Pre-scriptum (dated 26 June 2020): These posts on elementary math and physics have not suffered much the attack by the dark force—which is good because I still like them. While my views on the true nature of light, matter and the force or forces that act on them have evolved significantly as part of my explorations of a more realist (classical) explanation of quantum mechanics, I think most (if not all) of the analysis in this post remains valid and fun to read. In fact, I find the simplest stuff is often the best. 🙂
Original post:
I ended my previous post, on Music and Physics, by emphatically making the point that music is all about structure, about mathematical relations. Let me summarize the basics:
1. The octave is the musical unit, defined as the interval between two pitches with the higher frequency being twice the frequency of the lower pitch. Let’s denote the lower and higher pitch by a and b respectively, so we say that b‘s frequency is twice that of a.
2. We then divide the [a, b] interval (whose length is unity) in twelve equal sub-intervals, which define eleven notes in-between a and b. The pitch of the notes in-between is defined by the exponential function connecting a and b. What exponential function? The exponential function with base 2, so that’s the function y = 2x.
Why base 2? Because of the doubling of the frequencies when going from a to b, and when going from b to b + 1, and from b + 1 to b + 2, etcetera. In music, we give a, b, b + 1, b + 2, etcetera the same name, or symbol: A, for example. Or Do. Or C. Or Re. Whatever. If we have the unit and the number of sub-intervals, all the rest follows. We just add a number to distinguish the various As, or Cs, or Gs, so we write A1, A2, etcetera. Or C1, C2, etcetera. The graph below illustrates the principle for the interval between C4 and C5. Don’t think the function is linear. It’s exponential: note the logarithmic frequency scale. To make the point, I also inserted another illustration (credit for that graph goes to another blogger).
You’ll wonder: why twelve sub-intervals? Well… That’s random. Non-Western cultures use a different number. Eight instead of twelve, for example—which is more logical, at first sight at least: eight intervals amounts to dividing the interval in two equal halves, and the halves in halves again, and then once more: so the length of the sub-interval is then 1/2·1/2·1/2 = (1/2)3 = 1/8. But why wouldn’t we divide by three, so we have 9 = 3·3 sub-intervals? Or by 27 = 3·3·3? Or by 16? Or by 5?
The answer is: we don’t know. The limited sensitivity of our ear demands that the intervals be cut up somehow. [You can do tests of the sensitivity of your ear to relative frequency differences online: it’s fun. Just try them! Some of the sites may recommend a hearing aid, but don’t take that crap.] So… The bottom line is that, somehow, mankind settled on twelve sub-intervals within our musical unit—or our sound unit, I should say. So it is what it is, and the ratio of the frequencies between two successive (semi)tones (e.g. C and C#, or E and F, as E and F are also separated by one half-step only) is 21/12 = 1.059463… Hence, the pitch of each note is about 6% higher than the pitch of the previous note. OK. Next thing.
3. What’s the similarity between C1, C2, C3 etcetera? Or between A1, A2, A3 etcetera? The answer is: harmonics. The frequency of the first overtone of a string tuned at pitch A3 (i.e. 220 Hz) is equal to the fundamental frequency of a string tuned at pitch A4 (i.e. 440 Hz). Likewise, the frequency of the (pitch of the) C4 note above (which is the so-called middle C) is 261.626 Hz, while the frequency of the (pitch of the) next C note (C5) is twice that frequency: 523.251 Hz. [I should quickly clarify the terminology here: a tone consists of several harmonics, with frequencies f, 2·f, 3·f,… n·f,… The first harmonic is referred to as the fundamental, with frequency f. The second, third, etc harmonics are referred to as overtones, with frequency 2·f, 3·f, etc.]
To make a long story short: our ear is able to identify the individual harmonics in a tone, and if the frequency of the first harmonic of one tone (i.e. the fundamental) is the same frequency as the second harmonic of another, then we feel they are separated by one musical unit.
Isn’t that most remarkable? Why would it be that way?
My intuition tells me I should look at the energy of the components. The energy theorem tells us that the total energy in a wave is just the sum of the energies in all of the Fourier components. Surely, the fundamental must carry most of the energy, and then the first overtone, and then the second. Really? Is that so?
Well… I checked online to see if there’s anything on that, but my quick check reveals there’s nothing much out there in terms of research: if you’d google ‘energy levels of overtones’, you’ll get hundreds of links to research on the vibrational modes of molecules, but nothing that’s related to music theory. So… Well… Perhaps this is my first truly original post! 🙂 Let’s go for it. 🙂
The energy in a wave is proportional to the square of its amplitude, and we must integrate over one period (T) of the oscillation. The illustration below should help you to understand what’s going on. The fundamental mode of the wave is an oscillation with a wavelength (λ1) that is twice the length of the string (L). For the second mode, the wavelength (λ2) is just L. For the third mode, we find that λ3 = (2/3)·L. More in general, the wavelength of the nth mode is λn = (2/n)·L.
The illustration above shows that we’re talking sine waves here, differing in their frequency (or wavelength) only. [The speed of the wave (c), as it travels back and forth along the string, i constant, so frequency and wavelength are in that simple relationship: c = f·λ.] Simplifying and normalizing (i.e. choosing the ‘right’ units by multiplying scales with some proportionality constant), the energy of the first mode would be (proportional to):
What about the second and third modes? For the second mode, we have two oscillations per cycle, but we still need to integrate over the period of the first mode T = T1, which is twice the period of the second mode: T1 = 2·T2. Hence, T2 = (1/2)·T1. Therefore, the argument of the sine wave (i.e. the x variable in the integral above) should go from 0 to 4π. However, we want to compare the energies of the various modes, so let’s substitute cleverly. We write:
The period of the third mode is equal to T3 = (1/3)·T1. Conversely, T1 = 3·T3. Hence, the argument of the sine wave should go from 0 to 6π. Again, we’ll substitute cleverly so as to make the energies comparable. We write:
Now that is interesting! For a so-called ideal string, whose motion is the sum of a sinusoidal oscillation at the fundamental frequency f, another at the second harmonic frequency 2·f, another at the third harmonic 3·f, etcetera, we find that the energies of the various modes are proportional to the values in the harmonic series 1, 1/2, 1/3, 1/4,… 1/n, etcetera. Again, Pythagoras’ conclusion was wrong (the ratio of frequencies of individual notes do not respect simple ratios), but his intuition was right: the harmonic series ∑n−1 (n = 1, 2,…,∞) is very relevant in describing natural phenomena. It gives us the respective energies of the various natural modes of a vibrating string! In the graph below, the values are represented as areas. It is all quite deep and mysterious really!
So now we know why we feel C4 and C5 have so much in common that we call them by the same name: C, or Do. It also helps us to understand why the E and A tones have so much in common: the third harmonic of the 110 Hz A2 string corresponds to the fundamental frequency of the E4 string: both are 330 Hz! Hence, E and A have ‘energy in common’, so to speak, but less ‘energy in common’ than two successive E notes, or two successive A notes, or two successive C notes (like C4 and C5).
[…] Well… Sort of… In fact, the analysis above is quite appealing but – I hate to say it – it’s wrong, as I explain in my post scriptum to this post. It’s like Pythagoras’ number theory of the Universe: the intuition behind is OK, but the conclusions aren’t quite right. 🙂
Ideality versus reality
We’ve been talking ideal strings. Actual tones coming out of actual strings have a quality, which is determined by the relative amounts of the various harmonics that are present in the tone, which is not some simple sum of sinusoidal functions. Actual tones have a waveform that may resemble something like the wavefunction I presented in my previous post, when discussing Fourier analysis. Let me insert that illustration once again (and let me also acknowledge its source once more: it’s Wikipedia). The red waveform is the sum of six sine functions, with harmonically related frequencies, but with different amplitudes. Hence, the energy levels of the various modes will not be proportional to the values in that harmonic series ∑n−1, with n = 1, 2,…,∞.
Das wohltemperierte Klavier
Nothing in what I wrote above is related to questions of taste like: why do I seldomly select a classical music channel on my online radio station? Or why am I not into hip hop, even if my taste for music is quite similar to that of the common crowd (as evidenced from the fact that I like ‘Listeners’ Top’ hit lists)?
Not sure. It’s an unresolved topic, I guess—involving rhythm and other ‘structures’ I did not mention. Indeed, all of the above just tells us a nice story about the structure of the language of music: it’s a story about the tones, and how they are related to each other. That relation is, in essence, an exponential function with base 2. That’s all. Nothing more, nothing less. It’s remarkably simple and, at the same time, endlessly deep. 🙂 But so it is not a story about the structure of a musical piece itself, of a pop song of Ellie Goulding, for instance, or one of Bach’s preludes or fugues.
That brings me back to the original question I raised in my previous post. It’s a question which was triggered, long time ago, when I tried to read Douglas Hofstadter‘s Gödel, Escher and Bach, frustrated because my brother seemed to understand it, and I didn’t. So I put it down, and never ever looked at it again. So what is it really about that famous piece of Bach?
Frankly, I still amn’t sure. As I mentioned in my previous post, musicians were struggling to find a tuning system that would allow them to easily transpose musical compositions. Transposing music amounts to changing the so-called key of a musical piece, so that’s moving the whole piece up or down in pitch by some constant interval that is not equal to an octave. It’s a piece of cake now. In fact, increasing or decreasing the playback speed of a recording also amounts to transposing a piece: a increase or decrease of the playback speed by 6% will shift the pitch up or down by about one semitone. Why? Well… Go back to what I wrote above about that 12th root of 2. We’ve got the right tuning system now, and so everything is easy. Logarithms are great! 🙂
Back to Bach. Despite their admiration for the Greek ideas around aesthetics – and, most notably, their fascination with harmonic ratios! – (almost) all Renaissance musicians were struggling with the so-called Pythagorean tuning system, which was used until the 18th century and which was based on a correct observation (similar strings, under the same tension but differing in length, sound ‘pleasant’ when sounded together if – and only if – the ratio of the length of the strings is like 1:2, 2:3, 3:4, 3:5, 4:5, etcetera) but a wrong conclusion (the frequencies of musical tones should also obey the same harmonic ratios), and Bach’s so-called ‘good’ temperament tuning system was designed such that the piece could, indeed, be played in most keys without sounding… well… out of tune. 🙂
Having said that, the modern ‘equal temperament’ tuning system, which prescribes that tuning should be done such that the notes are in the above-described simple logarithmic relation to each other, had already been invented. So the true question is: why didn’t Bach embrace it? Why did he stick to ratios? Why did it take so long for the right system to be accepted?
I don’t know. If you google, you’ll find a zillion of possible explanations. As far as I can see, most are all rather mystic. More importantly, most of them do not mention many facts. My explanation is rather simple: while Bach was, obviously, a musical genius, he may not have understood what an exponential, or a logarithm, is all about. Indeed, a quick read of summary biographies reveals that Bach studied a wide range of topics, like Latin and Greek, and theology—of course! But math is not mentioned. He didn’t write about tuning and all that: all of his time went to writing musical masterpieces!
What the biographies do mention is that he always found other people’s tunings unsatisfactory, and that he tuned his harpsichords and clavichords himself. Now that is quite revealing, I’d say! In my view, Bach couldn’t care less about the ratios. He knew something was wrong with the Pythagorean system (or the variants as were then used, which are referred to as meantone temperament) and, as a musical genius, he probably ended up tuning by ear. [For those who’d wonder what I am talking about, let me quickly insert a Wikipedia graph illustrating the difference between the Pythagorean system (and two of these meantone variants) and the equal temperament tuning system in use today.]
So… What’s the point I am trying to make? Well… Frankly, I’d bet Bach’s own tuning was actually equal temperament, and so he should have named his masterpiece Das gleichtemperierte Klavier. Then we wouldn’t have all that ‘noise’ around it. 🙂
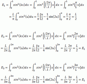
Post scriptum: Did you like the argument on the respective energy levels of the harmonics of an ideal string? Too bad. It’s wrong. I made a common mistake: when substituting variables in the integral, I ‘forgot’ to substitute the lower and upper bound of the interval over which I was integrating the function. The calculation below corrects the mistake, and so it does the required substitutions—for the first three modes at least. What’s going on here? Well… Nothing much… I just integrate over the length L taking a snapshot at t = 0 (as mentioned, we can always shift the origin of our independent variable, so here we do it for time and so it’s OK). Hence, the argument of our wave function sin(kx−ωt) reduces to kx, with k = 2π/λ, and λ = 2L, λ = L, λ = (2/3)·L for the first, second and third mode respectively. [As for solving the integral of the sine squared, you can google the formula, and please do check my substitutions. They should be OK, but… Well… We never know, do we? :-)]
[…] No… This doesn’t make all that much sense either. Those integrals yield the same energy for all three modes. Something must be wrong: shorter wavelengths (i.e. higher frequencies) are associated with higher energy levels. Full stop. So the ‘solution’ above can’t be right… […] You’re right. That’s where the time aspect comes into play. We were taking a snapshot, indeed, and the mean value of the sine squared function is 1/2 = 0.5, as should be clear from Pythagoras’ theorem: cos2x + sin2x = 1. So what I was doing is like integrating a constant function over the same-length interval. So… Well… Yes: no wonder I get the same value again and again.
[…]
We need to integrate over the same time interval. You could do that, as an exercise, but there’s a more direct approach to it: the energy of a wave is directly proportional to its frequency, so we write: E ∼ f. If the frequency doubles, triples, quadruples etcetera, then its energy doubles, triples, quadruples etcetera too. But – remember – we’re talking one string only here, with a fixed wave speed c = λ·f – so f = c/λ (read: the frequency is inversely proportional to the wavelength) – and, therefore (assuming the same (maximum) amplitude), we get that the energy level of each mode is inversely proportional to the wavelength, so we find that E ∼ 1/f.
Now, with direct or inverse proportionality relations, we can always invent some new unit that makes the relationship an identity, so let’s do that and turn it into an equation indeed. [And, yes, sorry… I apologize again to your old math teacher: he may not quite agree with the shortcut I am taking here, but he’ll justify the logic behind.] So… Remembering that λ1 = 2L, λ2 = L, λ3 = (2/3)·L, etcetera, we can then write:
E1 = (1/2)/L, E2 = (2/2)/L, E3 = (3/2)/L, E4 = (4/2)/L, E5 = (5/2)/L,…, En = (n/2)/L,…
That’s a really nice result, because… Well… In quantum theory, we have this so-called equipartition theorem, which says that the permitted energy levels of a harmonic oscillator are equally spaced, with the interval between them equal to h or ħ (if you use the angular frequency to describe a wave (so that’s ω = 2π·f), then Planck’s constant (h) becomes ħ = h/2π). So here we’ve got equipartition too, with the interval between the various energy levels equal to (1/2)/L.
You’ll say: So what? Frankly, if this doesn’t amaze you, stop reading—but if this doesn’t amaze you, you actually stopped reading a long time ago. 🙂 Look at what we’ve got here. We didn’t specify anything about that string, so we didn’t care about its materials or diameter or tension or how it was made (a wound guitar string is a terribly complicated thing!) or about whatever. Still, we know its fundamental (or normal) modes, and their frequency or nodes or energy or whatever depend on the length of the string only, with the ‘fundamental’ unit of energy being equal to the reciprocal length. Full stop. So all is just a matter of size and proportions. In other words, it’s all about structure. Absolute measurements don’t matter.
You may say: Bull****. What’s the conclusion? You still didn’t tell me anything about how the total energy of the wave is supposed to be distributed over its normal modes!
That’s true. I didn’t. Why? Well… I am not sure, really. I presented a lot of stuff here, but I did not present a clear and unambiguous answer as to how the total energy of a string is distributed over its modes. Not for actual strings, nor for ideal strings. Let me be honest: I don’t know. I really don’t. Having said that, my guts instinct that most of the energy – of, let’s say, a C4 note – should be in the primary mode (i.e. in the fundamental frequency) must be right: otherwise we would not call it a C4 note. So let’s try to make some assumptions. However, before doing so, let’s first briefly touch base with reality.
For actual strings (or actual musical sounds), I suspect the analysis can be quite complicated, as evidenced by the following illustration, which I took from one of the many interesting sites on this topic. Let me quote the author: “A flute is essentially a tube that is open at both ends. Air is blown across one end and sound comes out the other. The harmonics are all whole number multiples of the fundamental frequency (436 Hz, a slightly flat A4 — a bit lower in frequency than is normally acceptable). Note how the second harmonic is nearly as intense as the fundamental. [My = blog writer’s 🙂 italics] This strong second harmonic is part of what makes a flute sound like a flute.”
Hmmm… What I see in the graph is a first harmonic that is actually more intense than its fundamental, so what’s that all about? So can we actually associate a specific frequency to that tone? Not sure. So we’re in trouble already.
If reality doesn’t match our thinking, what about ideality? Hmmm… What to say? As for ideal strings – or ideal flutes 🙂 – I’d venture to say that the most obvious distribution of energy over the various modes (or harmonics, when we’re talking sound) would is the Boltzmann distribution.
Huh? Yes. Have a look at one of my posts on statistical mechanics. It’s a weird thing: the distribution of molecular speeds in a gas, or the density of the air in the atmosphere, or whatever involving many particles and/or a great degree of complexity (so many, or such a degree of complexity, that only some kind of statistical approach to the problem works—all that involves Boltzmann’s Law, which basically says the distribution function will be a function of the energy levels involved: f = e–energy. So… Well… Yes. It’s the logarithmic scale again. It seems to govern the Universe. 🙂
Huh? Yes. That’s why I think: the distribution of the total energy of the oscillation should be some Boltzmann function, so it should depend on the energy of the modes: most of the energy will be in the lower modes, and most of the most in the fundamental. […] Hmmm… It again begs the question: how much exactly?
Well… The Boltzmann distribution strongly resembles the ‘harmonic’ distribution shown above (1, 1/2, 1/3, 1/4 etc), but it’s not quite the same. The graph below shows how they are similar and dissimilar in shape. You can experiment yourself with coefficients and all that, but your conclusion will be the same. As they say in Asia: they are “same-same but different.” 🙂 […] It’s like the ‘good’ and ‘equal’ temperament used when tuning musical instruments: the ‘good’ temperament – which is based on harmonic ratios – is good, but not good enough. Only the ‘equal’ temperament obeys the logarithmic scale and, therefore, is perfect. So, as I mentioned already, while my assumption isn’t quite right (the distribution is not harmonic, in the Pythagorean sense), the intuition behind is OK. So it’s just like Pythagoras’ number theory of the Universe. Having said that, I’ll leave it to you to draw the correct the conclusions from it. 🙂













5 thoughts on “Music and Math”