side: New Glimpses from His Archives, 1979)

[8] Of course, both are different velocities: ω is an angular velocity, while v is a linear velocity: ω is measured in radians per second, while v is measured in meter per second. However, the definition of a radian implies radians are measured in distance units. Hence, the physical dimensions are, effectively, the same. As for the formula for the total energy of an oscillator, we should actually write: E = m·a2∙ω2/2. The additional factor (a) is the (maximum) amplitude of the oscillator.

[9] We also have a 1/2 factor in the E = mv2/2 formula. Two remarks may be made here. First, it may be noted this is a non-relativistic formula and, more importantly, incorporates kinetic energy only. Using the Lorentz factor (γ), we can write the relativistically correct formula for the kinetic energy as K.E. = E − E0 = mvc2 − m0c2 = m0γc2 − m0c2 = m0c2(γ − 1). As for the exclusion of the potential energy, we may note that we may choose our reference point for the potential energy such that the kinetic and potential energy mirror each other. The energy concept that then emerges is the one that is used in the context of the Principle of Least Action: it equals E = mv2. Appendix 1 provides some notes on that.

[10] Instead of two cylinders with pistons, one may also think of connecting two springs with a crankshaft.

[11] It is interesting to note that we may look at the energy in the rotating flywheel as potential energy because it is energy that is associated with motion, albeit circular motion. In physics, one may associate a rotating object with kinetic energy using the rotational equivalent of mass and linear velocity, i.e. rotational inertia (I) and angular velocity ω. The kinetic energy of a rotating object is then given by K.E. = (1/2)·I·ω2.

[12] Because of the sideways motion of the connecting rods, the sinusoidal function will describe the linear motion only approximately, but you can easily imagine the idealized limit situation.

[13] The ω2= 1/LC formula gives us the natural or resonant frequency for a electric circuit consisting of a resistor (R), an inductor (L), and a capacitor (C). Writing the formula as ω2= C1/L introduces the concept of elastance, which is the equivalent of the mechanical stiffness (k) of a spring.

[14] The resistance in an electric circuit introduces a damping factor. When analyzing a mechanical spring, one may also want to introduce a drag coefficient. Both are usually defined as a fraction of the inertia, which is the mass for a spring and the inductance for an electric circuit. Hence, we would write the resistance for a spring as γm and as R = γL respectively.

[15] Photons are emitted by atomic oscillators: atoms going from one state (energy level) to another. Feynman (Lectures, I-33-3) shows us how to calculate the Q of these atomic oscillators: it is of the order of 108, which means the wave train will last about 10–8 seconds (to be precise, that is the time it takes for the radiation to die out by a factor 1/e). For example, for sodium light, the radiation will last about 3.2×10–8 seconds (this is the so-called decay time τ). Now, because the frequency of sodium light is some 500 THz (500×1012 oscillations per second), this makes for some 16 million oscillations. There is an interesting paradox here: the speed of light tells us that such wave train will have a length of about 9.6 m! How is that to be reconciled with the pointlike nature of a photon? The paradox can only be explained by relativistic length contraction: in an analysis like this, one need to distinguish the reference frame of the photon – riding along the wave as it is being emitted, so to speak – and our stationary reference frame, which is that of the emitting atom.

[16] This is a general result and is reflected in the K.E. = T = (1/2)·m·ω2·a2·sin2(ω·t + Δ) and the P.E. = U = k·x2/2 = (1/2)· m·ω2·a2·cos2(ω·t + Δ) formulas for the linear oscillator.

[17] Feynman further formalizes this in his Lecture on Superconductivity (Feynman, III-21-2), in which he refers to Schrödinger’s equation as the “equation for continuity of probabilities”. The analysis is centered on the local conservation of energy, which confirms the interpretation of Schrödinger’s equation as an energy diffusion equation.

[18] The meff is the effective mass of the particle, which depends on the medium. For example, an electron traveling in a solid (a transistor, for example) will have a different effective mass than in an atom. In free space, we can drop the subscript and just write meff = m. Appendix 2 provides some additional notes on the concept. As for the equations, they are easily derived from noting that two complex numbers a + i∙b and c + i∙d are equal if, and only if, their real and imaginary parts are the same. Now, the ∂ψ/∂t = i∙(ħ/meff)∙∇2ψ equation amounts to writing something like this: a + i∙b = i∙(c + i∙d). Now, remembering that i2 = −1, you can easily figure out that i∙(c + i∙d) = i∙c + i2∙d = − d + i∙c.

[19] The dimension of B is usually written as N/(m∙A), using the SI unit for current, i.e. the ampere (A). However, 1 C = 1 A∙s and, hence, 1 N/(m∙A) = 1 (N/C)/(m/s).     

[20] Of course, multiplication with i amounts to a counterclockwise rotation. Hence, multiplication by –i also amounts to a rotation by 90 degrees, but clockwise. Now, to uniquely identify the clockwise and counterclockwise directions, we need to establish the equivalent of the right-hand rule for a proper geometric interpretation of Schrödinger’s equation in three-dimensional space: if we look at a clock from the back, then its hand will be moving counterclockwise. When writing B = (1/c)∙iE, we assume we are looking in the negative x-direction. If we are looking in the positive x-direction, we should write: B = -(1/c)∙iE. Of course, Nature does not care about our conventions. Hence, both should give the same results in calculations. We will show in a moment they do.

[21] In fact, when multiplying C2/(N·m2) with N2/C2, we get N/m2, but we can multiply this with 1 = m/m to get the desired result. It is significant that an energy density (joule per unit volume) can also be measured in newton (force per unit area.

[22] The illustration shows a linearly polarized wave, but the obtained result is general.

[23] The sine and cosine are essentially the same functions, except for the difference in the phase: sinθ = cos(θ−π /2).

[24] I must thank a physics blogger for re-writing the 1/(ε0·μ0) = c2 equation like this. See: http://reciprocal.systems/phpBB3/viewtopic.php?t=236 (retrieved on 29 September 2017).

[25] A circularly polarized electromagnetic wave may be analyzed as consisting of two perpendicular electromagnetic plane waves of equal amplitude and 90° difference in phase.

[26] Of course, the reader will now wonder: what about neutrons? How to explain neutron spin? Neutrons are neutral. That is correct, but neutrons are not elementary: they consist of (charged) quarks. Hence, neutron spin can (or should) be explained by the spin of the underlying quarks.

[27] We detailed the mathematical framework and detailed calculations in the following online article: https://readingfeynman.org/2017/09/15/the-principle-of-least-action-re-visited.

[28] https://en.wikipedia.org/wiki/Electron_rest_mass (retrieved on 29 September 2017).

The Imaginary Energy Space

Post scriptum note added on 11 July 2016: This is one of the more speculative posts which led to my e-publication analyzing the wavefunction as an energy propagation. With the benefit of hindsight, I would recommend you to immediately the more recent exposé on the matter that is being presented here, which you can find by clicking on the provided link. In addition, I see the dark force has amused himself by removing some material even here!

Original post:

Intriguing title, isn’t it? You’ll think this is going to be highly speculative and you’re right. In fact, I could also have written: the imaginary action space, or the imaginary momentum space. Whatever. It all works ! It’s an imaginary space – but a very real one, because it holds energy, or momentum, or a combination of both, i.e. action. 🙂

So the title is either going to deter you or, else, encourage you to read on. I hope it’s the latter. 🙂

In my post on Richard Feynman’s exposé on how Schrödinger got his famous wave equation, I noted an ambiguity in how he deals with the energy concept. I wrote that piece in February, and we are now May. In-between, I looked at Schrödinger’s equation from various perspectives, as evidenced from the many posts that followed that February post, which I summarized on my Deep Blue page, where I note the following:

  1. The argument of the wavefunction (i.e. θ = ωt – kx = [E·t – p·x]/ħ) is just the proper time of the object that’s being represented by the wavefunction (which, in most cases, is an elementary particle—an electron, for example).
  2. The 1/2 factor in Schrödinger’s equation (∂ψ/∂t = i·(ħ/2m)·∇2ψ) doesn’t make all that much sense, so we should just drop it. Writing ∂ψ/∂t = i·(m/ħ)∇2ψ (i.e. Schrödinger’s equation without the 1/2 factor) does away with the mentioned ambiguities and, more importantly, avoids obvious contradictions.

Both remarks are rather unusual—especially the second one. In fact, if you’re not shocked by what I wrote above (Schrödinger got something wrong!), then stop reading—because then you’re likely not to understand a thing of what follows. 🙂 In any case, I thought it would be good to follow up by devoting a separate post to this matter.

The argument of the wavefunction as the proper time

Frankly, it took me quite a while to see that the argument of the wavefunction is nothing but the t’ = (t − v∙x)/√(1−v2)] formula that we know from the Lorentz transformation of spacetime. Let me quickly give you the formulas (just substitute the for v):

relativity

In fact, let me be precise: the argument of the wavefunction also has the particle’s rest mass m0 in it. That mass factor (m0) appears in it as a general scaling factor, so it determines the density of the wavefunction both in time as well as in space. Let me jot it down:

ψ(x, t) = a·ei·(mv·t − p∙x) = a·ei·[(m0/√(1−v2))·t − (m0·v/√(1−v2))∙x] = a·ei·m0·(t − v∙x)/√(1−v2)

Huh? Yes. Let me show you how we get from θ = ωt – kx = [E·t – p·x]/ħ to θ = mv·t − p∙x. It’s really easy. We first need to choose our units such that the speed of light and Planck’s constant are numerically equal to one, so we write: = 1 and ħ = 1. So now the 1/ħ factor no longer appears.

[Let me note something here: using natural units does not do away with the dimensions: the dimensions of whatever is there remain what they are. For example, energy remains what it is, and so that’s force over distance: 1 joule = 1 newton·meter (1 J = 1 N·m. Likewise, momentum remains what it is: force times time (or mass times velocity). Finally, the dimension of the quantum of action doesn’t disappear either: it remains the product of force, distance and time (N·m·s). So you should distinguish between the numerical value of our variables and their dimension. Always! That’s where physics is different from algebra: the equations actually mean something!]

Now, because we’re working in natural units, the numerical value of both and cwill be equal to 1. It’s obvious, then, that Einstein’s mass-energy equivalence relation reduces from E = mvc2 to E = mv. You can work out the rest yourself – noting that p = mv·v and mv = m0/√(1−v2). Done! For a more intuitive explanation, I refer you to the above-mentioned page.

So that’s for the wavefunction. Let’s now look at Schrödinger’s wave equation, i.e. that differential equation of which our wavefunction is a solution. In my introduction, I bluntly said there was something wrong with it: that 1/2 factor shouldn’t be there. Why not?

What’s wrong with Schrödinger’s equation?

When deriving his famous equation, Schrödinger uses the mass concept as it appears in the classical kinetic energy formula: K.E. = m·v2/2, and that’s why – after all the complicated turns – that 1/2 factor is there. There are many reasons why that factor doesn’t make sense. Let me sum up a few.

[I] The most important reason is that de Broglie made it quite clear that the energy concept in his equations for the temporal and spatial frequency for the wavefunction – i.e. the ω = E/ħ and k = p/ħ relations – is the total energy, including rest energy (m0), kinetic energy (m·v2/2) and any potential energy (V). In fact, if we just multiply the two de Broglie (aka as matter-wave equations) and use the old-fashioned v = λ relation (so we write E as E = ω·ħ = (2π·f)·(h/2π) = f·h, and p as p = k·ħ = (2π/λ)·(h/2π) = h/λ and, therefore, we have = E/h and p = h/p), we find that the energy concept that’s implicit in the two matter-wave equations is equal to E = m∙v2, as shown below:

  1. f·λ = (E/h)·(h/p) = E/p
  2. v = λ ⇒ f·λ = v = E/p ⇔ E = v·p = v·(m·v) ⇒ E = m·v2

Huh? E = m∙v2? Yes. Not E = m∙c2 or m·v2/2 or whatever else you might be thinking of. In fact, this E = m∙v2 formula makes a lot of sense in light of the two following points.

Skeptical note: You may – and actually should – wonder whether we can use that v = λ relation for a wave like this, i.e. a wave with both a real (cos(-θ)) as well as an imaginary component (i·sin(-θ). It’s a deep question, and I’ll come back to it later. But… Yes. It’s the right question to ask. 😦

[II] Newton told us that force is mass time acceleration. Newton’s law is still valid in Einstein’s world. The only difference between Newton’s and Einstein’s world is that, since Einstein, we should treat the mass factor as a variable as well. We write: F = mv·a = mv·= [m0/√(1−v2)]·a. This formula gives us the definition of the newton as a force unit: 1 N = 1 kg·(m/s)/s = 1 kg·m/s2. [Note that the 1/√(1−v2) factor – i.e. the Lorentz factor (γ) – has no dimension, because is measured as a relative velocity here, i.e. as a fraction between 0 and 1.]

Now, you’ll agree the definition of energy as a force over some distance is valid in Einstein’s world as well. Hence, if 1 joule is 1 N·m, then 1 J is also equal to 1 (kg·m/s2)·m = 1 kg·(m2/s2), so this also reflects the E = m∙v2 concept. [I can hear you mutter: that kg factor refers to the rest mass, no? No. It doesn’t. The kg is just a measure of inertia: as a unit, it applies to both mas well as mv. Full stop.]

Very skeptical note: You will say this doesn’t prove anything – because this argument just shows the dimensional analysis for both equations (i.e. E = m∙v2 and E = m∙c2) is OK. Hmm… Yes. You’re right. 🙂 But the next point will surely convince you! 🙂

[III] The third argument is the most intricate and the most beautiful at the same time—not because it’s simple (like the arguments above) but because it gives us an interpretation of what’s going on here. It’s fairly easy to verify that Schrödinger’s equation, ∂ψ/∂t = i·(ħ/2m)·∇2ψ equation (including the 1/2 factor to which I object), is equivalent to the following set of two equations:

  1. Re(∂ψ/∂t) = −(ħ/2m)·Im(∇2ψ)
  2. Im(∂ψ/∂t) = (ħ/2m)·Re(∇2ψ)

[In case you don’t see it immediately, note that two complex numbers a + i·b and c + i·d are equal if, and only if, their real and imaginary parts are the same. However, here we have something like this: a + i·b = i·(c + i·d) = i·c + i2·d = − d + i·c (remember i= −1).]

Now, before we proceed (i.e. before I show you what’s wrong here with that 1/2 factor), let us look at the dimensions first. For that, we’d better analyze the complete Schrödinger equation so as to make sure we’re not doing anything stupid here by looking at one aspect of the equation only. The complete equation, in its original form, is:

schrodinger 5

Notice that, to simplify the analysis above, I had moved the and the ħ on the left-hand side to the right-hand side (note that 1/= −i, so −(ħ2/2m)/(i·ħ) = ħ/2m). Now, the ħfactor on the right-hand side is expressed in J2·s2. Now that doesn’t make much sense, but then that mass factor in the denominator makes everything come out alright. Indeed, we can use the mass-equivalence relation to express m in J/(m/s)2 units. So our ħ2/2m coefficient is expressed in (J2·s2)/[J/(m/s)2] = J·m2. Now we multiply that by that Laplacian operating on some scalar, which yields some quantity per square meter. So the whole right-hand side becomes some amount expressed in joule, i.e. the unit of energy! Interesting, isn’t it?

On the left-hand side, we have i and ħ. We shouldn’t worry about the imaginary unit because we can treat that as just another number, albeit a very special number (because its square is minus 1). However, in this equation, it’s like a mathematical constant and you can think of it as something like π or e. [Think of the magical formula: eiπ = i2 = −1.] In contrast, ħ is a physical constant, and so that constant comes with some dimension and, therefore, we cannot just do what we want. [I’ll show, later, that even moving it to the other side of the equation comes with interpretation problems, so be careful with physical constants, as they really mean something!] In this case, its dimension is the action dimension: J·s = N·m·s, so that’s force times distance times time. So we multiply that with a time derivative and we get joule once again (N·m·s/s = N·m = J), so that’s the unit of energy. So it works out: we have joule units both left and right in Schrödinger’s equation. Nice! Yes. But what does it mean? 🙂

Well… You know that we can – and should – think of Schrödinger’s equation as a diffusion equation – just like a heat diffusion equation, for example – but then one describing the diffusion of a probability amplitude. [In case you are not familiar with this interpretation, please do check my post on it, or my Deep Blue page.] But then we didn’t describe the mechanism in very much detail, so let me try to do that now and, in the process, finally explain the problem with the 1/2 factor.

The missing energy

There are various ways to explain the problem. One of them involves calculating group and phase velocities of the elementary wavefunction satisfying Schrödinger’s equation but that’s a more complicated approach and I’ve done that elsewhere, so just click the reference if you prefer the more complicated stuff. I find it easier to just use those two equations above:

  1. Re(∂ψ/∂t) = −(ħ/2m)·Im(∇2ψ)
  2. Im(∂ψ/∂t) = (ħ/2m)·Re(∇2ψ)

The argument is the following: if our elementary wavefunction is equal to ei(kx − ωt) = cos(kx−ωt) + i∙sin(kx−ωt), then it’s easy to proof that this pair of conditions is fulfilled if, and only if, ω = k2·(ħ/2m). [Note that I am omitting the normalization coefficient in front of the wavefunction: you can put it back in if you want. The argument here is valid, with or without normalization coefficients.] Easy? Yes. Check it out. The time derivative on the left-hand side is equal to:

∂ψ/∂t = −iω·iei(kx − ωt) = ω·[cos(kx − ωt) + i·sin(kx − ωt)] = ω·cos(kx − ωt) + iω·sin(kx − ωt)

And the second-order derivative on the right-hand side is equal to:

2ψ = ∂2ψ/∂x= i·k2·ei(kx − ωt) = k2·cos(kx − ωt) + i·k2·sin(kx − ωt)

So the two equations above are equivalent to writing:

  1. Re(∂ψB/∂t) =   −(ħ/2m)·Im(∇2ψB) ⇔ ω·cos(kx − ωt) = k2·(ħ/2m)·cos(kx − ωt)
  2. Im(∂ψB/∂t) = (ħ/2m)·Re(∇2ψB) ⇔ ω·sin(kx − ωt) = k2·(ħ/2m)·sin(kx − ωt)

So both conditions are fulfilled if, and only if, ω = k2·(ħ/2m). You’ll say: so what? Well… We have a contradiction here—something that doesn’t make sense. Indeed, the second of the two de Broglie equations (always look at them as a pair) tells us that k = p/ħ, so we can re-write the ω = k2·(ħ/2m) condition as:

ω/k = vp = k2·(ħ/2m)/k = k·ħ/(2m) = (p/ħ)·(ħ/2m) = p/2m ⇔ p = 2m

You’ll say: so what? Well… Stop reading, I’d say. That p = 2m doesn’t make sense—at all! Nope! In fact, if you thought that the E = m·v2  is weird—which, I hope, is no longer the case by now—then… Well… This p = 2m equation is much weirder. In fact, it’s plain nonsense: this condition makes no sense whatsoever. The only way out is to remove the 1/2 factor, and to re-write the Schrödinger equation as I wrote it, i.e. with an ħ/m coefficient only, rather than an (1/2)·(ħ/m) coefficient.

Huh? Yes.

As mentioned above, I could do those group and phase velocity calculations to show you what rubbish that 1/2 factor leads to – and I’ll do that eventually – but let me first find yet another way to present the same paradox. Let’s simplify our life by choosing our units such that = ħ = 1, so we’re using so-called natural units rather than our SI units. [Again, note that switching to natural units doesn’t do anything to the physical dimensions: a force remains a force, a distance remains a distance, and so on.] Our mass-energy equivalence then becomes: E = m·c= m·1= m. [Again, note that switching to natural units doesn’t do anything to the physical dimensions: a force remains a force, a distance remains a distance, and so on. So we’d still measure energy and mass in different but equivalent units. Hence, the equality sign should not make you think mass and energy are actually the same: energy is energy (i.e. force times distance), while mass is mass (i.e. a measure of inertia). I am saying this because it’s important, and because it took me a while to make these rather subtle distinctions.]

Let’s now go one step further and imagine a hypothetical particle with zero rest mass, so m0 = 0. Hence, all its energy is kinetic and so we write: K.E. = mv·v/2. Now, because this particle has zero rest mass, the slightest acceleration will make it travel at the speed of light. In fact, we would expect it to travel at the speed, so mv = mc and, according to the mass-energy equivalence relation, its total energy is, effectively, E = mv = mc. However, we just said its total energy is kinetic energy only. Hence, its total energy must be equal to E = K.E. = mc·c/2 = mc/2. So we’ve got only half the energy we need. Where’s the other half? Where’s the missing energy? Quid est veritas? Is its energy E = mc or E = mc/2?

It’s just a paradox, of course, but one we have to solve. Of course, we may just say we trust Einstein’s E = m·c2 formula more than the kinetic energy formula, but that answer is not very scientific. 🙂 We’ve got a problem here and, in order to solve it, I’ve come to the following conclusion: just because of its sheer existence, our zero-mass particle must have some hidden energy, and that hidden energy is also equal to E = m·c2/2. Hence, the kinetic and the hidden energy add up to E = m·c2 and all is alright.

Huh? Hidden energy? I must be joking, right?

Well… No. Let me explain. Oh. And just in case you wonder why I bother to try to imagine zero-mass particles. Let me tell you: it’s the first step towards finding a wavefunction for a photon and, secondly, you’ll see it just amounts to modeling the propagation mechanism of energy itself. 🙂

The hidden energy as imaginary energy

I am tempted to refer to the missing energy as imaginary energy, because it’s linked to the imaginary part of the wavefunction. However, it’s anything but imaginary: it’s as real as the imaginary part of the wavefunction. [I know that sounds a bit nonsensical, but… Well… Think about it. And read on!]

Back to that factor 1/2. As mentioned above, it also pops up when calculating the group and the phase velocity of the wavefunction. In fact, let me show you that calculation now. [Sorry. Just hang in there.] It goes like this.

The de Broglie relations tell us that the k and the ω in the ei(kx − ωt) = cos(kx−ωt) + i∙sin(kx−ωt) wavefunction (i.e. the spatial and temporal frequency respectively) are equal to k = p/ħ, and ω = E/ħ. Let’s now think of that zero-mass particle once more, so we assume all of its energy is kinetic: no rest energy, no potential! So… If we now use the kinetic energy formula E = m·v2/2 – which we can also write as E = m·v·v/2 = p·v/2 = p·p/2m = p2/2m, with v = p/m the classical velocity of the elementary particle that Louis de Broglie was thinking of – then we can calculate the group velocity of our ei(kx − ωt) = cos(kx−ωt) + i∙sin(kx−ωt) wavefunction as:

vg = ∂ω/∂k = ∂[E/ħ]/∂[p/ħ] = ∂E/∂p = ∂[p2/2m]/∂p = 2p/2m = p/m = v

[Don’t tell me I can’t treat m as a constant when calculating ∂ω/∂k: I can. Think about it.]

Fine. Now the phase velocity. For the phase velocity of our ei(kx − ωt) wavefunction, we find:

vp = ω/k = (E/ħ)/(p/ħ) = E/p = (p2/2m)/p = p/2m = v/2

So that’s only half of v: it’s the 1/2 factor once more! Strange, isn’t it? Why would we get a different value for the phase velocity here? It’s not like we have two different frequencies here, do we? Well… No. You may also note that the phase velocity turns out to be smaller than the group velocity (as mentioned, it’s only half of the group velocity), which is quite exceptional as well! So… Well… What’s the matter here? We’ve got a problem!

What’s going on here? We have only one wave here—one frequency and, hence, only one k and ω. However, on the other hand, it’s also true that the ei(kx − ωt) wavefunction gives us two functions for the price of one—one real and one imaginary: ei(kx − ωt) = cos(kx−ωt) + i∙sin(kx−ωt). So the question here is: are we adding waves, or are we not? It’s a deep question. If we’re adding waves, we may get different group and phase velocities, but if we’re not, then… Well… Then the group and phase velocity of our wave should be the same, right? The answer is: we are and we aren’t. It all depends on what you mean by ‘adding’ waves. I know you don’t like that answer, but that’s the way it is, really. 🙂

Let me make a small digression here that will make you feel even more confused. You know – or you should know – that the sine and the cosine function are the same except for a phase difference of 90 degrees: sinθ = cos(θ + π/2). Now, at the same time, multiplying something with amounts to a rotation by 90 degrees, as shown below.

Hence, in order to sort of visualize what our ei(kx − ωt) function really looks like, we may want to super-impose the two graphs and think of something like this:

vision

You’ll have to admit that, when you see this, our formulas for the group or phase velocity, or our v = λ relation, do no longer make much sense, do they? 🙂

Having said that, that 1/2 factor is and remains puzzling, and there must be some logical reason for it. For example, it also pops up in the Uncertainty Relations:

Δx·Δp ≥ ħ/2 and ΔE·Δt ≥ ħ/2

So we have ħ/2 in both, not ħ. Why do we need to divide the quantum of action here? How do we solve all these paradoxes? It’s easy to see how: the apparent contradiction (i.e. the different group and phase velocity) gets solved if we’d use the E = m∙v2 formula rather than the kinetic energy E = m∙v2/2. But then… What energy formula is the correct one: E = m∙v2 or m∙c2? Einstein’s formula is always right, isn’t it? It must be, so let me postpone the discussion a bit by looking at a limit situation. If v = c, then we don’t need to make a choice, obviously. 🙂 So let’s look at that limit situation first. So we’re discussing our zero-mass particle once again, assuming it travels at the speed of light. What do we get?

Well… Measuring time and distance in natural units, so c = 1, we have:

E = m∙c2 = m and p = m∙c = m, so we get: E = m = p

Waw ! E = m = p ! What a weird combination, isn’t it? Well… Yes. But it’s fully OK. [You tell me why it wouldn’t be OK. It’s true we’re glossing over the dimensions here, but natural units are natural units and, hence, the numerical value of c and c2 is 1. Just figure it out for yourself.] The point to note is that the E = m = p equality yields extremely simple but also very sensible results. For the group velocity of our ei(kx − ωt) wavefunction, we get:

vg = ∂ω/∂k = ∂[E/ħ]/∂[p/ħ] = ∂E/∂p = ∂p/∂p = 1

So that’s the velocity of our zero-mass particle (remember: the 1 stands for c here, i.e. the speed of light) expressed in natural units once more—just like what we found before. For the phase velocity, we get:

vp = ω/k = (E/ħ)/(p/ħ) = E/p = p/p = 1

Same result! No factor 1/2 here! Isn’t that great? My ‘hidden energy theory’ makes a lot of sense.:-)

However, if there’s hidden energy, we still need to show where it’s hidden. 🙂 Now that question is linked to the propagation mechanism that’s described by those two equations, which now – leaving the 1/2 factor out, simplify to:

  1. Re(∂ψ/∂t) = −(ħ/m)·Im(∇2ψ)
  2. Im(∂ψ/∂t) = (ħ/m)·Re(∇2ψ)

Propagation mechanism? Yes. That’s what we’re talking about here: the propagation mechanism of energy. Huh? Yes. Let me explain in another separate section, so as to improve readability. Before I do, however, let me add another note—for the skeptics among you. 🙂

Indeed, the skeptics among you may wonder whether our zero-mass particle wavefunction makes any sense at all, and they should do so for the following reason: if x = 0 at t = 0, and it’s traveling at the speed of light, then x(t) = t. Always. So if E = m = p, the argument of our wavefunction becomes E·t – p·x = E·t – E·t = 0! So what’s that? The proper time of our zero-mass particle is zero—always and everywhere!?

Well… Yes. That’s why our zero-mass particle – as a point-like object – does not really exist. What we’re talking about is energy itself, and its propagation mechanism. 🙂

While I am sure that, by now, you’re very tired of my rambling, I beg you to read on. Frankly, if you got as far as you have, then you should really be able to work yourself through the rest of this post. 🙂 And I am sure that – if anything – you’ll find it stimulating! 🙂

The imaginary energy space

Look at the propagation mechanism for the electromagnetic wave in free space, which (for = 1) is represented by the following two equations:

  1. B/∂t = –∇×E
  2. E/∂t = ∇×B

[In case you wonder, these are Maxwell’s equations for free space, so we have no stationary nor moving charges around.] See how similar this is to the two equations above? In fact, in my Deep Blue page, I use these two equations to derive the quantum-mechanical wavefunction for the photon (which is not the same as that hypothetical zero-mass particle I introduced above), but I won’t bother you with that here. Just note the so-called curl operator in the two equations above (∇×) can be related to the Laplacian we’ve used so far (∇2). It’s not the same thing, though: for starters, the curl operator operates on a vector quantity, while the Laplacian operates on a scalar (including complex scalars). But don’t get distracted now. Let’s look at the revised Schrödinger’s equation, i.e. the one without the 1/2 factor:

∂ψ/∂t = i·(ħ/m)·∇2ψ

On the left-hand side, we have a time derivative, so that’s a flow per second. On the right-hand side we have the Laplacian and the i·ħ/m factor. Now, written like this, Schrödinger’s equation really looks exactly the same as the general diffusion equation, which is written as: ∂φ/∂t = D·∇2φ, except for the imaginary unit, which makes it clear we’re getting two equations for the price of one here, rather than one only! 🙂 The point is: we may now look at that ħ/m factor as a diffusion constant, because it does exactly the same thing as the diffusion constant D in the diffusion equation ∂φ/∂t = D·∇2φ, i.e:

  1. As a constant of proportionality, it quantifies the relationship between both derivatives.
  2. As a physical constant, it ensures the dimensions on both sides of the equation are compatible.

So the diffusion constant for  Schrödinger’s equation is ħ/m. What is its dimension? That’s easy: (N·m·s)/(N·s2/m) = m2/s. [Remember: 1 N = 1 kg·m/s2.] But then we multiply it with the Laplacian, so that’s something expressed per square meter, so we get something per second on both sides.

Of course, you wonder: what per second? Not sure. That’s hard to say. Let’s continue with our analogy with the heat diffusion equation so as to try to get a better understanding of what’s being written here. Let me give you that heat diffusion equation here. Assuming the heat per unit volume (q) is proportional to the temperature (T) – which is the case when expressing T in degrees Kelvin (K), so we can write q as q = k·T  – we can write it as:

heat diffusion 2

So that’s structurally similar to Schrödinger’s equation, and to the two equivalent equations we jotted down above. So we’ve got T (temperature) in the role of ψ here—or, to be precise, in the role of ψ ‘s real and imaginary part respectively. So what’s temperature? From the kinetic theory of gases, we know that temperature is not just a scalar: temperature measures the mean (kinetic) energy of the molecules in the gas. That’s why we can confidently state that the heat diffusion equation models an energy flow, both in space as well as in time.

Let me make the point by doing the dimensional analysis for that heat diffusion equation. The time derivative on the left-hand side (∂T/∂t) is expressed in K/s (Kelvin per second). Weird, isn’t it? What’s a Kelvin per second? Well… Think of a Kelvin as some very small amount of energy in some equally small amount of space—think of the space that one molecule needs, and its (mean) energy—and then it all makes sense, doesn’t it?

However, in case you find that a bit difficult, just work out the dimensions of all the other constants and variables. The constant in front (k) makes sense of it. That coefficient (k) is the (volume) heat capacity of the substance, which is expressed in J/(m3·K). So the dimension of the whole thing on the left-hand side (k·∂T/∂t) is J/(m3·s), so that’s energy (J) per cubic meter (m3) and per second (s). Nice, isn’t it? What about the right-hand side? On the right-hand side we have the Laplacian operator  – i.e. ∇= ·, with ∇ = (∂/∂x,  ∂/∂y,  ∂/∂z) – operating on T. The Laplacian operator, when operating on a scalar quantity, gives us a flux density, i.e. something expressed per square meter (1/m2). In this case, it’s operating on T, so the dimension of ∇2T is K/m2. Again, that doesn’t tell us very much (what’s the meaning of a Kelvin per square meter?) but we multiply it by the thermal conductivity (κ), whose dimension is W/(m·K) = J/(m·s·K). Hence, the dimension of the product is  the same as the left-hand side: J/(m3·s). So that’s OK again, as energy (J) per cubic meter (m3) and per second (s) is definitely something we can associate with an energy flow.

In fact, we can play with this. We can bring k from the left- to the right-hand side of the equation, for example. The dimension of κ/k is m2/s (check it!), and multiplying that by K/m(i.e. the dimension of ∇2T) gives us some quantity expressed in Kelvin per second, and so that’s the same dimension as that of ∂T/∂t. Done! 

In fact, we’ve got two different ways of writing Schrödinger’s diffusion equation. We can write it as ∂ψ/∂t = i·(ħ/m)·∇2ψ or, else, we can write it as ħ·∂ψ/∂t = i·(ħ2/m)·∇2ψ. Does it matter? I don’t think it does. The dimensions come out OK in both cases. However, interestingly, if we do a dimensional analysis of the ħ·∂ψ/∂t = i·(ħ2/m)·∇2ψ equation, we get joule on both sides. Interesting, isn’t it? The key question, of course, is: what is it that is flowing here?

I don’t have a very convincing answer to that, but the answer I have is interesting—I think. 🙂 Think of the following: we can multiply Schrödinger’s equation with whatever we want, and then we get all kinds of flows. For example, if we multiply both sides with 1/(m2·s) or 1/(m3·s), we get a equation expressing the energy conservation law, indeed! [And you may want to think about the minus sign of the  right-hand side of Schrödinger’s equation now, because it makes much more sense now!]

We could also multiply both sides with s, so then we get J·s on both sides, i.e. the dimension of physical action (J·s = N·m·s). So then the equation expresses the conservation of actionHuh? Yes. Let me re-phrase that: then it expresses the conservation of angular momentum—as you’ll surely remember that the dimension of action and angular momentum are the same. 🙂

And then we can divide both sides by m, so then we get N·s on both sides, so that’s momentum. So then Schrödinger’s equation embodies the momentum conservation law.

Isn’t it just wonderfulSchrödinger’s equation packs all of the conservation laws!:-) The only catch is that it flows back and forth from the real to the imaginary space, using that propagation mechanism as described in those two equations.

Now that is really interesting, because it does provide an explanation – as fuzzy as it may seem – for all those weird concepts one encounters when studying physics, such as the tunneling effect, which amounts to energy flowing from the imaginary space to the real space and, then, inevitably, flowing back. It also allows for borrowing time from the imaginary space. Hmm… Interesting! [I know I still need to make these points much more formally, but… Well… You kinda get what I mean, don’t you?]

To conclude, let me re-baptize my real and imaginary ‘space’ by referring to them to what they really are: a real and imaginary energy space respectively. Although… Now that I think of it: it could also be real and imaginary momentum space, or a real and imaginary action space. Hmm… The latter term may be the best. 🙂

Isn’t this all great? I mean… I could go on and on—but I’ll stop here, so you can freewheel around yourself. For  example, you may wonder how similar that energy propagation mechanism actually is as compared to the propagation mechanism of the electromagnetic wave? The answer is: very similar. You can check how similar in one of my posts on the photon wavefunction or, if you’d want a more general argument, check my Deep Blue page. Have fun exploring! 🙂

So… Well… That’s it, folks. I hope you enjoyed this post—if only because I really enjoyed writing it. 🙂

[…]

OK. You’re right. I still haven’t answered the fundamental question.

So what about  the 1/2 factor?

What about that 1/2 factor? Did Schrödinger miss it? Well… Think about it for yourself. First, I’d encourage you to further explore that weird graph with the real and imaginary part of the wavefunction. I copied it below, but with an added 45º line—yes, the green diagonal. To make it somewhat more real, imagine you’re the zero-mass point-like particle moving along that line, and we observe you from our inertial frame of reference, using equivalent time and distance units.

spacetime travel

So we’ve got that cosine (cosθ) varying as you travel, and we’ve also got the i·sinθ part of the wavefunction going while you’re zipping through spacetime. Now, THINK of it: the phase velocity of the cosine bit (i.e. the red graph) contributes as much to your lightning speed as the i·sinθ bit, doesn’t it? Should we apply Pythagoras’ basic r2 = x2 + yTheorem here? Yes: the velocity vector along the green diagonal is going to be the sum of the velocity vectors along the horizontal and vertical axes. So… That’s great.

Yes. It is. However, we still have a problem here: it’s the velocity vectors that add up—not their magnitudes. Indeed, if we denote the velocity vector along the green diagonal as u, then we can calculate its magnitude as:

u = √u2 = √[(v/2)2 + (v/2)2] = √[2·(v2/4) = √[v2/2] = v/√2 ≈ 0.7·v

So, as mentioned, we’re adding the vectors, but not their magnitudes. We’re somewhat better off than we were in terms of showing that the phase velocity of those sine and cosine velocities add up—somehow, that is—but… Well… We’re not quite there.

Fortunately, Einstein saves us once again. Remember we’re actually transforming our reference frame when working with the wavefunction? Well… Look at the diagram below (for which I  thank the author)

special relativity

In fact, let me insert an animated illustration, which shows what happens when the velocity goes up and down from (close to) −c to +c and back again.  It’s beautiful, and I must credit the author here too. It sort of speaks for itself, but please do click the link as the accompanying text is quite illuminating. 🙂

Animated_Lorentz_Transformation

The point is: for our zero-mass particle, the x’ and t’ axis will rotate into the diagonal itself which, as I mentioned a couple of times already, represents the speed of light and, therefore, our zero-mass particle traveling at c. It’s obvious that we’re now adding two vectors that point in the same direction and, hence, their magnitudes just add without any square root factor. So, instead of u = √[(v/2)2 + (v/2)2], we just have v/2 + v/2 = v! Done! We solved the phase velocity paradox! 🙂

So… I still haven’t answered that question. Should that 1/2 factor in Schrödinger’s equation be there or not? The answer is, obviously: yes. It should be there. And as for Schrödinger using the mass concept as it appears in the classical kinetic energy formula: K.E. = m·v2/2… Well… What other mass concept would he use? I probably got a bit confused with Feynman’s exposé – especially this notion of ‘choosing the zero point for the energy’ – but then I should probably just re-visit the thing and adjust the language here and there. But the formula is correct.

Thinking it all through, the ħ/2m constant in Schrödinger’s equation should be thought of as the reciprocal of m/(ħ/2). So what we’re doing basically is measuring the mass of our object in units of ħ/2, rather than units of ħ. That makes perfect sense, if only because it’s ħ/2, rather than ħthe factor that appears in the Uncertainty Relations Δx·Δp ≥ ħ/2 and ΔE·Δt ≥ ħ/2. In fact, in my post on the wavefunction of the zero-mass particle, I noted its elementary wavefunction should use the m = E = p = ħ/2 values, so it becomes ψ(x, t) = a·ei∙[(ħ/2)∙t − (ħ/2)∙x]/ħ = a·ei∙[t − x]/2.

Isn’t that just nice? 🙂 I need to stop here, however, because it looks like this post is becoming a book. Oh—and note that nothing what I wrote above discredits my ‘hidden energy’ theory. On the contrary, it confirms it. In fact, the nice thing about those illustrations above is that it associates the imaginary component of our wavefunction with travel in time, while the real component is associated with travel in space. That makes our theory quite complete: the ‘hidden’ energy is the energy that moves time forward. The only thing I need to do is to connect it to that idea of action expressing itself in time or in space, cf. what I wrote on my Deep Blue page: we can look at the dimension of Planck’s constant, or at the concept of action in general, in two very different ways—from two different perspectives, so to speak:

  1. [Planck’s constant] = [action] = N∙m∙s = (N∙m)∙s = [energy]∙[time]
  2. [Planck’s constant] = [action] = N∙m∙s = (N∙s)∙m = [momentum]∙[distance]

Hmm… I need to combine that with the idea of the quantum vacuum, i.e. the mathematical space that’s associated with time and distance becoming countable variables…. In any case. Next time. 🙂

Before I sign off, however, let’s quickly check if our a·ei∙[t − x]/2 wavefunction solves the Schrödinger equation:

  • ∂ψ/∂t = −a·ei∙[t − x]/2·(i/2)
  • 2ψ = ∂2[a·ei∙[t − x]/2]/∂x=  ∂[a·ei∙[t − x]/2·(i/2)]/∂x = −a·ei∙[t − x]/2·(1/4)

So the ∂ψ/∂t = i·(ħ/2m)·∇2ψ equation becomes:

a·ei∙[t − x]/2·(i/2) = −i·(ħ/[2·(ħ/2)])·a·ei∙[t − x]/2·(1/4)

⇔ 1/2 = 1/4 !?

The damn 1/2 factor. Schrödinger wants it in his wave equation, but not in the wavefunction—apparently! So what if we take the m = E = p = ħ solution? We get:

  • ∂ψ/∂t = −a·i·ei∙[t − x]
  • 2ψ = ∂2[a·ei∙[t − x]]/∂x=  ∂[a·i·ei∙[t − x]]/∂x = −a·ei∙[t − x]

So the ∂ψ/∂t = i·(ħ/2m)·∇2ψ equation now becomes:

a·i·ei∙[t − x] = −i·(ħ/[2·ħ])·a·ei∙[t − x]

⇔ 1 = 1/2 !?

We’re still in trouble! So… Was Schrödinger wrong after all? There’s no difficulty whatsoever with the ∂ψ/∂t = i·(ħ/m)·∇2ψ equation:

  • a·ei∙[t − x]/2·(i/2) = −i·[ħ/(ħ/2)]·a·ei∙[t − x]/2·(1/4) ⇔ 1 = 1
  • a·i·ei∙[t − x] = −i·(ħ/ħ)·a·ei∙[t − x] ⇔ 1 = 1

What these equations might tell us is that we should measure mass, energy and momentum in terms of ħ (and not in terms of ħ/2) but that the fundamental uncertainty is ± ħ/2. That solves it all. So the magnitude of the uncertainty is ħ but it separates not 0 and ± 1, but −ħ/2 and −ħ/2. Or, more generally, the following series:

…, −7ħ/2, −5ħ/2, −3ħ/2, −ħ/2, +ħ/2, +3ħ/2,+5ħ/2, +7ħ/2,…

Why are we not surprised? The series represent the energy values that a spin one-half particle can possibly have, and ordinary matter – i.e. all fermions – is composed of spin one-half particles.

To  conclude this post, let’s see if we can get any indication on the energy concepts that Schrödinger’s revised wave equation implies. We’ll do so by just calculating the derivatives in the ∂ψ/∂t = i·(ħ/m)·∇2ψ equation (i.e. the equation without the 1/2 factor). Let’s also not assume we’re measuring stuff in natural units, so our wavefunction is just what it is: a·ei·[E·t − p∙x]/ħ. The derivatives now become:

  • ∂ψ/∂t = −a·i·(E/ħ)·ei∙[E·t − p∙x]/ħ
  • 2ψ = ∂2[a·ei∙[E·t − p∙x]/ħ]/∂x=  ∂[a·i·(p/ħ)·ei∙[E·t − p∙x]/ħ]/∂x = −a·(p22ei∙[E·t − p∙x]/ħ

So the ∂ψ/∂t = i·(ħ/m)·∇2ψ = i·(1/m)·∇2ψ equation now becomes:

a·i·(E/ħ)·ei∙[E·t − p∙x]/ħ = −i·(ħ/m)·a·(p22ei∙[E·t − p∙x]/ħ  ⇔ E = p2/m = m·v2

It all works like a charm. Note that we do not assume stuff like E = m = p here. It’s all quite general. Also note that the E = p2/m closely resembles the kinetic energy formula one often sees: K.E. = m·v2/2 = m·m·v2/(2m) = p2/(2m). We just don’t have the 1/2 factor in our E = p2/m formula, which is great—because we don’t want it! :-) Of course, if you’d add the 1/2 factor in Schrödinger’s equation again, you’d get it back in your energy formula, which would just be that old kinetic energy formula which gave us all these contradictions and ambiguities. 😦

Finally, and just to make sure: let me add that, when we wrote that E = m = p – like we did above – we mean their numerical values are the same. Their dimensions remain what they are, of course. Just to make sure you get that subtle point, we’ll do a quick dimensional analysis of that E = p2/m formula:

[E] = [p2/m] ⇔ N·m = N2·s2/kg = N2·s2/[N·m/s2] = N·m = joule (J)

So… Well… It’s all perfect. 🙂

Post scriptum: I revised my Deep Blue page after writing this post, and I think that a number of the ideas that I express above are presented more consistently and coherently there. In any case, the missing energy theory makes sense. Think of it: any oscillator involves both kinetic as well as potential energy, and they both add up to twice the average kinetic (or potential) energy. So why not here? When everything is said and done, our elementary wavefunction does describe an oscillator. 🙂

Some content on this page was disabled on June 16, 2020 as a result of a DMCA takedown notice from The California Institute of Technology. You can learn more about the DMCA here:

https://wordpress.com/support/copyright-and-the-dmca/

N-state systems

Pre-script (dated 26 June 2020): This post got mutilated by the removal of some material by the dark force. You should be able to follow the main story line, however. If anything, the lack of illustrations might actually help you to think things through for yourself. In any case, we now have different views on these concepts as part of our realist interpretation of quantum mechanics, so we recommend you read our recent papers instead of these old blog posts.

Original post:

On the 10th of December, last year, I wrote that my next post would generalize the results we got for two-state systems. That didn’t happen: I didn’t write the ‘next post’—not till now, that is. No. Instead, I started digging—as you can see from all the posts in-between this one and the 10 December piece. And you may also want to take a look at my new Essentials page. 🙂 In any case, it is now time to get back to Feynman’s Lectures on quantum mechanics. Remember where we are: halfway, really. The first half was all about stuff that doesn’t move in space. The second half, i.e. all that we’re going to study now, is about… Well… You guessed it. 🙂 That’s going to be about stuff that does move in space. To see how that works, we first need to generalize the two-state model to an N-state model. Let’s do it.

You’ll remember that, in quantum mechanics, we describe stuff by saying it’s in some state which, as long as we don’t measure in what state exactly, is written as some linear combination of a set of base states. [And please do think about what I highlight here: some state, measureexactly. It all matters. Think about it!] The coefficients in that linear combination are complex-valued functions, which we referred to as wavefunctions, or (probability) amplitudes. To make a long story short, we wrote:

eq1

These Ci coefficients are a shorthand for 〈 i | ψ(t) 〉 amplitudes. As such, they give us the amplitude of the system to be in state i as a function of time. Their dynamics (i.e. the way they evolve in time) are governed by the Hamiltonian equations, i.e.:

Eq2

The Hij coefficients in this set of equations are organized in the Hamiltonian matrix, which Feynman refers to as the energy matrix, because these coefficients do represent energies indeed. So we applied all of this to two-state systems and, hence, things should not be too hard now, because it’s all the same, except that we have N base states now, instead of just two.

So we have a N×N matrix whose diagonal elements Hij are real numbers. The non-diagonal elements may be complex numbers but, if they are, the following rule applies: Hij* = Hji. [In case you wonder: that’s got to do with the fact that we can write any final 〈χ| or 〈φ| state as the conjugate transpose of the initial |χ〉 or |φ〉 state, so we can write: 〈χ| = |χ〉*, or 〈φ| = |φ〉*.]

As usual, the trick is to find those N Ci(t) functions: we do so by solving that set of N equations, assuming we know those Hamiltonian coefficients. [As you may suspect, the real challenge is to determine the Hamiltonian, which we assume to be given here. But… Well… You first need to learn how to model stuff. Once you get your degree, you’ll be paid to actually solve problems using those models. 🙂 ] We know the complex exponential is a functional form that usually does that trick. Hence, generalizing the results from our analysis of two-state systems once more, the following general solution is suggested:

Ci(t) = ai·ei·(E/ħ)·t 

Note that we introduce only one E variable here, but N ai coefficients, which may be real- or complex-valued. Indeed, my examples – see my previous posts – often involved real coefficients, but that’s not necessarily the case. Think of the C2(t) = i·e(i/ħ)·E0·t·sin[(A/ħ)·t] function describing one of the two base state amplitudes for the ammonia molecule—for example. 🙂

Now, that proposed general solution allows us to calculate the derivatives in our Hamiltonian equations (i.e. the d[Ci(t)]/dt functions) as follows:

d[Ci(t)]/dt = −i·(E/ħ)·ai·ei·(E/ħ)·t 

You can now double-check that the set of equations reduces to the following:

Eq4

Please do write it out: because we have one E only, the ei·(E/ħ)·t factor is common to all terms, and so we can cancel it. The other stuff is plain arithmetic: i·i = i2 = 1, and the ħ constants cancel out too. So there we are: we’ve got a very simple set of N equations here, with N unknowns (i.e. these a1, a2,…, aN coefficients, to be specific). We can re-write this system as:

Eq5

The δij here is the Kronecker delta, of course (it’s one for i = j and zero for j), and we are now looking at a homogeneous system of equations here, i.e. a set of linear equations in which all the constant terms are zero. You should remember it from your high school math course. To be specific, you’d write it as Ax = 0, with A the coefficient matrix. The trivial solution is the zero solution, of course: all a1, a2,…, aN coefficients are zero. But we don’t want the trivial solution. Now, as Feynman points out – tongue-in-cheek, really – we actually have to be lucky to have a non-trivial solution. Indeed, you may or may not remember that the zero solution was actually the only solution if the determinant of the coefficient matrix was not equal to zero. So we only had a non-trivial solution if the determinant of A was equal to zero, i.e. if Det[A] = 0. So A has to be some so-called singular matrix. You’ll also remember that, in that case, we got an infinite number of solutions, to which we could apply the so-called superposition principle: if x and y are two solutions to the homogeneous set of equations Ax = 0, then any linear combination of x and y is also a solution. I wrote an addendum to this post (just scroll down and you’ll find it), which explains what systems of linear equations are all about, so I’ll refer you to that in case you’d need more detail here. I need to continue our story here. The bottom line is: the [Hij–δijE] matrix needs to be singular for the system to have meaningful solutions, so we will only have a non-trivial solution for those values of E for which

Det[Hij–δijE] = 0

Let’s spell it out. The condition above is the same as writing:

Eq7

So far, so good. What’s next? Well… The formula for the determinant is the following:

det physicists

That looks like a monster, and it is, but, in essence, what we’ve got here is an expression for the determinant in terms of the permutations of the matrix elements. This is not a math course so I’ll just refer you Wikipedia for a detailed explanation of this formula for the determinant. The bottom line is: if we write it all out, then Det[Hij–δijE] is just an Nth order polynomial in E. In other words: it’s just a sum of products with powers of E up to EN, and so our Det[Hij–δijE] = 0 condition amounts to equating it with zero.

In general, we’ll have N roots, but – sorry you need to remember so much from your high school math classes here – some of them may be multiple roots (i.e. two or more roots may be equal). We’ll call those roots—you guessed it:

EI, EII,…, En,…, EN

Note I am following Feynman’s exposé, and so he uses n, rather than k, to denote the nth Roman numeral (as opposed to Latin numerals). Now, I know your brain is near the melting point… But… Well… We’re not done yet. Just hang on. For each of these values E = EI, EII,…, En,…, EN, we have an associated set of solutions ai. As Feynman puts it: you get a set which belongs to En. In order to not forget that, for each En, we’re talking a set of N coefficients ai (= 1, 2,…, N), we denote that set not by ai(n) but by ai(n). So that’s why we use boldface for our index n: it’s special—and not only because it denotes a Roman numeral! It’s just one of Feynman’s many meaningful conventions.

Now remember that Ci(t) = ai·ei·(E/ħ)·t formula. For each set of ai(n) coefficients, we’ll have a set of Ci(n) functions which, naturally, we can write as:

Ci(n) = ai(nei·(En/ħ)·t

So far, so good. We have N ai(n) coefficients and N Ci(n) functions. That’s easy enough to understand. Now we’ll define also define a set of N new vectors,  which we’ll write as |n〉, and which we’ll refer to as the state vectors that describe the configuration of the definite energy states En (n = I, II,… N). [Just breathe right now: I’ll (try to) explain this in a moment.] Moreover, we’ll write our set of coefficients ai(n) as 〈i|n〉. Again, the boldface n reminds us we’re talking a set of N complex numbers here. So we re-write that set of N Ci(n) functions as follows:

Ci(n) = 〈i|n〉·ei·(En/ħ)·t

We can expand this as follows:

Ci(n) = 〈 i | ψn(t) 〉 = 〈 i | 〉·ei·(En/ħ)·t

which, of course, implies that:

| ψn(t) 〉 = |n〉·ei·(En/ħ)·t

So now you may understand Feynman’s description of those |n〉 vectors somewhat better. As he puts it:

“The |n〉 vectors – of which there are N – are the state vectors that describe the configuration of the definite energy states En (n = I, II,… N), but have the time dependence factored out.”

Hmm… I know. This stuff is hard to swallow, but we’re not done yet: if your brain hasn’t melted yet, it may do so now. You’ll remember we talked about eigenvalues and eigenvectors in our post on the math behind the quantum-mechanical model of our ammonia molecule. Well… We can generalize the results we got there:

  1. The energies EI, EII,…, En,…, EN are the eigenvalues of the Hamiltonian matrix H.
  2. The state vectors |n〉 that are associated with each energy En, i.e. the set of vectors |n〉, are the corresponding eigenstates.

So… Well… That’s it! We’re done! This is all there is to it. I know it’s a lot but… Well… We’ve got a general description of N-state systems here, and so that’s great!

Let me make some concluding remarks though.

First, note the following property: if we let the Hamiltonian matrix act on one of those state vectors |n〉, the result is just En times the same state. We write:

Eq-12

We’re writing nothing new here really: it’s just a consequence of the definition of eigenstates and eigenvalues. The more interesting thing is the following. When describing our two-state systems, we saw we could use the states that we associated with the Eand EII as a new base set. The same is true for N-state systems: the state vectors |n〉 can also be used as a base set. Of course, for that to be the case, all of the states must be orthogonal, meaning that for any two of them, say |n〉 and |m〉, the following equation must hold:

n|m〉 = 0

Feynman shows this will be true automatically if all the energies are different. If they’re not – i.e. if our polynomial in E would accidentally have two (or more) roots with the same energy – then things are more complicated. However, as Feynman points out, this problem can be solved by ‘cooking up’ two new states that do have the same energy but are also orthogonal. I’ll refer you to him for the detail, as well as for the proof of that 〈n|m〉 = 0 equation.

Finally, you should also note that – because of the homogeneity principle – it’s possible to multiply the N ai(n) coefficients by a suitable factor so that all the states are normalized, by which we mean:

n|n〉 = 1

Well… We’re done! For today, at least! 🙂

Addendum on Systems of Linear Equations

It’s probably good to briefly remind you of your high school math class on systems of linear equations. First note the difference between homogeneous and non-homogeneous equations. Non-homogeneous equations have a non-zero constant term. The following three equations are an example of a non-homogeneous set of equations:

  • 3x + 2y − z = 1
  • 2x − 2y + 4z = −2
  • −x + y/2 − z = 0

We have a point solution here: (x, y, z) = (1, −2, −2). The geometry of the situation is something like this:

Secretsharing_3-point

One of the equations may be a linear combination of the two others. In that case, that equation can be removed without affecting the solution set. For the three-dimensional case, we get a line solution, as illustrated below.  Intersecting_Planes_2

Homogeneous and non-homogeneous sets of linear equations are closely related. If we write a homogeneous set as Ax = 0, then a non-homogeneous set of equations can be written as Ax = b. They are related. More in particular, the solution set for Ax = b is going to be a translation of the solution set for Ax = 0. We can write that more formally as follows:

If p is any specific solution to the linear system Ax = b, then the entire solution set can be described as {p + v|v is any solution to Ax = 0}

The solution set for a homogeneous system is a linear subspace. In the example above, which had three variables and, hence, for which the vector space was three-dimensional, there were three possibilities: a point, line or plane solution. All are (linear) subspaces—although you’d want to drop the term ‘linear’ for the point solution, of course. 🙂 Formally, a subspace is defined as follows: if V is a vector space, then W is a subspace if and only if:

  1. The zero vector (i.e. 0) is in W.
  2. If x is an element of W, then any scalar multiple ax will be an element of W too (this is often referred to as the property of homogeneity).
  3. If x and y are elements of W, then the sum of x and y (i.e. x + y) will be an element of W too (this is referred to as the property of additivity).

As you can see, the superposition principle actually combines the properties of homogeneity and additivity: if x and y are solutions, then any linear combination of them will be a solution too.

The solution set for a non-homogeneous system of equations is referred to as a flat. It’s a subset too, so it’s like a subspace, except that it need not pass through the origin. Again, the flats in two-dimensional space are points and lines, while in three-dimensional space we have points, lines and planes. In general, we’ll have flats, and subspaces, of every dimension from 0 to n−1 in n-dimensional space.

OK. That’s clear enough, but what is all that talk about eigenstates and eigenvalues about? Mathematically, we define eigenvectors, aka as characteristic vectors, as follows:

  • The non-zero vector v is an eigenvector of a square matrix A if Av is a scalar multiple of v, i.e. Av = λv.
  • The associated scalar λ is known as the eigenvalue (or characteristic value) associated with the eigenvector v.

Now, in physics, we talk states, rather than vectors—although our states are vectors, of course. So we’ll call them eigenstates, rather than eigenvectors. But the principle is the same, really. Now, I won’t copy what you can find elsewhere—especially not in an addendum to a post, like this one. So let me just refer you elswhere. Paul’s Online Math Notes, for example, are quite good on this—especially in the context of solving a set of differential equations, which is what we are doing here. And you can also find a more general treatment in the Wikipedia article on eigenvalues and eigenstates which, while being general, highlights their particular use in quantum math.

Some content on this page was disabled on June 20, 2020 as a result of a DMCA takedown notice from Michael A. Gottlieb, Rudolf Pfeiffer, and The California Institute of Technology. You can learn more about the DMCA here:

https://wordpress.com/support/copyright-and-the-dmca/
Some content on this page was disabled on June 20, 2020 as a result of a DMCA takedown notice from Michael A. Gottlieb, Rudolf Pfeiffer, and The California Institute of Technology. You can learn more about the DMCA here:

https://wordpress.com/support/copyright-and-the-dmca/
Some content on this page was disabled on June 20, 2020 as a result of a DMCA takedown notice from Michael A. Gottlieb, Rudolf Pfeiffer, and The California Institute of Technology. You can learn more about the DMCA here:

https://wordpress.com/support/copyright-and-the-dmca/
Some content on this page was disabled on June 20, 2020 as a result of a DMCA takedown notice from Michael A. Gottlieb, Rudolf Pfeiffer, and The California Institute of Technology. You can learn more about the DMCA here:

https://wordpress.com/support/copyright-and-the-dmca/
Some content on this page was disabled on June 20, 2020 as a result of a DMCA takedown notice from Michael A. Gottlieb, Rudolf Pfeiffer, and The California Institute of Technology. You can learn more about the DMCA here:

https://wordpress.com/support/copyright-and-the-dmca/