I have not posted in a while, and that is because I find the format of a video much easier to express my thoughts. Have a look at my YouTube channel ! Also, for the more serious work, I must refer to my ResearchGate page. Have fun thinking things through ! 🙂
Category: Mathematics
The metaphysics of physics: final thoughts
I wrote my last post here two months ago and so, yes, I feel I have done a good job of ‘switching off’. I have to: I’ve started a new and pretty consuming job as ICT project manager. 🙂
Before starting work, I did take a relaxing break: I went to Barcelona and read quite a few books and, no, no books on quantum physics. Historical and other things are more fun and give you less of a headache.
However, having said that, the peace and quiet did lead to some kind of ‘final thoughts’ on the ‘metaphysics of physics’, and I also did what I never did in regard to my intuition that dark matter/energy might be explained by some kind of ‘mirror force’: the electromagnetic force as it appears in a mirror image. Not much change in the math, but physical left- and right-hand rules for magnetic effects that just swap for each other.
You can find the results of that in a very concise (four pages only) paper on my ResearchGate site, and also in two lectures (each a bit more than one hour) on my YouTube channel. The first video focuses on ‘big questions’, while the second one talks about this ‘mirror’ force (I previously referred to it as a ‘anti-force’ but I realize that’s not a good term), and on how that would fit with Maxwell’s equations (including Maxwell’s equation written in four-vector algebra).
Have fun and keep thinking. Most importantly: keep thinking for yourself ! Do not take anything for granted in this brave new world. 🙂
[A]Symmetries in Nature
I find that just working off some notes from my tablet and talking about them works better for me than writing elaborate papers. Boileau: “Ce que l’on conçoit bien s’énonce clairement, Et les mots pour le dire arrivent aisément.” I did five new lectures in just one week on my YouTube channel. Have a look at the last one: symmetries and asymmetries in Nature.
It takes an easy-to-understand look at CP- and CPT-symmetry (and the related processes that sometimes break these symmetries) by thinking about what particles actually are: not infinitesimally small, but charged oscillations with a 2D or 3D structure. We also revisit the inherent mass-generating mechanism, which explains all mass in terms of electromagnetic mass.
We talked about CP- and CPT-symmetries before – back in 2014, to be very precise – but then I did not know what I know now, and those older posts also suffered from the 2020 attack by the dark force. 🙂 Briefly, what you should take away from it, is that the most fundamental asymmetry in Nature is this: the asymmetry in the electromagnetic force or field itself. It is that 90 degree phase difference (or ‘lag’) between the electric and magnetic field vectors. That explains why mirror images cannot be real, and it also explains why some processes go one way only. So… Another mystery solved ! I call it “the fallacy of CPT arguments.” 🙂
Post scriptum: I also wrapped up my YouTube ‘Schrödinger’s cat is dead’ series. For those who do not like the theoretical aspects of all these things, have a look at the last one (on pair creation-annihilation and intermediate vector bosons), in which I discuss the two interpretations (mainstream versus my classical perspective) one can have when looking at this wonderful world. I wrote this comment on it, which is probably my farewell to this hobby of mine:
For those who struggle with this, the key to understanding it all, is to understand that the superposition principle works for fields, but not for charges. That is also the key to understanding Bose-Einstein statistics, Fermi-Dirac statistics and – at larger scales – the ‘real world’ Maxwell-Boltzmann statistics (which combine both). See: https://readingfeynman.org/2015/07/21/maxwell-boltzmann-bose-einstein-and-fermi-dirac-statistics/. Always do a good dimensional analysis of the equations: distinguish real physical dimensions from purely mathematical ones: do not add apples and oranges. Distinguish potential or field strengths from real forces and actual energy (a force acting on a charge over some distance). That is why charges should not ‘vanish’ in the analysis, and it is also why i*pi and -i*pi are not ‘common phase factors’ which vanish against each other (both are equal to -1, right?) in equations involving wavefunctions. A positive charge zittering around in one direction is not the same as a negative charge zittering around in the other direction. Neutral particles are either real photons (which carry no charge whatsoever) or, else, neutral matter-particles. Applying the saying that was looks and quacks like a duck must be a duck, we might say most of these neutral particles will look like ordinary matter. Some, however, will look like light-like or be photon-like because they travel at or near the speed of light (the orbital motion of the two charges has vanished and so there is zero angular momentum). That does not mean they are photons. Also do not worry about wave equations when you prefer to think in terms of wavefunctions: wavefunctions are the real thing, not wave equations (see: https://www.researchgate.net/publication/341269271_De_Broglie’s_matter-wave_concept_and_issues and https://www.researchgate.net/publication/342424980_Feynman’s_Time_Machine). If you think otherwise, that is fine. Everyone looks for the Holy Grail, and you may be amongst those who think they have found it. If it is looks very different from the Holy Grail that I have finally found, that is OK. Jesus might have left more than one Holy Grail – fake or real ones – and just be happy with yours ! I will end this short illustrated Guide to the Universe with the Looney Tunes sign-off: “That’s All, Folks!”
Jean Louis Van Belle
The Uncertainty Principle, statistical determinism, and free will
I just came back from a consultancy (an IT assessment – it is nice to be fully focused again on work rather than obscure quantum-mechanical models) and, while flying back, I wrote a small paper on the implications of what I have tried to do (showing that, ultimately, we can understand Nature as being ‘statistically deterministic’, just like what A. Einstein and H.A. Lorentz always said) on epistemology, or the inquiry that philosophers refer to as ‘metaphysics’ (interpreted as thoughts on the ‘essence’ of Nature).
I also detail why and how it does not do away with what is probably the single most important foundation of our society (laws, business, etcetera): the idea of free will. Here is the link to the paper, and below I copy the key conclusions:
What I write above [see the paper] and its explanations of the principle of uncertainty as used in modern physics should not make you think that I do not believe in a religious mindset: conscious thoughts, or some sense or feeling of wonder that we would refer to as religious or – a better word, perhaps – mystical. On the contrary, in my journey to understanding, I have often been amazed that our mind is able to understand all of this. Here again, I appreciate my courses of philosophy – especially Hegel’s idea on the concept of our human mind encompassing and understanding more and more as mankind continues its rather lonely journey on a very small planet in a Universe whose borders we cannot imagine.
Such feeling of wonder – an old teacher of mine said the Greeks referred to this as tauma, and that it fuels our desire for knowledge, but I have not been able to find any bibliographic reference to this idea – is, exactly, what has been driving my own personal journey in search of truth. Whether you call that religious or not, is not of much interest to me: I have no need to describe that experience in old or new words.
Likewise, statistically determinism does not do away with the concept of free will: of course, we are the product of a rather amazing evolution, which I think of as rather random – but I do not attach negative connotation to this randomness. On the contrary, while our human mind was originally concerned with making sense of life or death situations, it is now free to think about other things: one’s own personal condition, or the human condition at large. Such thinking may lead to us taking rational decisions that actually change the path that we are following: we stop drinking or smoking for health reasons, perhaps, or we engage in a non-profit project aimed at improving our neighborhood or society at large. And we all realize we should change our behavior in order to ensure the next generation lives in an even better world than we do.
All of this is evidence of a true free will. It is based on our mental ability to rationally analyze in what situation we happen to find ourselves, so as to then try to do what we think we should be doing.
Capra, Zukov, Gribbin are all over 80+ years old now…
Gary Zukov was in his late thirties when he wrote his Dancing Wu Li Masters. It further built on Fritjov Capra’s Tao of Physics. Both Zukov and Capra are still alive: 80+ years now. Both books still sell well, just like John Gribbin’s In Search of Schrödinger’s cat. I quote from Amazon’s sales headline for the latter:
“Quantum theory is so shocking that Einstein could not bring himself to accept it. It is so important that it provides the fundamental underpinning of all modern sciences. Without it, we’d have no nuclear power or nuclear weapons, no TV, no computers, no science of molecular biology, no understanding of DNA, no genetic engineering.”
Einstein could not bring himself to accept it, right? And TV or nuclear power or molecular biology would never have seen the light without Bohr and Heisenberg taking over from Einstein, Lorentz, or de Broglie, right? […] Plain nonsense. Einstein’s revolution is over. It is about time the likes of Zukov, Capra, Gribbin and their contemporaries – Hossenfelder, Lee Smolin, Sean Carroll, etcetera – accept it: Einstein was right along, and accusing Einstein of not having an open mind – he pioneered the true bedrock of physics: relativity theory, didn’t he? – sounds nuts to me.[1]
I am wondering if a book like the one I am thinking of – some kind of exchange between the wisdom that generations hand over – would ever make for a bestseller. Probably not. In any case, I want to write the first pages of such a book here.
Fields, charge, and energy concepts
Papa, I understand your particle theory now. It explains the diffraction pattern on the detector plate when you send electrons through a slit. I can also see why this two-slit interference pattern is just a superposition of two one-slit diffraction patterns. No mystery. Agreed. But photons?
What do you mean?
Your explanation of electron interference does away with interference. It explains this arriving of one electron – arriving as the lump it always one – when going through a slit or past the edge of a far more massive and complicated structure or system of charged oscillations. But in the one-photon Mach-Zehnder experiment – or when measuring radio signal strengths at a distance – we have photons – or half-photons (the linear components of circularly polarized photons – I am just quoting your own theory here) – coming together and vanishing (destructive interference) or – quite the opposite – combining into some new photon with twice the energy of the incoming full- or half-photons?
You are now fully grown up – a promising young adolescent with an MD degree – and so you should think for yourself now. The dominating Copenhagen interpretation of quantum mechanics tells us that Nature is just some kind of black box, and the best we can do is to think of some input-output relations to describe what goes in and what comes out. I have been fighting on many fronts, and I first wanted to get my matter-particle model right. I should now go back to these experiments demonstrating how light interference might or might not work. They all involve an apparatus which is referred to as an interferometer. There are various types around, but the Michelson-Morley interferometer still describes the basic components. We have a light source, some mirrors and one or more beam splitters – which are, basically, still simple half-silvered mirrors. The beam splitter splits the beam, and the mirrors are then adjusted so as to produce constructive or destructive interference.
The classical explanation is easy enough: the two beams arrive in phase or, alternatively, out of phase and we, therefore, have constructive or destructive interference when recombining them. However, when we want to analyze this in terms of one single photon, this classical picture becomes quite complicated. Physicists will tell you the photon cannot actually split itself, and they will start talking about amplitudes – based on which they will calculate probabilities of this or that happening – but they will never explain what is actually happening.
I always told you it should be possible to develop a classical picture of all of this, and that classical picture of what is happening in terms of photons would be pretty much like what is shown below. Photons arrive in lumps too, but a circularly polarized photon can be split into two linearly polarized half-photons – just like an electromagnetic wave that is circularly polarized. There is no mystery: the wave components – linear or circularly polarized photons – have the same properties as the wave. 😊
Papa, I do not get the recombination stuff when we are talking photons. Where is the energy going? These idealized experiments show that we always get a recombined beam with the same frequency – or one that vanishes – but, according to classical theory, we must have in-between realities. When the phase difference between the two incoming beams is small, its amplitude is going to be much larger. To be precise, it is going to be twice the amplitude of the incoming beams for Δ = 0. In contrast, if the two beams are out of phase, the amplitude is going to be much smaller, and it is going to be zero if the two waves are 180 degrees out of phase (Δ = π), as shown below. That does not make sense because twice the amplitude means four times the energy, and zero amplitude means zero energy. The energy conservation law is being violated: photons are being multiplied or, conversely, are being destroyed.
Darling, you must remember light-particles are fundamentally different from matter-particles. There is no kinetic energy: no physical charge in a weird dance. Field energy is like the field itself: we are talking a force without a charge to act upon. The superposition principle in physics applies to fields in a very different way than it applies to charged particles. Bose-Einstein versus Fermi-Dirac statistics. Photons – light-particles in general – ‘occupy’ space very differently than matter-particles: they can literally be on top of each other if they are all in phase or – conversely – out of phase. In the first case, they combine to produce twice the energy. Because photon frequencies and amplitudes do not change, it looks like the number of photons must double. Conversely, field energies combine to make photons with opposite phase vanish into nothing. It is a weird thing, perhaps – but it makes sense to me. All that I know is that we should not substitute this coherent world view for the guru-like models that have been perpetuated by Heisenberg and Bohr. [I explicitly exclude Born, because I think his interpretation of the wavefunction as a hardcore probability distribution function based on energy densities made sense.]
You should read Lamb’s Anti-Photon article once more. It has (almost) all of the answers. Fields exchange energy with matter-particles in quantized units only. It is all very marvelous but not mysterious.[2]
Are fields potential energy?
Not quite. The physical dimension of an electric or magnetic field, a potential, energy itself (kinetic or potential energy), are all different, and you need to keep track of those dimensions when analyzing interference or how the superposition principle comes into play. But I would be rewriting a lot of what I wrote already to convey the deeper understanding you need.
Fritjov Capra started off the right footing when he wrote out his motivation: “Science does not need mysticism and mysticism does not need science. But man needs both.” That is about all we have in common. Too bad he didn’t do more with it. But modern-day physicists do not do much more, either.
What do you mean?
Einstein never got a Nobel Prize for his relativity theory. This Stockholm Royal Academy of Sciences makes weird decisions. Just last year, they gave a Nobel Prize to a climate change denier. There is something rotten in academia, but it will take a while before academia (or the Stockholm Royal Academy of Sciences) recognizes that. In the meanwhile, Alfred Nobel must be turning around in his grave. I cannot imagine Einstein would worry about it. 😊
Brussels, 12 September 2023
[1] I warmly recommend reading Einstein’s articles directly. His 1905 article on special relativity theory toys and plays with ideas (such as the idea of an electron having some lateral mass in its motion – which I subscribe to: too bad Einstein did not explore Schrödinger’s Zitterbewegung hypothesis) like no one else can. Accusing Einstein of a lack of imagination – which is what is implied here – is utterly nonsensical.
[2] Pages 148-153 of my manuscript have the basic explanation of one-photon Mach-Zehnder interference. Go have a look. I should write it all out, but I was born lazy. 😊
Another tainted Nobel Prize…
Last year’s (2022) Nobel Prize in Physics went to Alain Aspect, John Clauser, and Anton Zeilinger for “for experiments with entangled photons, establishing the violation of Bell inequalities and pioneering quantum information science.”
I did not think much of that award last year. Proving that Bell’s No-Go Theorem cannot be right? Great. Finally! I think many scientists – including Bell himself – already knew this theorem was a typical GIGO argument: garbage in, garbage out. As the young Louis de Broglie famously wrote in the introduction of his thesis: hypotheses are worth only as much as the consequences that can be deduced from it, and the consequences of Bell’s Theorem did not make much sense. As I wrote in my post on it, Bell himself did not think much of his own theorem until, of course, he got nominated for a Nobel Prize: it is a bit hard to say you got nominated for a Nobel Prize for a theory you do not believe in yourself, isn’t it? In any case, Bell’s Theorem has now been experimentally disproved. That is – without any doubt – a rather good thing. 🙂 To save the face of the Nobel committee here (why award something that disproves something else that you would have given an award a few decades ago?): Bell would have gotten a Nobel Prize, but he died from brain hemorrhage before, and Nobel Prizes reward the living only.
As for entanglement, I repeat what I wrote many times already: the concept of entanglement – for which these scientists got a Nobel Prize last year – is just a fancy word for the simultaneous conservation of energy, linear and angular momentum (and – if we are talking matter-particles – charge). There is ‘no spooky action at a distance’, as Einstein would derogatorily describe it when the idea was first mentioned to him. So, I do not see why a Nobel Prize should be awarded for rephrasing a rather logical outcome of photon experiments in metamathematical terms.
Finally, the Nobel Prize committee writes that this has made a significant contribution to quantum information science. I wrote a paper on the quantum computing hype, in which I basically ask this question: qubits may or may not be better devices than MOSFETs to store data – they are not, and they will probably never be – but that is not the point. How does quantum information change the two-, three- or n-valued or other rule-based logic that is inherent to the processing of information? I wish the Nobel Prize committee could be somewhat more explicit on that because, when everything is said and done, one of the objectives of the Prize is to educate the general public about the advances of science, isn’t it?
However, all this ranting of mine is, of course, unimportant. We know that it took the distinguished Royal Swedish Science Academy more than 15 years to even recognize the genius of an Einstein, so it was already clear then that their selection criteria were not necessarily rational. [Einstein finally got a well-deserved Nobel Prize, not for relativity theory (strangely enough: if there is one thing on which all physicist are agreed, it is that relativity theory is the bedrock of all of physics, isn’t it?), but for a much less-noted paper on the photoelectric effect – in 1922: 17 years after his annus mirabilis papers had made a killing not only in academic circles but in the headlines of major newspapers as well, and 10 years after a lot of fellow scientists had nominated him for it (1910).]
Again, Mahatma Gandhi never got a Nobel Price for Peace (so Einstein should consider himself lucky to get some Nobel Prize, right?), while Ursula von der Leyen might be getting one for supporting the war with Russia, so I must remind myself of the fact that we do live in a funny world and, perhaps, we should not be trying to make sense of these rather weird historical things. 🙂
Let me turn to the main reason why I am writing this indignant post. It is this: I am utterly shocked by what Dr. John Clauser has done with his newly gained scientific prestige: he joined the CO2 coalition! For those who have never heard of it, it is a coalition of climate change deniers. A bunch of people who:
(1) vehemently deny the one and only consensus amongst all climate scientists, and that is the average temperature on Earth has risen with about two degrees Celsius since the Industrial Revolution, and
(2) say that, if climate change would be real (God forbid!), then we can reverse the trend by easy geo-engineering. We just need to use directed energy or whatever to create more white clouds. If that doesn’t work, then… Well… CO2 makes trees and plants grow, so it will all sort itself out by itself.
[…]
Yes. That is, basically, what Dr. Clauser and all the other scientific advisors of this lobby group – none of which have any credentials in the field they are criticizing (climate science) – are saying, and they say it loud and clearly. That is weird enough, already. What is even weirder, is that – to my surprise – a lot of people are actually buying such nonsense.
Frankly, I have not felt angry for a while, but this thing triggered an outburst of mine on YouTube, in which I state clearly what I think of Dr. Clauser and other eminent scientists who abuse their saint-like Nobel Prize status in society to deceive the general public. Watch my video rant, and think about it for yourself. Now, I am not interested in heated discussions on it: I know the basic facts. If you don’t, I listed them here. Look at the basic graphs and measurements before you would want to argue with me on this, please! To be clear on this: I will not entertain violent or emotional reactions to this post or my video. Moreover, I will delete them here on WordPress and also on my YouTube channel. Yes. For the first time in 10 years or so, I will exercise my right as a moderator of my channels, which is something I have never done before. 🙂
[…]
I will now calm down and write something about the mainstream interpretation of quantum physics again. 🙂 In fact, this morning I woke up with a joke in my head. You will probably think the joke is not very good, but then I am not a comedian and so it is what it is and you can judge for yourself. The idea is that you’d learn something from it. Perhaps. 🙂 So, here we go.
Imagine shooting practice somewhere. A soldier fires at some target with a fine gun, and then everyone looks at the spread of the hits around the bullseye. The quantum physicist says: “See: this is the Uncertainty Principle at work! What is the linear momentum of these bullets, and what is the distance to the target? Let us calculate the standard error.” The soldier looks astonished and says: “No. This gun is no good. One of the engineers should check it.” Then the drill sergeant says this: “The gun is fine. From this distance, all bullets should have hit the bullseye. You are a miserable shooter and you should really practice a lot more.” He then turns to the academic and says: “How did you get in here? I do not understand a word of what you just said and, if I do, it is of no use whatsoever. Please bugger off asap!”
This is a stupid joke, perhaps, but there is a fine philosophical point to it: uncertainty is not inherent to Nature, and it also serves no purpose whatsoever in the science of engineering or in science in general. All in Nature is deterministic. Statistically deterministic, but deterministic nevertheless. We do not know the initial conditions of the system, perhaps, and that translates into seemingly random behavior, but if there is a pattern in that behavior (a diffraction pattern, in the case of electron or photon diffraction), then the conclusion should be that there is no such thing as metaphysical ‘uncertainty’. In fact, if you abandon that principle, then there is no point in trying to discover the laws of the Universe, is there? Because if Nature is uncertain, then there are no laws, right? 🙂
To underscore this point, I will, once again, remind you of what Heisenberg originally wrote about uncertainty. He wrote in German and distinguished three very different ideas of uncertainty:
(1) The precision of our measurements may be limited: Heisenberg originally referred to this as an Ungenauigkeit.
(2) Our measurement might disturb the position and, as such, cause the information to get lost and, as a result, introduce an uncertainty in our knowledge, but not in reality. Heisenberg originally referred to such uncertainty as an Unbestimmtheit.
(3) One may also think the uncertainty is inherent to Nature: that is what Heisenberg referred to as Ungewissheit. There is nothing in Nature – and also nothing in Heisenberg’s writings, really – that warrants the elevation of this Ungewissheit to a dogma in modern physics. Why? Because it is the equivalent of a religious conviction, like God exists or He doesn’t (both are theses we cannot prove: Ryle labeled such hypotheses as ‘category mistakes’).
Indeed, when one reads the proceedings of the Solvay Conferences of the late 1920s, 1930s and immediately after WW II (see my summary of it in https://www.researchgate.net/publication/341177799_A_brief_history_of_quantum-mechanical_ideas), then it is pretty clear that none of the first-generation quantum physicists believed in such dogma and – if they did – that they also thought what I am writing here: that it should not be part of science but part of one’s personal religious beliefs.
So, once again, I repeat that this concept of entanglement – for which John Clauser got a Nobel Prize last year – is in the same category: it is just a fancy word for the simultaneous conservation of energy, linear and angular momentum, and charge. There is ‘no spooky action at a distance’, as Einstein would derogatorily describe it when the idea was first mentioned to him.
Let me end by noting the dishonor of Nobel Prize winner John Clauser once again. Climate change is real: we are right in the middle of it, and it is going to get a lot worse before it gets any better – if it is ever going to get better (which, in my opinion, is a rather big ‘if‘…). So, no matter how many Nobel Prize winners deny it, they cannot change the fact that average temperature on Earth has risen by about 2 degrees Celsius since 1850 already. The question is not: is climate change happening? No. The question now is: how do we adapt to it – and that is an urgent question – and, then, the question is: can we, perhaps, slow down the trend, and how? In short, if these scientists from physics or the medical field or whatever other field they excel in are true and honest scientists, then they would do a great favor to mankind not by advocating geo-engineering schemes to reverse a trend they actually deny is there, but by helping to devise and promote practical measures to allow communities that are affected by natural disaster to better recover from them.
So, I’ll conclude this rant by repeating what I think of all of this. Loud and clear: John Clauser and the other scientific advisors of the CO2 coalition are a disgrace to what goes under the name of ‘science’, and this umpteenth ‘incident’ in the history of science or logical thinking makes me think that it is about time that the Royal Swedish Academy of Sciences does some serious soul-searching when, amongst the many nominations, it selects its candidates for a prestigious award like this. Alfred Nobel – one of those geniuses who regretted his great contribution to science and technology was (also) (ab)used to increase the horrors of war – must have turned too many times in his grave now…
Cold fusion (LENR) revisited…
One of the nice things that happened to me on this rather weird exploration of the world of quantum physics – a journey which I now want to leave behind, because I found what I wanted to find: a common-sense interpretation of it all, and a concise model of elementary particles – was that, back in 2020, I was invited to join a low-key symposium on cold fusion (or ‘low energy nuclear reactions’, as the field is now referred to): RNBE-2020. That was followed by rather intense exchanges with a few scientists who work or worked on a theory centered around the concept of deep nuclear electron orbitals. All very interesting, because it confirmed what I think is the case in this field: there are some crooks around, but most research is done by very honest and integer scientists, albeit – admittedly – it’s all a bit on the fringes of mainstream theory.
I summed up my rather skeptical conclusions on these conversations in a 2021 blog post here: cold and hot fusion – just hot air? The ‘hot’ in the title of that post does not refer to real hot nuclear fusion (because that is not just ‘hot’ but extremely hot: we are not talking thousands but millions degrees Celsius here). No, we refer to the rather high temperatures of things like the hydrino scheme which – in my not-so-humble view – has seriously damaged the credibility of the field: these high temperatures are still – visibly – in the thermal range. Indeed, I looked at the videos, and I just see some kind of small copper alloy furnaces melting away. Now, copper alloys melt around 1000° C, and burning hydrogen yields temperatures around 2000° C. Hence, in the absence of any other evidence (such as spectroscopic measurements), I conclude these BLP experiments are just burning ordinary hydrogen. That is sad, because cold fusion and LENR already suffered from poor reputation.
But so I had long email exchanges on more interesting things, and that was nice. Going back to the possibility of deep electron orbitals being real, somehow, I initially entertained the rather vague idea that – who knows, right? – the mix of Zitterbewegung charges (positive and negative) – which, in my ‘mass-without-mass’ model of elementary particles, have zero rest mass – might, perhaps, combine in nuclear oscillations that have not been modeled so far. Indeed, when everything is said and done, I myself broke my teeth – so to speak – on trying to model the neutron itself – stable only inside of a nucleus – as a neutral ring current or nuclear ‘glue’ between protons. I did not succeed, but I still believe it should be possible. And if an analytical model could be found to model the motion of multiple pointlike zbw charges as a stable equilibrium that – as a whole – respects the Planck-Einstein relation, then we might, perhaps, also discover novel ways to unleash the binding energy between them, right?
So, these are some of the good things I want to – carefully and prudently – state about the field. I must now say why I am and remain skeptical. It is fair to say that everyone can easily see and verify how the energy of say, a photon in a laser beam, can dissipate away and, in the process, trigger very different reactions. Reactions that one would not associate with the energies of the incoming photons: all these reactions would qualify as some kind of anomalous heat, I would think. Think, for example, of using a high-powered laser to cut small tree branches, which is possible now. I have not studied the mechanics of this (too bad because I’ve been wanting to study the mechanics of lasers for many years now, but I never found the time to dig into Einstein’s or other theories on how it works – not approximately, but exactly), but I can easily see how the process of Compton scattering would explain why a substantial part of the energy of the photons would be absorbed by (1) outgoing photons with lower energy and (2) electrons with substantially higher kinetic energies. This kinetic energy would then redistribute all over the system (not only other electrons but even the massive nuclei at the center of each atomic and molecular system inside of these easy-to-burn materials, be they paper, carton, or wood). In short, we get heat: thermal energy. And quite a lot of it.
However, this process involves triggering lower-energy reactions: thermal or chemical reactions (fire actually is chemistry). [Also, you can easily see a lot of energy gets lost: using a 2000 W laser to cut branches that are only a few cm in diameter is not very energy-efficient, right? This is a point which I also talk about in my previous post on LENR: what is the energy balance? What is the total input energy and what is the nuclear fuel, respectively, and how do these two elements combine to make you think you’d get net energy out of the whole process?]
Regardless of the total energy equation (input – output), the first question is the more relevant one, because it goes to the core of the what and how of LENR. My blunt appraisal here is that of other skeptics: I cannot imagine how the energy in laser photons could – somehow – build up a sufficient reservoir of energy, to then reach a threshold and trigger an outright and proper nuclear or high-energy reaction.
If it is possible at all, it would have to be some kind of resonance process: a lower frequency feeding into a much higher-frequency phenomenon and gradually increasing its amplitude. How would it do that? That is simple. Harmonic oscillations have several natural frequencies, and the lower-energy oscillation can feed into one or more of these. See my post on music and math for an analytical explanation or – if you want something simpler – just think of a child on a swing, which – once in a while – you give an extra push in the back. You do not necessarily have to do that each and every time the swing comes back. No: you don’t need to push each and every time but, if you do push, you have to do at the right time. 🙂
Going back to LENR, we may think the frequency of a laser may feed into a nuclear oscillation, gradually increasing its amplitude, until the accumulated energy is sufficiently high and reaches some threshold triggering a proper nuclear or high-energy reaction. Frankly, I think this possibly could explain low-energy nuclear reactions. So, yes, it might be possible.
At the same time, I think it is rather unlikely. Why? At the smallest of scales, the Planck-Einstein relation holds, and so we have discrete energy states. These discrete energy states of protons, electrons, nuclei, atoms or molecules as a whole do not have any in-between states in which you can dump excess or surplus energy from somewhere outside. A photon-electron interaction triggers a reaction, and that’s not gradually but (almost) instantly. So, energy is being emitted as soon as it absorbed. Disequilibrium states do not last very long: atomic systems go back to equilibrium very quickly, and any excess energy is quickly emitted by photons or absorbed as internal heat, which is a (very) low-energy oscillation of the massive bits in whatever material you are using in these experiments (most experiments are on palladium, and the discussions on the effects impurities might have in the experiments are – frankly – a bit worrying). In any case, the point is that these disequilibrium states do surely not last long enough to entertain the kind of resonance processes that, say, made the Tacoma Bridge collapse. To make a long story short, I am and remain skeptical.
However, to my surprise, I was invited to join in a Zoom e-call, and listen to the rather interesting discussion on the future of both the French and International Society for Condensed Nuclear Matter (SFCMNS and ISCMNS, respectively – I will not put the links because they are both revamping their website now) after they had wrapped up their 25th International Conference.
What I saw and heard, made me quite happy: these were all honest and critical scientists looking at real-life experiments that do yield surprising results. Result that contradict my rather skeptical theoretical arguments (above) against LENR being possible. I also noted the Anthropocène Institute invests in them. I also note Nobuo Tanaka, former Executive Director of the International Energy Agency (not to be confused with the International Atomic Energy Agency!), spoke at ICCF-24, plus a lot of other very serious people. Also, it is quite obvious that nuclear energy is no longer out. On the contrary, it is in again and – as part of new investments in nuclear research – I think the LENR field should also be reconsidered, despite its chequered past. I also note LENR research in Japan is getting a lot more funding than research in the EU or the US, so perhaps they are seeing something that we do not see (it would be interesting to check what happens in the patents or IPR area on this). 🙂
So, all these considerations add up to more than enough – to me, at least – to continue giving these researchers the benefit of the doubt. We live in a fascinating world and, as the Wikipedia article on cold fusion notes, the discovery of the Mössbauer and other strange nuclear effects was also rather unexpected – in the sense that it had not been foreseen or predicted by some theorist. I do, therefore, not agree with the same Wikipedia article dismissing LENR as ‘pathological‘ or ‘cargo cult‘ science.
If anything, I think mainstream research sometimes also suffers from what critics say of the LENR field: “people are tricked into false results … by subjective effects, wishful thinking or threshold interactions.” But that is only a personal and non-relevant remark, as I am quitting my hobbyist study of physics now. It has lasted long enough (over a decade, really) and – as mentioned a few times already – I think I sort of get it now. As Feynman famously said in the Epilogue to his Lectures: “After all, it isn’t as horrible as it looks.”
I might add: I think the end of physics is near. All that’s left, is engineering. And quite a lot of it. 🙂
The shortest introduction to physics – ever !
My ‘last’ post talks about the end of physics as a science: nothing or nothing much is left to explain but – of course – a lot of engineering is left to be done! 😉
I thought it would really be my last post, but then I thought I’d also do a short video on my YouTube channel, and so I did that. This is the link to what I titled: “The shortest introduction to quantum physics – ever!”
Have a look and see if you like it ! If you do it, do leave a comment ! 🙂
Epilogue: an Easter podcast
I have been thinking on my explanation of dark matter/energy, and I think it is sound. It solves the last asymmetry in my models, and explains all. So, after a hiatus of two years, I bothered to make a podcast on my YouTube channel once again. It talks about everything. Literally everything !
It makes me feel my quest for understanding of matter and energy – in terms of classical concepts and measurements (as depicted below) – has ended. Perhaps I will write more but that would only be to promote the material, which should promote itself if it is any good (which I think it is).

I should, by way of conclusion, say a few final words about Feynman’s 1963 Lectures now. When everything is said and done, it is my reading of them which had triggered this blog about ten years ago. I would now recommend Volume I and II (classical physics and electromagnetic theory) – if only because it gives you all the math you need to understand all of physics – but not Volume III (the lectures on quantum mechanics). They are outdated, and I do find Feynman guilty of promoting rather than explaining the hocus-pocus around all of the so-called mysteries in this special branch of physics.
Quantum mechanics is special, but I do conclude now that it can all be explained in terms of classical concepts and quantities. So, Gell-Mann’s criticism of Richard Feynman is, perhaps, correct: Mr. Feynman did, perhaps, make too many jokes – and it gets annoying because he must have known some of what he suggests does not make sense – even if I would not go as far as Gell-Mann, who says “Feynman was only concerned about himself, his ego, and his own image !”
So, I would recommend my own alternative series of ‘lectures’. Not only are they easier to read, but they also embody a different spirit of writing. Science is not about you, it is about thinking for oneself and deciding on what is truthful and useful, and what is not. So, to conclude, I will end by quoting Ludwig Boltzmann once more:
“Bring forward what is true.
Write it so that it is clear.
Defend it to your last breath.”
Ludwig Boltzmann (1844 – 1906)
Post scriptum: As for the ‘hocus-pocus’ in Feynman’s Lectures, we should, perhaps, point once again to some of our early papers on the flaws in his arguments. We effectively put our finger on the arbitrary wavefunction convention, or the (false) boson-fermion dichotomy, or the ‘time machine’ argument that is inherent to his explanation of the Hamiltonian, and so on. We published these things on Academia.edu before (also) putting our (later) papers ResearchGate, so please check there for the full series. 🙂
Post scriptum (23 April 2023): Also check out this video, which was triggered by someone who thought my models amount to something like a modern aether theory, which it is definitely not the case: https://www.youtube.com/watch?v=X38u2-nXoto. 🙂 I really think it is my last reflection on these topics. I need to focus on my day job, sports, family, etcetera again ! 🙂
Dirac’s wave equation and particle models
Introduction
I had not touched physics since April last year, as I was struggling with cancer, and finally went in for surgery. It solved the problem but physical and psychological recovery was slow, and so I was in no mood to work on mathematical and physical questions. Now I am going through my ResearchGate papers again. I start with those that get a fair amount of downloads and – I am very pleased to see that happen – those are the papers that deal with very fundamental questions, and lay out the core of an intuition that is more widely shared now: physicists are lost in contradictions and will not get out of this fuzzy situation until they solve them.
[Skeptical note here: I note that those physicists who bark loudest about the need for a scientific revolution are, unfortunately, often those who obscure things even more. For example, I quickly went through Hossenfelder’s Lost in Math (and I also emailed her to highlight all that zbw theory can bring) but she did not even bother to reply and, more in general, shows no signs of being willing to go back to the roots, which are the solutions that were presented during the early Solvay conferences but, because of some weird tweak of the history of science, and despite the warnings of intellectual giants such as H.A. Lorentz, Ehrenfest, or Einstein (and also Dirac or Bell in the latter half of their lifes), were discarded. I have come to the conclusion that modern-day scientists cannot be fashionable when admitting all mysteries have actually been solved long time ago.]
The key observation or contradiction is this: the formalism of modern quantum mechanics deals with all particles – stable or unstable – as point objects: they are supposed to have no internal structure. At the same time, a whole new range of what used to be thought of as intermediate mental constructs or temporary classifications – think of quarks here, or of the boson-fermion dichotomy – acquired ontological status. We lamented that in one of very first papers (titled: the difference between a theory, a calculation and an explanation), which has few formulas and is, therefore, a much easier read than the others.
Some of my posts on this blog here were far more scathing and, therefore, not suitable to write out in papers. See, for example, my Smoking Gun Physics post, in which I talk much more loudly (but also more unscientifically) about the ontologicalization of quarks and all these theoretical force-carrying particles that physicists have invented over the past 50 years or so.
My point of view is clear and unambiguous: photons and neutrinos (both of which can be observed and measured) will do. The rest (the analysis of decay and the chain of reactions after high-energy collisions, mainly) can be analyzed using scattering matrices and other classical techniques (on that, I did write a paper highlighting the proposals of more enlightened people than me, like Bombardelli, 2016, even if I think researchers like Bombardelli should push back to basics even more than they do). By the way, I should probably go much further in my photon and neutrino models, but time prevented me from doing so. In any case, I did update and put an older paper of mine online, with some added thoughts on recent experiments that seem to confirm neutrinos have some rest mass. That is only what is to be expected, I would think. Have a look at it.
[…]
This is a rather lengthy introduction to the topic I want to write about for my public here, which is people like you and me: (amateur) physicists who want to make sense of all that is out there. So I will make a small summary of an equation I was never interested in: Dirac’s wave equation. Why my lack of interest before, and my renewed interest now?
The reason is this: Feynman clearly never believed Dirac’s equation added anything to Schrödinger’s, because he does not even mention it in his rather Lectures which, I believe, are, today still, truly seminal even if they do not go into all of the stuff mainstream quantum physicists today believe to be true (which is, I repeat, all of the metaphysics around quarks and gluons and force-carrying bosons and all that). So I did not bother to dig into it.
However, when revising my paper on de Broglie’s matter-wave, I realized that I should have analyzed Dirac’s equation too, because I do analyze Schrödinger’s wave equation there (which makes sense), and also comment on the Klein-Gordon wave equation (which, just like Dirac’s, does not make much of an impression on me). Hence, I would say my renewed interest is only there because I wanted to tidy up a little corner in this kitchen of mine. 🙂
I will stop rambling now, and get on with it.
Dirac’s wave equation: concepts and issues
We should start by reminding ourselves what a wave equation actually is: it models how waves – sound waves, or electromagnetic waves, or – in this particular case – a ‘wavicle’ or wave-particle – propagate in space and in time. As such, it is often said they model the properties of the medium (think of properties such as elasticity, density, permittivity or permeability here) but, because we do no longer think of spacetime as an aether, quantum-mechanical wave equations are far more abstract.
I should insert a personal note here. I do have a personal opinion on the presumed reality of spacetime. It is not very solid, perhaps, because I oscillate between (1) Kant’s intuition, thinking that space and time are mental constructs only, which our mind uses to structure its impressions (we are talking science here, so I should say: our measurements) versus (2) the idea that the 2D or 3D oscillations of pointlike charges within, say, an electron, a proton or a muon-electron must involve some kind of elasticity of the ‘medium’ that we commonly refer to as spacetime (I’d say that is more in line with Wittgenstein’s philosophy of reality). I should look it up but I think I do talk about the elasticity of spacetime at one or two occasions in my papers that talk about internal forces in particles, or papers in which I dig deep into the potentials that may or may not drive these oscillations. I am not sure how far I go there. Probably too far. But if properties such as vacuum permittivity or permeability are generally accepted, then why not think of elasticity? However, I did try to remain very cautious when it comes to postulating properties of the so-called spacetime vacuum, as evidenced from what I write in one of the referenced papers above:
“Besides proving that the argument of the wavefunction is relativistically invariant, this [analysis of the argument of the wavefunction] also demonstrates the relativistic invariance of the Planck-Einstein relation when modelling elementary particles.[1] This is why we feel that the argument of the wavefunction (and the wavefunction itself) is more real – in a physical sense – than the various wave equations (Schrödinger, Dirac, or Klein-Gordon) for which it is some solution. In any case, a wave equation usually models the properties of the medium in which a wave propagates. We do not think the medium in which the matter-wave propagates is any different from the medium in which electromagnetic waves propagate. That medium is generally referred to as the vacuum and, whether or not you think of it as true nothingness or some medium, we think Maxwell’s equations – which establishes the speed of light as an absolute constant – model the properties of it sufficiently well! We, therefore, think superluminal phase velocities are not possible, which is why we think de Broglie’s conceptualization of a matter particle as a wavepacket – rather than one single wave – is erroneous.[2]“
The basic idea is this: if the vacuum is true nothingness, then it cannot have any properties, right? 🙂 That is why I call the spacetime vacuum, as it is being modelled in modern physics, a so-called vacuum. 🙂
[…] I guess I am rambling again, and so I should get back to the matter at hand, and quite literally so, because we are effectively talking about real-life matter here. To be precise, we are talking about Dirac’s view of an electron moving in free space. Let me add the following clarification, just to make sure we understand exactly what we are talking about: free space is space without any potential in it: no electromagnetic, gravitational or other fields you might think of.
In reality, such free space does not exist: it is just one of those idealizations which we need to model reality. All of real-life space – the Universe we live in, in other words – has potential energy in it: electromagnetic and/or gravitational potential energy (no other potential energy has been convincingly demonstrated so far, so I will not add to the confusion by suggesting there might be more). Hence, there is no such thing as free space.
What am I saying here? I am just saying that it is not bad that we remind ourselves of the fact that Dirac’s construction is theoretical from the outset. To me, it feels like trying to present electromagnetism by making full abstraction of the magnetic side of the electromagnetic force. That is all that I am saying here. Nothing more, nothing less. No offense to the greatness of a mind like Dirac’s.
[…] I may have lost you as a reader just now, so let me try to get you back: Dirac’s wave equation. Right. Dirac develops it in two rather dense sections of his Principles of Quantum Mechanics, which I will not try to summarize here. I want to make it easy for the reader, so I will limit myself to an analysis of the very first principle(s) which Dirac develops in his Nobel Prize Lecture. It is this (relativistically correct) energy equation:
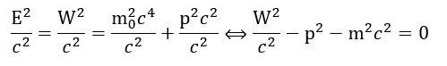
E2 = m02c4 + p2c2
This equation may look unfamiliar to you but, frankly, if you are familiar with the basics of relativity theory, it should not come across as weird or unfathomable. It is one of the many basic ways of expressing relativity theory, as evidenced from the fact that Richard Feynman introduces this equation as part of his very first volume of his Lectures on Physics, and in one of the more basic chapters of it: just click on the link and work yourself through it: you will see it is just another rendering of Einstein’s mass-equivalence relation (E = mc2).
The point is this: it is very easy now to understand Dirac’s basic energy equation: the one he uses to then go from variables to quantum-mechanical operators and all of the other mathematically correct hocus-pocus that result in his wave equation. Just substitute E = mc2 for W, and then divide all by c2:
So here you are. All the rest is the usual hocus-pocus: we substitute classical variables by operators, and then we let them operate on a wavefunction (wave equations may or may not describe the medium, but wavefunctions surely do describe real-life particles), and then we have a complicated differential equation to solve and – as we made abundantly clear in this and other papers (one that you may want to read is my brief history of quantum-mechanical ideas, because I had a lot of fun writing that one, and it is not technical at all) – when you do that, you will find non-sensical solutions, except for the one that Schrödinger pointed out: the Zitterbewegung electron, which we believe corresponds to the real-life electron.
I will wrap this up (although you will say I have not done my job yet) by quoting quotes and comments from my de Broglie paper:
Prof. H. Pleijel, then Chairman of the Nobel Committee for Physics of the Royal Swedish Academy of Sciences, dutifully notes this rather inconvenient property in the ceremonial speech for the 1933 Nobel Prize, which was awarded to Heisenberg for nothing less than “the creation of quantum mechanics”[1]:
“Matter is formed or represented by a great number of this kind of waves which have somewhat different velocities of propagation and such phase that they combine at the point in question. Such a system of waves forms a crest which propagates itself with quite a different velocity from that of its component waves, this velocity being the so-called group velocity. Such a wave crest represents a material point which is thus either formed by it or connected with it, and is called a wave packet. […] As a result of this theory, one is forced to the conclusion to conceive of matter as not being durable, or that it can have definite extension in space. The waves, which form the matter, travel, in fact, with different velocity and must, therefore, sooner or later separate. Matter changes form and extent in space. The picture which has been created, of matter being composed of unchangeable particles, must be modified.”
This should sound very familiar to you. However, it is, obviously, not true: real-life particles – electrons or atoms traveling in space – do not dissipate. Matter may change form and extent in space a little bit – such as, for example, when we are forcing them through one or two slits[2] – but not fundamentally so![3]
We repeat again, in very plain language this time: Dirac’s wave equation is essentially useless, except for the fact that it actually models the electron itself. That is why only one of its solutions make sense, and that is the very trivial solution which Schrödinger pointed out: the Zitterbewegung electron, which we believe corresponds to the real-life electron. 🙂 It just goes through space and time like any ordinary particle would do, but its trajectory is not given by Dirac’s wave equation. In contrast, Schrödinger’s wave equation (with or without a potential being present: in free or non-free space, in other words) does the trick and – against mainstream theory – I dare say, after analysis of its origins, that it is relativistically correct. Its only drawback is that it does not incorporate the most essential property of an elementary particle: its spin. That is why it models electron pairs rather than individual electrons.
We can easily generalize to protons or other elementary or non-elementary particles. For a deeper discussion of Dirac’s wave equation (which is what you probably expected), I must refer, once again, to Annex II of my paper on the interpretation of de Broglie’s matter-wave: it is all there, really, and – glancing at it all once again – the math is actually quite basic. In any case, paraphrasing Euclid in his reply to King Ptolemy’s question, I would say that there is no royal road to quantum mechanics. One must go through its formalism and, far more important, its history of thought. 🙂
To conclude, I would like to return to one of the remarks I made in the introduction. What about the properties of the vacuum? I will remain cautious and, hence, not answer that question. I prefer to let you think about this rather primitive classification of what is relative and not, and how the equations in physics mix both of it. 🙂

[1] To be precise, Heisenberg got a postponed prize from 1932. Erwin Schrödinger and Paul A.M. Dirac jointly got the 1933 prize. Prof. Pleijel acknowledges all three in more or less equal terms in the introduction of his speech: “This year’s Nobel Prizes for Physics are dedicated to the new atomic physics. The prizes, which the Academy of Sciences has at its disposal, have namely been awarded to those men, Heisenberg, Schrödinger, and Dirac, who have created and developed the basic ideas of modern atomic physics.”
[2] The wave-particle duality of the ring current model should easily explain single-electron diffraction and interference (the electromagnetic oscillation which keeps the charge swirling would necessarily interfere with itself when being forced through one or two slits), but we have not had the time to engage in detailed research here.
[3] We will slightly nuance this statement later but we will not fundamentally alter it. We think of matter-particles as an electric charge in motion. Hence, as it acts on a charge, the nature of the centripetal force that keeps the particle together must be electromagnetic. Matter-particles, therefore, combine wave-particle duality. Of course, it makes a difference when this electromagnetic oscillation, and the electric charge, move through a slit or in free space. We will come back to this later. The point to note is: matter-particles do not dissipate. Feynman actually notes that at the very beginning of his Lectures on quantum mechanics, when describing the double-slit experiment for electrons: “Electrons always arrive in identical lumps.”
[1] The relativistic invariance of the Planck-Einstein relation emerges from other problems, of course. However, we see the added value of the model here in providing a geometric interpretation: the Planck-Einstein relation effectively models the integrity of a particle here.
[2] See our paper on matter-waves, amplitudes, and signals.
New horizons
Looking back and forward
I want to revive this blog. I have not written anything substantially new since a very long time (OK, all is relative: since one year only), except short posts pointing to a new paper when I put one online on my ResearchGate site. However, I have started to think my blog is still worthwhile. I effectively keep getting a few likes here and there (if only from a handful of some of the followers (only 186 people in total, which is not a whole lot), and the sheer size and history of this blog suggests it can be revived rather easily: when I worked rather intensively on it (second half of 2022 and first half of 2021, basically), the stats did see a significant surge according to the site’s statistical dashboard (below).

Of course, a lot (if not most) of this traffic is semi-automatic because it is driven by hash tags out there on rather arcane topics such as Maxwell-Boltzmann and Bose-Einstein versus Fermi-Dirac statistics (I cannot imagine the top posts that WordPress automatically lists on this site are really top posts), but I will think positively of this and, yes, try to present both simpler as well as more relevant material in the coming years. In short: I feel like going at it again.
The problem with writing blog posts is that the process is rather tedious when it comes to quickly inserting some mathematical formula or argument to make a point (which is what, inevitably, one has to do when writing about physics), but I guess that is also why the readers of this blog turn to a blog rather than to my ResearchGate papers: they do not necessarily want to dig into all of the formulas. Hence, I need to separate out the two. Not to separate the two audiences, because I do believe the two audiences are similar: both are searching for some kind of truth or explanation (as opposed to a calculation), right? I just need to work harder on using the blog to highlight essential points, and then point to the papers for the math behind it.
Before I try my hand at that, let me say a few things about the papers. These papers are and remain working papers: I have academic credentials, but not in this field (quantum physics), which is why I will probably never really break through mainstream academic thought on all of the topics I write about. I gave up on trying to publish in journals or get a book published by a publisher. I tried several scientific publishers but, despite of all the hard work involved in making sure you get copyright on illustrations, and inserting more bibliographic detail, it did not work out. I stick to Einstein’s style: few references, because I believe the logic should speak for itself and, hence, one should only use what is strictly necessary and relevant in this regard, so as to improve readability (I feel that I use too many footnotes in my papers already, so more bibliographic detail would further downgrade the flow of my papers).
Nevertheless, papers like the one on my interpretation on the de Broglie frequencies as orbital rather than linear frequencies get high RI (research interest) scores on that RG site: the score of that particular paper, for example, is higher than 96% of all research items published in 2020). The RI scores of my rather critical papers on the formalism of quantum math and on the boundaries between Maxwell’s equations and the world of the smallest of small field oscillations (both of which I revised recently) are equally impressive in my, yes, not-so-humble (not anymore) view (the RI scores of these two papers are higher than 90% of all research items published in 2020). More relevant, of course, is the CV of the people who download them, most of which have that one PhD (in physics) which I am lacking (I got on ResearchGate because I could demonstrate I had published scientific papers in other fields in a far-gone past – mainly economics, as I once was an assistant professor working on a PhD in econometrics, which I did not finish, as a result of which I only have an old Doctor in Science (Drs) title, which is a rather particular title that is no longer valid).
In fact, I sometimes think I might get censured on RG for that one day, but I do not think so: my overall RI score in the field of quantum physics is now higher than 70% of researchers in the same field, despite me publishing these working papers on RG only since 2020. The quick rise and interest is evidenced by the fact that my overall RG score remains stubbornly higher than 99% of ResearchGate members who first published in 2020. Again, this does not prove much, perhaps, but it should convince both you as well as myself that I am not some kind of Cosmic Stan, although I did have my bad moments while pushing myself very hard on the very questions that drove geniuses like Ehrenfest into depression or, in his particular case, suicide.
Sure, I did have my bad moments too, as evidenced in this 2020 blog post at the occasion of Freeman Dyson’s demise. However, I will keep it there, if only because it mentions Oliver Consa, whose instinct (something is rotten in the state of modern physics) I share, but he was (and probably still is not) in a mood to collaborate on anything. If you read this blog, I recommend you read his article, which suggests the mysteries of quantum physics are there and are being perpetuated because of a weird mix of post-war secrecy around atomic physics and, much more probable now (the second world war is only a distant memory now), manipulation by a select group of academics aimed at keeping research money flowing.
Ten or twenty years ago, I would have dismissed such thinking out of hand, but I have myself been subject to rather weird attempts to take down this very blog of mine. I was surprised because I am quite vocal on social media, such as LinkedIn or Twitter, and I also have other blogs, on other topics that are often quite controversial (on current tensions between the US, Europe, Russia and China, or other questions of war and peace, for example), and I did not experience anything like that there. It may be Sayre’s Law: “Academic politics is much more vicious than real politics, because the stakes are so small.”
In any case, let us get back to the matter at hand: this blog and its future. What do I want to do with it? What can I usefully do with it? One experiment I want to try out is to distill the essence out of my papers as I have started a process of revising them one by one. Yes, unlike what I wrote about in the overall Post Scriptum to all of my 29 papers (that it was too much work to do that, basically), I think I should do that. I am getting older and, hence, I now think of that as a rather nice pastime.
So, I will stop rambling and make a first attempt at elucidating some aspects of my world vision, so to speak, for the intermediate-level hobbyist. To be clear on what I mean with that: I still consider myself to be an intermediate-level hobbyist as well but, looking at those RG stats, I think I might have it easier with some of the mathematical formalism than others, so that is why I am going to try to avoid it.
Let us go for it. In the next section(s) of this blog post, I am going to condense and distill the key conclusions in regard to the essential nature of mass, because that is still the question that intrigues most of us: what is it – not approximately, but exactly? If we know what matter is all about, then we know, pretty much, what reality is all about, right? Maybe. Maybe not. We miss a great deal about the mystery of fields and radiation but, yes, it is an important piece of the whole intellectual puzzle, so let us start here.
The nature of mass
We explained the nature of mass in our papers on elementary physics.[1] However, we did use rather advanced mathematical concepts (if you are not familiar with imaginary units or vector algebra, that is), so let us summarize the very basics here.
At the macro-level, mass appears as inertia to a change in the state of linear motion of an object or particle. That is how it appears in Newton’s first law of motion which – in its relativistically correct form – is written as F = dp/dt = d(m·v)/dt.[2] Now, the idea of a particle is a philosophical or ontological concept and we will, therefore, avoid it – to some extent, at least – and prefer to speak of things we can measure, such as charge and, yes, mass. We will also speak of physical laws because these are based on measurements too.
Now I do have to insert one formula. It is simple (just a formula that says a rather particular ratio is equal to some number). Try to think through it. From the Planck-Einstein and mass-energy equivalence relations (E = h·f and E = m·c2, so h·f = m·c2), we get the following fundamental equation for a frequency per unit mass (f/m or, expressing frequency in radians per second rather than cycles per second, ω/m):
f/m = c2/h = 1.35639248965213×1050
This humongous value[3] is an exact value since the 2019 redefinition of SI units, which fixed the value of ħ, and just like c and ħ, you may think of it as some God-given number but you should not do that: just like the fine-structure constant[4], this is just a number which we derived from a more limited number of fundamental constants of Nature. [Of course, you will note that the number depends on the units, and that both the second and the kg are very large units when talking about small things, but you can recalculate the number using other units, just like you can do that for other constants.]
The point is this: this simple formula, and that enormous number, reflect the true nature of mass at the micro-level. You must appreciate that is quite different from mass being, at the macro-level, a measure of inertia. At the most fundamental level, matter is nothing but charge in motion. Such interpretation may not be mainstream (although it should be, judging from how physicists actually treat matter) but it is consistent with Wheeler’s ‘mass without mass’ ideas and – more importantly, probably – with the 2019 revision of the system of SI units, in which mass also appears as a derived unit from more fundamental constants now, most notably Planck’s constant.
This f/m ratio is, of course, valid for all matter or – let us be precise – for all (stable) elementary particles.[5] However, it is important to note that, while the f/m ratio is the same for both the electron as well as the proton mass, the q/me and q/mp ratios are, obviously, very different. We, therefore, do associate two very different charge oscillations with them: we think of the electron and proton as a two- and three-dimensional ring current, respectively. Hence, while these specific oscillator equations are, theoretically and mathematically, compatible with any mass number, we do not think of the electron and proton energies as variables but as constants of Nature themselves.
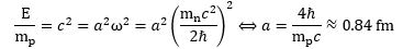
In short, we must think of the electron and the proton mass as fundamental constants too because, as far as we know, these are the only two stable constituents of matter, and they also incorporate the negative and positive elementary charge, respectively.[6] The f/m = c2/h formula above holds for both and, combined with Newton’s force law (m = F/a: mass as inertia to change of (a state of) motion), we conclude that the mass idea is one single concept but that we should, at the very minimum, distinguish between electron and proton mass. Of course, Einstein’s mass-energy relation tells us it might be better to just talk about two fundamental energy levels (Ee and Ep), and to re-write the f/m = c2/h expression above as the Planck-Einstein relation applied to two (different) oscillations. We insert the mathematical representation of that idea below too, but do not worry too much about it:
As mentioned above, in the realist interpretation we have been pursuing, we effective think of the two oscillations as a planar and a spherical oscillation, respectively, which is reflected in the wavefunction which we use to represent the electron and proton, respectively. Indeed, the effective radius of a free electron follows directly from the orbital velocity formula v = c = ω´r = ω´a and the Planck-Einstein relation[7]:
The point here is not to burden you with formulas (we said we would not, but we cannot help it here), but to show you how easy it is to get the measurable properties of the electron from the basic equations. Now that we are doing that, we will also quickly introduce the wavefunction of both the electron and the proton, although you can skip through the next paragraphs if you would not like that (we are just doing it for the more academic or advanced reader, to show that we are not afraid of the math and formalism). We write the wavefunction of an electron as:
This notation introduces the imaginary unit, which serves as a rotation operator and, therefore, denotes the plane of oscillation. The sign of the imaginary unit (±) indicates the direction of spin and, interpreting 1 and –1 as complex numbers (cf. the boldface notation), we do not treat ± p as a common phase factor.[8]
As mentioned several times already, we think of the proton oscillation as an orbital oscillation in three rather than just two dimensions. We, therefore, have two (perpendicular) orbital oscillations, with the frequency of each of the oscillators given by ω = E/2ħ = mc2/2ħ (energy equipartition theorem), and with each of the two perpendicular oscillations packing one half-unit of ħ only.[9] Such spherical view of a proton fits with packing models for nucleons and yields the experimentally measured radius of a proton:
The 4 factor here is the one distinguishing the formula for the surface of a sphere (A = 4πr2) from the surface of a disc (A = πr2).[10] So do we consider the (in)famous proton radius puzzle solved? Yes. We do. Let us – for the more advanced reader again – write the proton wavefunction. We think of it as a combination of two elementary wavefunctions:
While the electron and proton oscillation are very different, the calculations of their magnetic moment based on a ring current model (with a square root correction to take the spherical nature of the proton into account) strongly suggest the nature of both oscillations and, therefore, the nature of all mass, is electromagnetic. However, we may refer to the electron and proton mass as electromagnetic and nuclear mass respectively because protons (and neutrons) make up most of the mass of atomic nuclei[11], while electrons explain the electromagnetic interaction(s) between atoms and, therefore, explain molecular shapes and other physical phenomena.
Finally, the two oscillations may be associated with the two lightlike particles we find in Nature: photons and neutrinos. These lightlike particles carry energy (but no charge) but are traditionally associated with electromagnetic and nuclear reactions respectively (emission and/or absorption of photons/neutrinos, respectively), which also explains why referring to the three-dimensional proton oscillation as a nuclear oscillation makes sense.[12]
Is that it, then? You may have a few immediate reactions and one of them would be this: we reduce mass to charge in motion here. So what is charge, then? And can we reduce charge to something else. It would take me quite a bit of text to reply to that, so I will only be short here.
First, getting rid of one concept in physics is already a great simplification, and we cannot get rid of the concept of charge by reducing it to mass. In contrast, we do have this nice ‘mass without mass’ model here, and so that is great. Second, never forget that mass (and energy) are relative: you will measure them differently in different reference frames. In contrast, charge is absolute: the proton and electron charge are a unit of charge that does not change depending on your frame of reference. It is just like the speed of light, or Planck’s constant: these constants are c and h, respectively. They are absolute. So that is why we can get rid of the mass concept, so to speak. We cannot get rid of (electric) charge.
So, this is it. See you next time (for my next post, that is)?
[1] See our papers in our K-12 level physics series.
[2] The formula is relativistically correct because both m and v are not constant: they are functions varying in time as well and that is why we cannot easily take them out of the d()/dt brackets.
[3] A number with 50 zeros would be referred to as one hundred quindecillion (using the Anglo-Saxon short scale) or one hundred octillions (using the non-English long scale of naming such astronomic numbers).
[4] The fine-structure constant pops up in electromagnetic theory, and is co-defined with the electric and magnetic constants. Their CODATA values are related as follows:
[5] Note that the electron and proton (and their anti-matter counterparts) are stable, but the neutron (as a free particle, i.e., outside of a nucleus) is not, even if its average lifetime (almost 15 minutes) is very large as compared to other non-stable particles.
[6] As mentioned above, the neutron is only stable inside of the nucleus, and we think of it as a combination of a positive and negative charge. It is, therefore, reducible and, as such, not truly elementary. However, such view is, obviously, part of another speculative model of ours and, hence, should not be a concern to the reader here.
[7] We write this as a vector cross-product, and assume an idealized circular orbital when writing the position vector r as a wavefunction r = ψ = a·e±iθ = a·[cos(±θ) + i · sin(±θ)]. The magnitude ½r½is, obviously, equal to ½a·e±iθ ½ = a. This is a variant of Wheeler’s mass-without-mass model because the model assumes a pointlike (but not necessarily infinitesimally small or zero-dimensional) charge, whose rest mass is zero and, therefore, moves at lightspeed and acquires relativistic mass only. As such, it is photon-like, but photons (light-particles) carry no charge. The a = r notation may be somewhat confusing because a is also used to denote acceleration¾an entirely different concept, of course!
[8] See our paper on Euler’s wavefunction and the double life of -1, October 2018. This paper is one of our very early papers – a time during which we developed early intuitions – and we were not publishing on RG then. We basically take Feynman’s argument on base transformations apart. The logic is valid, but we should probably review and rewrite the paper in light of the more precise intuitions and arguments we developed since then, even if – as mentioned – I have no doubt as to the validity of the argument.
[9] Such half-units of ħ for linearly polarized waves also explains the results of Mach-Zehnder one-photon interference experiments. There is no mystery here.
[10] We also have the same 1/4p factor in the formula for the electric constant, and for exactly the same reason (Gauss’ law).
[11] Binding energy – also electromagnetic in nature – makes up for the rest.
[12] See our paper on the nuclear force hypothesis, April 2021.
Post Scriptum
I made a start with annotating all of my papers. I will arrange them in a paper of itself: working paper no. 30 on ResearchGate. I will date it on 6 December when finished, in honor of one my brothers who died on that day (6 December), from a cancer that visited me too. Jean-Claude was his name. He was a great guy. I miss him, and sometimes feel guilty of having survived. Hereunder follows the first draft – a sort of preview for those who like this blog and have encouraged me to go on.
Post scriptum: The final paper is here and so you can click and download, rather than go through the draft underneath.
Introduction
The 29 papers which I published on ResearchGate end a long period of personal research, which started in earnest when I sent my very first paper, as a young student in applied economics and philosophy, to the 1995 ‘Einstein meets Magritte’ Conference in Brussels. I do no longer have that paper, but I remember it vehemently defended the point of view that the ‘uncertainty’ as modeled in the Uncertainty Principle must be some kind of statistical determinism: what else can it be? Paraphrasing the words of H.A. Lorentz, at the occasion of the 1927 Solvay Conference, a few months before his death, there is, effectively, no need to elevate indeterminism to a philosophical principle: scientists must keep determinism has to be kept as ‘an object of faith.’ That is what science is all about. All that is needed is to replace our notion of predictability by the notion of statistical determinism: we can no longer predict what is going to happen, because we can or do not know the initial conditions, or because our measurement disturbs the phenomenon we are analyzing, but that is it. There is nothing more to it. That is what Heisenberg’s now rather infamous Uncertainty Principle is all about it: it is just what he originally thought about it himself.
I found the metaphor of a fast-rotating airplane propeller a very apt one[1], and several people who wrote me also said it made them see what it was all about. One cannot say where the blades are, exactly, and if you would shoot bullets through it, those bullets will either hit a blade and be deflected or will, quite simply, just go straight through. There is no third possibility. We can only describe the moving propeller in terms of some density in space. This is why the probabilities in quantum physics are proportional to mass densities or, what amounts to the same because of Einstein’s mass-energy equivalence relation, energy densities.
The propeller metaphor is useful in other contexts too. It explains quantum-mechanical tunneling, for example: if one thinks of matter-particles as pointlike charges in motion – which is what we do[2] – then the fields that surround them will be dynamic and, therefore, be like a propeller too: at one particular point in space and in time, the field will have a magnitude and a direction that will not allow another particle (think of it as a bullet) to get through – as the field acts as a force on the charge – but ‘holes appear in the wall’, so to speak, and they do so in a regular fashion, and then the incoming particle’s kinetic energy – while lower than the average potential energy of the barrier – will carry it through. There is, therefore, nothing weird or mysterious about tunneling.
Many more examples may be mentioned, but then I would be rewriting my papers, and that is not the purpose of this one, which is to conclude my research by revisiting and commenting on the rather vast mass of paper I produced previously: 29 papers in just one year (April 2020 – April 2021). These papers did not bring me fame, but did generate enough of a readership to produce a decent RG score – as evidenced below (sorry if this looks egotistical: it is not meant that way[3]).
I have effectively been ridiculed by family, friends and – sadly – by quite a few fellow searchers for truth. But I have also been encouraged, and I prefer to remember the encouragements. One of my blog posts writes about the suicide of Paul Ehrenfest and other personal tragedies in the history of physics. It notes a remark from a former diplomat-friend of mine, who remarked this: “It is good you are studying physics only as a pastime. Professional physicists are often troubled people—miserable.”
I found it an interesting observation from a highly intelligent outsider who, as a diplomat, meets many people with very different backgrounds. I do understand this strange need to probe things at the deepest level—to be able to explain what might or might not be the case (I am using Wittgenstein’s definition of reality here). I also note all of the founding fathers of quantum mechanics ended up becoming pretty skeptical about the theory they had created. Even John Stewart Bell – one of the more famous figures in what may be referred to as the third generation of quantum physicists – did not like his own ‘No Go Theorem’ and thought that some “radical conceptual renewal”[4] might disprove his conclusions.
It sounds arrogant, but I think my papers are representative of such renewal. It is, as great thinkers in the past would have said, an idea whose time has come. Einstein’s ‘unfinished revolution’ – as Lee Smolin calls it – was finished quite a while ago, but mainstream researchers just refuse to accept that.[5] And those researchers who think quantum physicists are ‘lost in math’ are right but, unfortunately, usually make no effort by speaking up and showing the rather obvious way out. Sabine Hossenfelder uses as much guru-like talk as a Sean Carroll.[6]
So what is this paper about?
In May this year, after finishing what I thought of as my last paper on quantum physics, I went to hospital for surgery. Last year, one of my brothers died from prostate cancer at a rather young age: 56, my age bracket. He had been diagnosed but opted for a more experimental treatment instead of the usual surgery that is done, because the consequences of the surgery are effectively very unpleasant and take a lot of joy out of life. I spent a week in a hospital bed, and then a month in my bed at home. I stopped writing. I gave up other things too: I stopped doing sports, and picked up smoking instead. It is a bad habit: Einstein was a smoker and – like me – did not drink, but smoking is bad for health. I feel it. I will quit smoking too, one day – but not now.
The point is: after a long break (more than six months), I did start to engage again in a few conversations, and I also looked at my 29 papers on my ResearchGate page again, and I realized some of them should really be re-written or re-packaged so as to ensure a good flow. I also note now that some of the approaches were more productive than others (some did not lead anywhere at all, actually), and so I felt like I should point those out. There are some errors in logic here and there too (small ones, I think, but errors nevertheless), and then quite some typos.[7] Hence, I thought I should, perhaps, produce an annotated version of these papers, with comments and corrections as mark-ups. Re-writing or re-structuring all of them would require too much work, so I do not want to go there.
So that is what this paper is about: I printed all of the papers, and I will quickly jot down some remarks so as to guide the reader through the package, and alert them to things I thought of good stuff at the time (otherwise I would not have written about it), but that I do think of as not-so-great now.
Before I do so, I should probably make a few general remarks. Let me separate those out in yet another introductory section of this paper.
General remarks
1. The first remark is that I do repeat a few things quite a lot – across and within these papers. Too much, perhaps. However, there is one thing I just cannot repeat enough: one should not think of the matter-wave as something linear. It is an orbital oscillation. This is really where the Old Great Men went wrong. The paper that has been downloaded the most is, effectively, the one on what I refer to as de Broglie’s mistake: the intuition of the young Louis de Broglie that an electron has a frequency was a stroke of genius (and, fortunately, Einstein immediately saw this, so he could bring this young scientist under the attention of everyone else), but this frequency is an orbital frequency. That, I repeat a lot – because only a few people seem to get that (with ‘a few’, I mean the few thousand people who download that paper).
Having said that, I did not do a good job at pointing out the issues with Dirac’s wave equation: I sort of dismiss it out of hand referring to Oppenheimer and Dirac’s discussion at the occasion of the first post-WW II Solvay Conference in my brief history paper on quantum-mechanical ideas, during which they both agree it does not work but fail to provide a consistent alternative. However, I never elaborated on why the equation does not work, so let me do this now.
The reason that it does not work is, basically, the same as the reason why de Broglie’s wave-packet idea does not work: Dirac’s equation is based on the relativistic energy-momentum relation. Just look at Dirac’s 1933 Nobel Prize lecture, in which he gives us the basic equation he used to derive his (in)famous wave equation:
W2/c2 – pr2 – m2/c2 = 0
Dirac does not bother to tell us but this is, basically, just the relativistic energy-momentum relationship: m02c4 = E2 – p2c2 (see, for example, Feynman-I-16, formula 16.13). Indeed: just divide this formula by c2 and re-arrange and you get Dirac’s equation. That is why Dirac’s wave equation is essentially useless: it incorporates linear momentum only. As such, it repeats de Broglie’s mistake, and that is to interpret the ‘de Broglie’ wavelength as something linear. It is not: frequencies, wavelengths are orbital frequencies and orbital circumferences. So anything you would want to do with energy equations that are based on that, leads nowhere[8]: one has to incorporate the reality of spin from the start. Spin-zero particles do not exist and any modeling that starts off from modeling spin-zero particles, therefore, fails: you cannot put spin back in through the back door once you are done with the basic model, so to speak. It just does not work. It is what gives us, for example, those nonsensical 720-degree symmetries, which prevent us from understanding what is actually happening.
2. The second remark that I should make is that I did not pay enough attention to the analysis of light-particles: photons and neutrinos and, possibly, their antiforce or antimatter counterparts. Huh? Their anti-force counterparts? Yes. Remember: energy is measured as a force over a distance, and a force acts on a charge. And then Einstein’s energy-mass energy equivalence relation tells us we should think of mass in terms of energy. Hence, if we know the force, we have got everything. Electrons and protons have a very different charge/mass ratio (q/m) and, therefore, involve two very different forces, even if we think of these two very different forces – which we could refer to as ‘weak’ and ‘strong’ respectively, but that would generate too much confusion because these terms have already been used – as acting on the same charge.
I refer to my paper(s) on this: the hypothesis is, basically, that we have two different forces, indeed! One that keeps, say, the electron together, which is nothing but the electromagnetic force, and one that is much stronger and seems to have a somewhat different structure. That is the force that keeps a muon-electron or a proton together. The structure of this much stronger force is the same because it also acts on a charge, and we also have two field vectors: think of the magnetic field vector lagging the electric field by 90 degrees. However, it is also not the same because the form factor differs: orbital oscillations can be either planar or spherical (2D or 3D).
I will not go into the detail here – again, I would be rewriting the papers, which is not what I want to do here – but the point is that antimatter is defined by an antiforce, which sees the magnetic field vector preceding the electric field vector by the same phase difference (90 degrees). It is just an application of Occam’s Razor Principle: the very same principle which made Dirac predict the existence of the positron: if the math shows there is some possibility of something else existing – a positively charged ‘electron’, at the time – then that possibility must be real, and we must find ‘that thing’. The history of science has shown scientists always did.
That is all clear enough (or not), but so the point here is this: the lightlike particles (photons and neutrinos) that carry the electromagnetic and nuclear force respectively (I refer to that strong(er) force as ‘nuclear’ for rather obvious reasons[9]) must have anti-counterparts: antiphotons and antineutrinos. And so I regret that I did not do too much analysis on that. I am pretty sure, for example, that antiphotons must play a role in the creation of electron-positron pairs in experiments such as SLAC’s E144 experiment (pair production out of light-on-light (photonic) interaction).
In short, I regret I did not have enough time and/or inspiration to analyze such things much more in detail than I did in my paper on matter-antimatter pair production/annihilation, especially because that is a paper that gets a lot of downloads too, so I feel I should rework it to present more material and better analysis. It is unfortunate that energy and time is limited in a man’s life. The question is, effectively, very interesting because the ‘world view’ that emerges from my papers is a rather dualistic one: we have the concept of charge on the one hand, and the concept of a field on the other. Matter-antimatter pair creation/annihilation from/into photons suggest that charge may, after all, be reducible to something that is even more fundamental. That is why I bought a rather difficult book on chiral field theory (Lähde and Meißner, Nuclear Lattice Effective Field Theory, 2019), but an analysis of that will probably be a retirement project or something.
3. The remark above directly relates to something else I think I did not do so well, and that is to explain Mach-Zehnder interference by a model in which we think of circularly polarized photons (or elliptically polarized, I should say, to be somewhat more general) as consisting of two linear components, which we may actually split from each other by a beam splitter. That takes the mystery out of Mach-Zehnder interference, but I acknowledge my analysis in a paper like my ‘K-12 level paper’ on quantum behavior (which gives a one-page overview of the logic) may be too short to convince skeptical readers. The Annex to my rather philosophical paper on the difference between a theory, a calculation and an explanation is better, but even there I should have gone much further than I did.[10]
4. I wrote quite a few papers that aim to develop a credible neutron and/or deuteron model. I think of the neutron in very much the same way as Ernest Rutherford, the intellectual giant who first hypothesized the existence of the neutron based on cosmological research, thought about neutrons: a positively charged proton or other nuclear particle attached to some kind of deep electron.[11] It is worth quoting his instinct on this, as expressed at the occasion of the 1921 Solvay Conference, in response to a question during the discussions on Rutherford’s paper on the possibility of nuclear synthesis in stars or nebulae from the French physicist Jean Baptiste Perrin who, independently from the American chemist William Draper Harkins, had proposed the possibility of hydrogen fusion just the year before (1919):
“We can, in fact, think of enormous energies being released from hydrogen nuclei merging to form helium—much larger energies than what can come from the Kelvin-Helmholtz mechanism.[12] I have been thinking that the hydrogen in the nebulae might come from particles which we may refer to as ‘neutrons’: these would consist of a positive nucleus with an electron at an exceedingly small distance (“un noyau positif avec un électron à toute petite distance“[13]). These would mediate the assembly of the nuclei of more massive elements. It is, otherwise, difficult to understand how the positively charged particles could come together against the repulsive force that pushes them apart—unless we would envisage they are driven by enormous velocities.”
We may add that, just to make sure he gets this right, Rutherford is immediately requested to elaborate his point by the Danish physicist Martin Knudsen, who asks him this: “What’s the difference between a hydrogen atom and this neutron?” Rutherford simply answers as follows: “In a neutron, the electron would be very much closer to the nucleus.”
In light of the fact that it was only in 1932 that James Chadwick would experimentally prove the existence of neutrons (and positively charged protons), we should be deeply impressed by the foresightof Rutherford and the other pioneers here: the predictive powerof their theories and ideas is truly amazing by any standard—including today’s. It may have something to do with the fact that the distinction between theoretical and experimental physicists was not so clear then.[14] The point is this: we fully subscribe to Rutherford’s intuition that a neutron should, somehow, be a composite particle consisting of a proton and an electron, but we did not succeed in modeling that convincingly. We explored two ways to go about it:
- One is to think of a free neutron which, we should remind ourselves, is a semi-stable particle only (its lifetime is a bit less than 15 minutes, which is an eternity in comparison to other non-stable particles). The challenge is then to build a credible n0 = p+ + e– model.
- The other option is to try to build a neutron model based on its stability inside of the deuteron nucleus. Such model should probably be based on Schrödinger’s D+ = p+ + e– + p+ Platzwechsel model, which thinks of the electron as a sort of glue holding the two positive charges together.
The first model is based on the assumption that we have two forces, very much like the centripetal and centrifugal force inside of a double-star. The difference – with a double-star model, that is – is that the charges have no rest mass.[15] The nature of those two forces is, therefore, very different than (1) the centripetal gravitational force that keeps the two stars together and (2) the centrifugal force that results from their kinetic energy and/or orbital momentum. We assumed the attractive force between the p+ and e– is the usual electromagnetic force between two opposite charges (so that keeps them together). However, because the two charges clearly do not just go and sit on top of each other, we also assumed a ‘nuclear’ force acts at very close distances, and we tried to model this by introducing a Yukawa-like nuclear potential.
We will discuss this more in detail when commenting on our papers in the next section, but the truth is that we feel we have not been able to develop a fully consistent model: it is not like our electron or proton model, which yields fully consistent calculations of the experimentally measured mass, radius, magnetic moment and other so-called intrinsic properties (e.g. the anomaly in the magnetic moment of the electron) of these two elementary particles. We could not do for the neutron. However, we hope some smart PhD student will try his or her hand at improving on our models and succeed where we did not.
As for the second model (the deuteron nucleus model), we did not work all that because that is, basically, an even more complicated problem than the math of a classical three-body problem which, as you know, has no analytical solution. So we inevitably have to lump two bodies together – the two protons might make for a nice massive pair, for example – but then you lose the idea of the neutron. In other words, it may give you a deuteron model, but nothing much in terms of a neutron model.
5. Those were the main frustrations, I think. We will probably point out others too in the more detailed paper-by-paper comments in the next section, but I would like to make one or two more remarks regarding style and conversation culture in physics now.
The main remark is this: I did some research in economics (various sub-disciplines ranging from micro-economics to the history of thought in economics) and I found the conversational style of fellow researchers in those fields much more congenial and friendly than in physics. It may have something to do with the fact such study was done while I was young (so that was almost 30 years ago and people were, quite simply, friendlier then, perhaps), but I also think there might be a different reason. I was (and still am) interested in quantum physics because I wanted to know: this search for truth in modeling (or whatever you want to call it) is rooted in a deep need or desire to understand reality. Personally, I think the Uncertainty Principle got elevated to some kind of metaphysical principle because some of the scientists wanted to reserve a space for God there. I am not religious at all, and if God exists, I am sure he would not to be hiding there but inside of our mind.
In any case, my point here is this: I think there is an emotional or religious aspect to discussions on fundamentals that is absent in the social sciences which, in most cases, turns these discussions quickly personal or even aggressive. As an example, I would refer to all these ‘relativity doubters’ that pop up in the more popular or general ResearchGate discussion threads on the ‘consistency’ of quantum physics, or the pros and cons of modern cosmological theories. I vented my frustration on that on my blog a few times (here is an example of my issues with SRT/GRT doubters), and so then I just stop arguing or contributing to these threads, but I do find it sad because a lot of people like me probably just do the same: they stop engaging, and that probably makes the ignorance even worse and then there is no progress at all, of course!
However, having said this, I also note unfriendliness is inversely proportional to expertise, knowledge and experience. In other words: never be put off by anyone. I did go through the trouble of contacting the PRad Research Lab and people like Dr. Randolf Pohl (Max Planck Institute), and I got curt but useful answers from them: answers that challenged me, but those challenges have helped me to think through my models and have contributed to solidifying my initial intuitions, which I would sum as follows: there is a logical interpretation of everything. I refer to it as a realist interpretation of quantum physics and, as far as I am concerned, it is pretty much the end of physics as a science. We do know it all now. There is no God throwing dices or tossing coins. Statistical determinism, yes, but it is all rooted in formulas and closed mathematical models representing real stuff in three-dimensional space and one-dimensional time.
Let me now (self-)criticize my own papers one by one. 😊
Note: I briefly tried to hyperlink the titles (of the papers) to the papers themselves, but the blog editor (WordPress) returned an error. I guess this blog post is quite long and has to many links already. In any case, the titles do refer to the papers on my RG site, and the reader can consult them there.
Paper-by-paper remarks
The concepts of charge, elementary ring currents, potential, potential energy, and field oscillations
No comments. We think this paper gives a rather nice overview of what made sense to us. We also like the two annexes because they talk about quantum-mechanical operators and show why and how the argument of the wavefunction incorporates (special) relativity (SRT/GRT naysayers should definitely read this).
There is a remnant of one of the things we tried and did not yield much: a series expansion of kinetic and/or potential energy from Einstein’s energy-mass equivalence relation. That result from a discussion with researchers trying to model other deep electron orbitals (other than the ‘deep’ electron in a neutron or a deuteron nucleus): they were thinking of potentials in terms of first-, second-, third-, etc.-order terms, so as to simplify things. I went along with it for a while because I thought it might yield something. But so it did not. Hence, I would leave that out now, because the reader probably wonders what it is that I am trying to do, and rightly so!
Lectures on Physics Chapter VI : All of Quantum Math
This is one in a series of what I jokingly thought of as a better or more concise version of Feynman’s Lectures on Physics. I wrote six of these. Feynman once selected ten ‘easy pieces’ and ten ‘not-so-easy’ pieces from his own lectures, if I am not mistaken¾but so these should qualify as relatively ‘easy’ pieces (in comparison with other papers, that is).
It downplays the concept of the gyromagnetic ratio in quantum mechanics somewhat by focusing on the very different charge/mass ratio for the electron and a proton (q/m) only. For the rest, there is nothing much to say about it: if you are a student in physics, this is the math you surely need to master!
All of physics
This paper is one of those attempts to be as short as I can be. I guess I wanted it to be some kind of memorandum or something. It still developed into five pages, and it does not add anything to all of the longer papers. Because it is short and has no real purpose besides providing some summary of everything, I know think its value is rather limited. I should probably take it down.
Do we need the nuclear force hypothesis?
This is one of the papers on a neutron or deuteron model. I think the approach is not bad. The use of orbital energy equations to try to model the orbital trajectories of (zero rest-mass) charges instead of the usual massive objects in gravitational models is promising. However, it is difficult to define what the equivalent of the center of mass would be in such models. One might think it should be the center of ‘energy’, but the energy concepts are dynamic (potential and kinetic energy vary all the time). Hence, it is difficult to precisely define the reference point for the velocity vector(s) and all that. We refer to our general remarks for what we think these papers might have yielded, and what not. For the rest, we let the reader go through them and, hopefully, try to do better.
The nuclear force and quaternion math
We like this paper very much because it shows why quaternion math should be used far more often than it is actually done in physics: it captures the geometry of proton and neutron models so nicely. We probably will want to delve into this more as yet another retirement project. We also like this paper because it is short and crispy.
The language of math
Probably not our best paper, and one that should or could be merged with others covering the same topics. However, the philosophical reflections in this paper – on the arrow of time and what is absolute and relative in physics – are nice and can be readily understood. They would probably come first if ever we would want to write a textbook or something. We also recommend the primordial dimensional analysis of basic equations in physics: modern-day papers usually do not bother to check or comment on these.
Nuclear potential and energy conservation
This is one of these papers which shows the shortcomings of our approach to modeling anything ‘nuclear’. The idea of two or three charges holding and pushing each other apart simultaneous – with two opposite forces acting, just like the centripetal and centrifugal force in any gravitational model – is nice, and we think the substitution of mass by some combination of charge and mass in the orbital energy equation is brilliant (sorry if this sounds egotistical again) but, as mentioned above, it is difficult to define what the equivalent of the center of mass would be in such models.
Also, because of the distance functions involved (the ‘nuclear’ force in such a model varies with the square of the distance and is, therefore, non-linear), one does not get any definite solution to the system: we derived a lower limit for a ‘range’ factor for the nuclear force, for example (and its magnitude corresponds more or less to what mainstream physicists – rather randomly – use when using Yukawa-like potentials[17]).
It would be an interesting area for modeling if and when I would have more time and energy for these things, so I do hope others pick up on it and, hopefully, do better.
The language of physics
Same remarks as above: I like this paper because it is short. I also allow myself to blast away at quark-gluon theories (‘smoking gun physics’, as I call it[18]). There are also the explanations of useful derivatives of the wavefunction, which show why and how our geometric interpretation of the wavefunction makes sense.
We also quickly demonstrate the limitations of the scattering matrix approach to modeling unstable particle and particle system processes, despite the fact we do love it: the problem is just that you lose track of directions and that we, therefore, cannot explain even very simple stuff such as scattering angles in Compton scattering processes using that S-matrix approach. Here too, we hope some clever people might ‘augment’ the approach.
The Zitterbewegung hypothesis and the scattering matrix
We like this paper. It deserves a lot more downloads than it gets, we think. It is the proper alternative to all kinds of new ‘conservation laws’ – and the associated new ‘strange’ properties of particles – that were invented to make sense of the growing ‘particle zoo’. The catalogue of the Particle Data Group should be rewritten, we feel. 😊
The Finite Universe
Of course, any physicist should be interested in cosmology – if only because any Big Bang theory uses pair creation/annihilation theories rather extensively. As mentioned in our general remarks, we still struggle with these theories and, yes, definitely on our list as a retirement project.
The main value of the paper is that it offers a consistent explanation of ‘dark matter’ in terms of antimatter, and also that it does not present the apparently accelerating pace of the expansion of the Universe as something that is necessarily incongruent: there may be other Universes around, beyond what we can observe. The paper also offers some other ‘common-sense’ explanations: none of them involves serious doubts on standard theory (we do not doubt anything like SRT and/or GRT). We, therefore, think that this paper shows that I am much more ‘mainstream’ and far less ‘crackpot’ than my ‘enemies’ pretend I am. 😊
Ontology and physics
This is definitely my worst paper in terms of structure. It has no flow and jumps from this to that. Even when I read it myself, I wonder what it is trying to say. I must have been in a rather weird mood when I wrote it, and then it got too long and I probably then suddenly had enough of it.[19] The conclusions do sound like I had gone mad: if my kids or someone else would have read it before I published it, they might have prevented me from doing so. Any case, it is there now. I will probably take it off one day.
Of course, I note the month of writing: my specialist had just confirmed my prostate cancer was very aggressive, and that I had to do the surgery sooner rather than later if I wanted to avoid what had killed my brother just months before: metastasis to kidneys and other organs. And my long-term girlfriend has just broke up – again. And I had just come back from yet another terrible consultancy job in Afghanistan. Looking into my diary of those days, I had probably relapsed into a bit of drinking, and too many parties with the ghosts of Oppenheimer and Ehrenfest. In short, I should take that paper of the web, but I will leave it there just for the record.
A mass-without-mass model of protons and neutrons
This paper is better than the one mentioned above but – at the same time – suffers from the same defects: no clear flow in the argument, ‘jumpy’, and lots of ‘deus ex machina’-like additions and sidekicks.[20] Its only advantage is that it does offer a rather clear explanation of what works and probably cannot work in Wheeler’s geometrodynamicsprogramme: mass-without-mass models are fine. The way to go: forces act on charges, and energy is force over a distance, and mass relates to energy through Einstein’s mass-energy equivalence relation. No problem. But the concept of charge is difficult to reduce. Chiral field theories may yet prove to do that, but I am rather skeptical. I bought the most recent book(s) on that, but I need to find time and energy to work myself through it.
The nuclear force and the neutron hypothesis
This is a much more focused paper. However, I cannot believe I inserted remarks on the ‘elasticity’ of spacetime there: that stinks of what physicist and Nobel Prize winner Robert B. Laughlin wrote[21]:
“It is ironic that Einstein’s most creative work, the general theory of relativity, should boil down to conceptualizing space as a medium when his original premise [in special relativity] was that no such medium existed [..] The word ‘ether’ has extremely negative connotations in theoretical physics because of its past association with opposition to relativity. This is unfortunate because, stripped of these connotations, it rather nicely captures the way most physicists actually think about the vacuum. . . . Relativity actually says nothing about the existence or nonexistence of matter pervading the universe, only that any such matter must have relativistic symmetry. [..] It turns out that such matter exists. About the time relativity was becoming accepted, studies of radioactivity began showing that the empty vacuum of space had spectroscopic structure similar to that of ordinary quantum solids and fluids. Subsequent studies with large particle accelerators have now led us to understand that space is more like a piece of window glass than ideal Newtonian emptiness. It is filled with ‘stuff’ that is normally transparent but can be made visible by hitting it sufficiently hard to knock out a part. The modern concept of the vacuum of space, confirmed every day by experiment, is a relativistic ether. But we do not call it this because it is taboo.”
I was intrigued by that, because I was still struggling somewhat with the meaning of various ratios in my ‘oscillator’ model of elementary particles, but I now think any reference to an ‘aether-like’ quality of space time is not productive. Space and time are, effectively, categories of our mind – as Immanuel Kant had already pointed out about 240 years ago (it is interesting that the Wikipedia article on Einstein notes that Albert Einstein had digested all of Kant’s philosophy at the age of twelve) – and space and time are relativistically related (there is no ‘absolute’ time that ‘pervades’ all of 3D space) – but there is no reason whatsoever to think of relativistic spacetime as being aether-like. It is just the vacuum in which Maxwell’s electromagnetic waves propagate themselves. There is nothing more to it.
An electromagnetic deuteron model
See the general remarks on my attempts to develop a decent model of the neutron and deuteron nucleus. They were triggered by interesting discussions with a Canadian astrophysicist (Andrew Meulenberg), an American retired SLAC researcher (Jerry Va’vra) and a French ‘cold fusion’ researcher (Jean-Luc Paillet). I was originally not very interested because these are aimed at proving a smaller version of the hydrogen (which is usually referred to as the ‘hydrino’) must exist, and that ‘hydrino’ would offer endless possibilities in terms of ‘new energy’ production. The whole enterprise is driven by one of the many crooks that give the field of ‘cold fusion’ a bad name, but managed to get lots of private funding nevertheless: Randell L. Mills, the promotor of the Brilliant Light Power company in New Jersey. The above-mentioned researchers are serious. I do not think as highly of Randell Mills, although I note he impresses people with his books on ‘classical quantum physics’. I note a lot of ‘hocus-pocus’ in these books.
Lectures on Physics Chapter V : Moving charges, EM waves, radiation and near and far fields
This is one of those ‘Feynman-like’ lectures I wrote. I think of all of them as rather nice. I do not go into speculative things, and I take the trouble of writing everything out, so the reader does not have to do all that much thinking and just can ‘digest’ everything rather easily.
Pair production and annihilation as a nuclear process
This is definitely one of the papers I wanted to further develop if ever I would have more time and energy. See my general remarks: SLAC’s E144 experiment (and similar experiments) are very intriguing because they do seem to indicate the quintessential concept of charge may be further reducible to ‘field-like’ oscillations. I must thank André Michaud here for kindly pointing that out to me.
Lectures on Physics Chapter IV : Electron propagation in a lattice
I think of this paper as highly relevant and practical. It points out why the common view that Schrödinger’s wave equation would not be relativistically correct is erroneous: it is based on an erroneous simplification in the ‘heuristic’ derivation of this wave equation in the context of, yes, crystal lattices. Definitely one of the better papers when I look back at it now¾just like the other ‘lecture-like’ papers. The history of these ‘lecture-like’ papers is simple: I realized I needed to write more ‘K-12 level’ papers (although they are obviously not really K-12 level) so as to be able to communicate better on the ‘basics’ of my realist interpretation of quantum physics and the ‘essentials’ of my elementary particle models.
The paper usefully distinguishes concepts that are often used interchangeably, but must be distinguished clearly: waves, fields, oscillations, amplitudes and signals.
The meaning of uncertainty and the geometry of the wavefunction
This is an oft-downloaded paper, and the number of downloads reflects its value: it does offer a rather clear overview of all of my work on ‘interpreting’ the wavefunction, and shows its geometrical meaning. Hence, I will not comment on it: it speaks for itself.
A survivor’s guide to quantum physics
I like this paper. It wanted to present a sort of ‘short-cut’ for people who want to learn about physics fast and, therefore, will want to avoid all of the mistakes I made when trying to understand it.
Lectures on Physics III : The concept of a field
Same remark as for the other ‘lecture-like’ papers: I think of this as a ‘nice’ paper covering all you would want and need to know about the concept of fields.
Feynman’s Time Machine
This paper talks about where Feynman went wrong in his Lectures. Parvus error in principio magnus est in fine (as Aquinas and, before him, Aristotle said so eloquently), and the ‘small mistake at the beginning’ is surely not a ‘happy’ one! I consider the discovery of this ‘mistake’ to be my greatest personal ‘discovery’ in terms of making sense of it all, and so I do recommend any interested reader to go through the paper.
Lectures on Physics II : Probability amplitudes
This is like the other lectures: a rather straightforward treatment. Of the concept of probability amplitudes, and the related math and physics¾this time.
Lectures on Physics I : Quantum behavior
I appreciate this paper in the same vein: quite straightforward and to the point. It explains the basic ‘mysteries’ which are usually presented in the first course on quantum mechanics at any university in terms that are readily understandable, and shows these are not ‘mysteries’ after all!
Principles of Quantum Physics
For some weird reason, this is a much better ‘summary’ paper than the ones I wrote later (see, for example, my remarks on my Feb 2020 papers).
Matter-waves, amplitudes and signals
This paper further expands on what I consider to be my best paper of all, which is the next one (on de Broglie’s matter-wave). It gets a fair amount of downloads, and so I am happy about that.
De Broglie’s matter-wave: concept and issues
Of all papers, definitely the one I would recommend reading if you have time for only one. See my general remarks on why mainstream QED/QFT does not work. The only thing I should have added are the remarks on Dirac’s equation (this paper has an Annex on wave equations, and so I should have talked about Dirac’s too). But so I did that in the introductory section with general remarks on all of my papers above.
A brief history of quantum-mechanical ideas
I like this paper too. It is not so technical as all of the others, so the ‘lay’ reader may want to go through this. It traces a rather ‘bad’ history of ideas that led nowhere¾but so that is useful to see what should work, and does work, in the field of quantum physics!
The difference between a theory, a calculation, and an explanation
I like this one too. It should probably be read in combination with the above-mentioned paper on the bad ideas in the history of quantum physics.
It is fifty (50!) pages, though. But it has some really interesting things, such as much more consistent presentation of why Mach-Zehnder interference (‘one-photon’ diffraction, or the so-called ‘interference with a photon with itself’) is not so mysterious as it appears to be. It surely should not be explained in terms of nonsensical concepts such as non-locality, entanglement and what have you in modern-day gibberish.
An alternative Theory of Everything: Classical Quantum Physics
This was my very first ‘entry’ on ResearchGate. It is based on the 60-odd papers and the hundreds of blog posts I had published in the decades before, on sites such as viXra.org that are not considered to be mainstream and, therefore, shunned by most. In fact, in the very beginning, I copied my papers on three sites: ResearchGate, viXra.org and academia.org. I stopped doing that when things picked up on RG. I do think of it as the more serious site of the three. 😊
[…]
Well… That is it! If you got here, congratulations for your perseverance!
Jean Louis Van Belle, 6 December 2021
[1] I downloaded the image from a website selling Christmas presents long time ago, and I have not been able to trace back from where I have got it. If someone recognizes this as their picture, please let us know and we will acknowledge the source or remove it.
[2] Particles are small – very small – but not infinitesimally small: they have a non-zero spatial dimension, and structure! Only light-like particles – photons and neutrinos – are truly pointlike, but even they do have a structure as they propagate in relativistic spacetime.
[3] I got the label of ‘crackpot theorist’ or the reproach of ‘not understanding the basics’ a bit all too often, and too often from people who do have better academic credentials in the field, but a publication record which is far less impressive¾or in an unrelated field.
[4] See: John Stewart Bell, Speakable and unspeakable in quantum mechanics, pp. 169–172, Cambridge University Press, 1987 (quoted from Wikipedia). J.S. Bell died from a cerebral hemorrhage in 1990 – the year he was nominated for the Nobel Prize in Physics and which he, therefore, did not receive (Nobel Prizes are not awarded posthumously). He was just 62 years old then.
[5] We think the latest revision of SI units (2019) consecrates that: that revision completes physics. It defines a very precise number of constants in Nature, and simplifies the system such that the system is complete without redundancy. It, therefore, respects Occam’s Razor Principle: the number of degrees of freedom in the description matches that which we find in Nature. Besides prof. dr. Pohl’s contributions to solving the proton radius puzzle, his role in the relevant committees on this revision probably also make him one of the truly great scientists of our era.
[6] We contacted both. Ms. Hossenfelder never reacted to our emails. Mr. Carroll quoted some lines from John Baez’ ‘crackpot index’. I had heard such jokes before so I did not find them so amusing anymore.
[7] Sometimes I find an error even in a formula. That is annoying, but then it is also good: it makes readers double-check and look at the material more carefully. It makes them think for themselves, which is what they should do.
[8] Dirac basically expands this basic energy-momentum relation into a series, but the mathematical conditions for which such expansion is valid are, apparently, not there. The first-, second-, third-, fourth-, etc.-order terms do not converge, and one gets those ‘infinities’ which blow it all up¾which is why Dirac, nearing the end of his life, got so critical and annoyed by the very theory his wave equation led to: quantum field theory. Reading between the lines, a number of Nobel Prize winners in physics do seem to reject some of the theories for which they got the award. W.E. Lamb is one of them: he wrote a highly critical paper of the concept of a photon at rather old age, despite the fact that his contributions to this field of study had yielded him a Nobel Prize! Richard Feynman is another example: he got a Nobel Prize for a number of modern contributions, but his analysis of ‘properties’ such as ‘ strangeness’ in his 1963 Lectures on Physics can be read as being highly critical of the ‘ontologizing’ of concepts such as quarks and gluons, which he seems to think of as being mathematical concepts only. I talk a bit about that in my paper on the alternative to modern-day QED and QFT (a new S-matrix programme), so I will not say more about this here.
[9] Protons are ‘nuclear’ particles.
[10] I think I do a much better job at explaining interference and/or diffraction of electrons in the mentioned papers, although the reader may also be hungry for more detail there.
[11] The reader should note that, although the mass of an electron is only about 1/2000 of that of a proton, the radius of a (free) electron is actually much larger than the radius of a proton. That is a strange thing but it is what it is: a proton is very massive because of that very strong (nuclear) force inside. Hence, when trying to visualize these n = p + e models, one should think of something like an electron cloud with a massive positive charge whirling around in it¾rather than the other way around.
[12] The interested reader can google what this is about.
[13] It is a weird coincidence of history that the proceedings of the Solvay Conferences are publicly available in French, even if many papers must have been written in English. The young Louis de Broglie was one of those young secretaries tasked with translations in what was then a very prominent scientific language: French. It got him hooked, obviously.
[14] When reading modern-day articles in journals, one gets the impression a lot of people theorize an awful lot about very little empirical or experimental data.
[15] The idea is that the pointlike charge itself has no inertial mass. It, therefore, goes round and round at the speed of light. However, while doing so, it acquires an effective mass, which is (usually) half of the total mass of the particle as a whole. This ½ factor confuses many, but should not do so. It comes directly out of the energy equipartition principle, and can also be derived from rather straightforward relativistically correct oscillator energy calculations (see p. 9 of our paper on the meaning of the wavefunction).
[17] We get value that is twice as large as the usual 2.8 fm range. By the way, we think of the latter value as being ‘rather random’ because it is just the deuteron radius. Indeed, if, as a nuclear scientist, you do not have any idea about what range to use for a nuclear scale factor (which is pretty much the case), then that is surely a number that would come in handy, because it is empirical rather than theoretical. We honestly think there is nothing more to it, but I think academics will probably cry wolf and say that their models are much more sophisticated than what I suggest here. I will be frank: can you show me why and how, not approximately but exactly?
[18] If you click on the link, you will see my blog post on it, which also thinks of the Higgs particle – a ‘scalar’ particle, really? – as a figment of the mind. My criticism on these theories which can never really be proven goes back years ago, but has not softened. On the contrary.
[19] This is also a paper with a fair amount of types. On page 36, I talk of the prediction of the proton, for example. Of course, I meant to say: the prediction of the existence of the positron. Such typos are bad. I am ashamed.
[20] Some of these ‘sidekicks’ do get more attention in later papers (e.g. this paper has the early thinking on using orbital energy equations to model orbitals of pointlike charges instead of masses), but they come across as rather chaotic and not well thought-through in this paper, because they were chaotic and not well thought-through at that point in time.
[21] We quote from the Wikipedia article on aether theories here.
Quaternions and the nuclear wave equation
In this blog, we talked a lot about the Zitterbewegung model of an electron, which is a model which allows us to think of the elementary wavefunction as representing a radius or position vector. We write:
ψ = r = a·e±iθ = a·[cos(±θ) + i · sin(±θ)]
It is just an application of Parson’s ring current or magneton model of an electron. Note we use boldface to denote vectors, and that we think of the sine and cosine here as vectors too! You should note that the sine and cosine are the same function: they differ only because of a 90-degree phase shift: cosθ = sin(θ + π/2). Alternatively, we can use the imaginary unit (i) as a rotation operator and use the vector notation to write: sinθ = i·cosθ.
In one of our introductory papers (on the language of math), we show how and why this all works like a charm: when we take the derivative with respect to time, we get the (orbital or tangential) velocity (dr/dt = v), and the second-order derivative gives us the (centripetal) acceleration vector (d2r/dt2 = a). The plus/minus sign of the argument of the wavefunction gives us the direction of spin, and we may, perhaps, add a plus/minus sign to the wavefunction as a whole to model matter and antimatter, respectively (the latter assertion is very speculative though, so we will not elaborate that here).
One orbital cycle packs Planck’s quantum of (physical) action, which we can write either as the product of the energy (E) and the cycle time (T), or the momentum (p) of the charge times the distance travelled, which is the circumference of the loop λ in the inertial frame of reference (we can always add a classical linear velocity component when considering an electron in motion, and we may want to write Planck’s quantum of action as an angular momentum vector (h or ħ) to explain what the Uncertainty Principle is all about (statistical uncertainty, nothing ontological), but let us keep things simple as for now):
h = E·T = p·λ
It is important to distinguish between the electron and the charge, which we think of being pointlike: the electron is charge in motion. Charge is just charge: it explains everything and its nature is, therefore, quite mysterious: is it really a pointlike thing, or is there some fractal structure? Of these things, we know very little, but the small anomaly in the magnetic moment of an electron suggests its structure might be fractal. Think of the fine-structure constant here, as the factor which distinguishes the classical, Compton and Bohr radii of the electron: we associate the classical electron radius with the radius of the poinlike charge, but perhaps we can drill down further.
We also showed how the physical dimensions work out in Schroedinger’s wave equation. Let us jot it down to appreciate what it might model, and appreciate why complex numbers come in handy:
This is, of course, Schroedinger’s equation in free space, which means there are no other charges around and we, therefore, have no potential energy terms here. The rather enigmatic concept of the effective mass (which is half the total mass of the electron) is just the relativistic mass of the pointlike charge as it whizzes around at lightspeed, so that is the motion which Schroedinger referred to as its Zitterbewegung (Dirac confused it with some motion of the electron itself, further compounding what we think of as de Broglie’s mistaken interpretation of the matter-wave as a linear oscillation: think of it as an orbital oscillation). The 1/2 factor is there in Schroedinger’s wave equation for electron orbitals, but he replaced the effective mass rather subtly (or not-so-subtly, I should say) by the total mass of the electron because the wave equation models the orbitals of an electron pair (two electrons with opposite spin). So we might say he was lucky: the two mistakes together (not accounting for spin, and adding the effective mass of two electrons to get a mass factor) make things come out alright. 🙂
However, we will not say more about Schroedinger’s equation for the time being (we will come back to it): just note the imaginary unit, which does operate like a rotation operator here. Schroedinger’s wave equation, therefore, must model (planar) orbitals. Of course, the plane of the orbital itself may be rotating itself, and most probably is because that is what gives us those wonderful shapes of electron orbitals (subshells). Also note the physical dimension of ħ/m: it is a factor which is expressed in m2/s, but when you combine that with the 1/m2 dimension of the ∇2 operator, then you get the 1/s dimension on both sides of Schroedinger’s equation. [The ∇2 operator is just the generalization of the d2r/dx2 but in three dimensions, so x becomes a vector: x, and we apply the operator to the three spatial coordinates and get another vector, which is why we call ∇2 a vector operator. Let us move on, because we cannot explain each and every detail here, of course!]
We need to talk forces and fields now. This ring current model assumes an electromagnetic field which keeps the pointlike charge in its orbit. This centripetal force must be equal to the Lorentz force (F), which we can write in terms of the electric and magnetic field vectors E and B (fields are just forces per unit charge, so the two concepts are very intimately related):
F = q·(E + v×B) = q·(E + c×E/c) = q·(E + 1×E) = q·(E + j·E) = (1+ j)·q·E
We use a different imaginary unit here (j instead of i) because the plane in which the magnetic field vector B is going round and round is orthogonal to the plane in which E is going round and round, so let us call these planes the xy– and xz-planes respectively. Of course, you will ask: why is the B-plane not the yz-plane? We might be mistaken, but the magnetic field vector lags the electric field vector, so it is either of the two, and so now you can check for yourself of what we wrote above is actually correct. Also note that we write 1 as a vector (1) or a complex number: 1 = 1 + i·0. [It is also possible to write this: 1 = 1 + i·0 or 1 = 1 + i·0. As long as we think of these things as vectors – something with a magnitude and a direction – it is OK.]
You may be lost in math already, so we should visualize this. Unfortunately, that is not easy. You may to google for animations of circularly polarized electromagnetic waves, but these usually show the electric field vector only, and animations which show both E and B are usually linearly polarized waves. Let me reproduce the simplest of images: imagine the electric field vector E going round and round. Now imagine the field vector B being orthogonal to it, but also going round and round (because its phase follows the phase of E). So, yes, it must be going around in the xz– or yz-plane (as mentioned above, we let you figure out how the various right-hand rules work together here).
You should now appreciate that the E and B vectors – taken together – will also form a plane. This plane is not static: it is not the xy-, yz– or xz-plane, nor is it some static combination of two of these. No! We cannot describe it with reference to our classical Cartesian axes because it changes all the time as a result of the rotation of both the E and B vectors. So how we can describe that plane mathematically?
The Irish mathematician William Rowan Hamilton – who is also known for many other mathematical concepts – found a great way to do just that, and we will use his notation. We could say the plane formed by the E and B vectors is the E–B plane but, in line with Hamilton’s quaternion algebra, we will refer to it as the k-plane. How is it related to what we referred to as the i– and j-planes, or the xy– and xz-plane as we used to say? At this point, we should introduce Hamilton’s notation: he did write i and j in boldface (we do not like that, but you may want to think of it as just a minor change in notation because we are using these imaginary units in a new mathematical space: the quaternion number space), and he referred to them as basic quaternions in what you should think of as an extension of the complex number system. More specifically, he wrote this on a now rather famous bridge in Dublin:
i2 = -1
j2 = -1
k2 = -1
i·j = k
j·i= –k
The first three rules are the ones you know from complex number math: two successive rotations by 90 degrees will bring you from 1 to -1. The order of multiplication in the other two rules ( i·j = k and j·i = –k ) gives us not only the k-plane but also the spin direction. All other rules in regard to quaternions (we can write, for example, this: i ·j·k = -1), and the other products you will find in the Wikipedia article on quaternions) can be derived from these, but we will not go into them here.
Now, you will say, we do not really need that k, do we? Just distinguishing between i and j should do, right? The answer to that question is: yes, when you are dealing with electromagnetic oscillations only! But it is no when you are trying to model nuclear oscillations! That is, in fact, exactly why we need this quaternion math in quantum physics!
Let us think about this nuclear oscillation. Particle physics experiments – especially high-energy physics experiments – effectively provide evidence for the presence of a nuclear force. To explain the proton radius, one can effectively think of a nuclear oscillation as an orbital oscillation in three rather than just two dimensions. The oscillation is, therefore, driven by two (perpendicular) forces rather than just one, with the frequency of each of the oscillators being equal to ω = E/2ħ = mc2/2ħ.
Each of the two perpendicular oscillations would, therefore, pack one half-unit of ħ only. The ω = E/2ħ formula also incorporates the energy equipartition theorem, according to which each of the two oscillations should pack half of the total energy of the nuclear particle (so that is the proton, in this case). This spherical view of a proton fits nicely with packing models for nucleons and yields the experimentally measured radius of a proton:
Of course, you can immediately see that the 4 factor is the same factor 4 as the one appearing in the formula for the surface area of a sphere (A = 4πr2), as opposed to that for the surface of a disc (A = πr2). And now you should be able to appreciate that we should probably represent a proton by a combination of two wavefunctions. Something like this:
What about a wave equation for nuclear oscillations? Do we need one? We sure do. Perhaps we do not need one to model a neutron as some nuclear dance of a negative and a positive charge. Indeed, think of a combination of a proton and what we will refer to as a deep electron here, just to distinguish it from an electron in Schroedinger’s atomic electron orbitals. But we might need it when we are modeling something more complicated, such as the different energy states of, say, a deuteron nucleus, which combines a proton and a neutron and, therefore, two positive charges and one deep electron.
According to some, the deep electron may also appear in other energy states and may, therefore, give rise to a different kind of hydrogen (they are referred to as hydrinos). What do I think of those? I think these things do not exist and, if they do, they cannot be stable. I also think these researchers need to come up with a wave equation for them in order to be credible and, in light of what we wrote about the complications in regard to the various rotational planes, that wave equation will probably have all of Hamilton’s basic quaternions in it. [But so, as mentioned above, I am waiting for them to come up with something that makes sense and matches what we can actually observe in Nature: those hydrinos should have a specific spectrum, and we do not such see such spectrum from, say, the Sun, where there is so much going on so, if hydrinos exist, the Sun should produce them, right? So, yes, I am rather skeptical here: I do think we know everything now and physics, as a science, is sort of complete and, therefore, dead as a science: all that is left now is engineering!]
But, yes, quaternion algebra is a very necessary part of our toolkit. It completes our description of everything! 🙂
The physics of the wave equation
The rather high-brow discussions on deep electron orbitals and hydrinos with a separate set of interlocutors, inspired me to write a paper at the K-12 level on wave equations. Too bad Schroedinger did not seem to have left any notes on how he got his wave equation (which I believe to be correct in every way (relativistically correct, too), unlike Dirac’s or others).
The notes must be somewhere in some unexplored archive. If there are Holy Grails to be found in the history of physics, then these notes are surely one of them. There is a book about a mysterious woman, who might have inspired Schrödinger, but I have not read it, yet: it is on my to-read list. I will prioritize it (read: order it right now). 🙂
Oh – as for the math and physics of the wave equation, you should also check the Annex to the paper: I think the nuclear oscillation can only be captured by a wave equation when using quaternion math (an extension to complex math).
The Language of Physics
The meaning of life in 15 pages !🙂 [Or… Well… At least a short description of the Universe… Not sure it helps in sense-making.] 🙂
Post scriptum (25 March 2021): Because this post is so extremely short and happy, I want to add a sad anecdote which illustrates what I have come to regard as the sorry state of physics as a science.
A few days ago, an honest researcher put me in cc of an email to a much higher-brow researcher. I won’t reveal names, but the latter – I will call him X – works at a prestigious accelerator lab in the US. The gist of the email was a question on an article of X: “I am still looking at the classical model for the deep orbits. But I have been having trouble trying to determine if the centrifugal and spin-orbit potentials have the same relativistic correction as the Coulomb potential. I have also been having trouble with the Ademko/Vysotski derivation of the Veff = V×E/mc2 – V2/2mc2 formula.”
I was greatly astonished to see X answer this: “Hello – What I know is that this term comes from the Bethe-Salpeter equation, which I am including (#1). The authors say in their book that this equation comes from the Pauli’s theory of spin. Reading from Bethe-Salpeter’s book [Quantum mechanics of one and two electron atoms]: “If we disregard all but the first three members of this equation, we obtain the ordinary Schroedinger equation. The next three terms are peculiar to the relativistic Schroedinger theory”. They say that they derived this equation from covariant Dirac equation, which I am also including (#2). They say that the last term in this equation is characteristic for the Dirac theory of spin ½ particles. I simplified the whole thing by choosing just the spin term, which is already used for hyperfine splitting of normal hydrogen lines. It is obviously approximation, but it gave me a hope to satisfy the virial theorem. Of course, now I know that using your Veff potential does that also. That is all I know.” [I added the italics/bold in the quote.]
So I see this answer while browsing through my emails on my mobile phone, and I am disgusted – thinking: Seriously? You get to publish in high-brow journals, but so you do not understand the equations, and you just drop terms and pick the ones that suit you to make your theory fit what you want to find? And so I immediately reply to all, politely but firmly: “All I can say, is that I would not use equations which I do not fully understand. Dirac’s wave equation itself does not make much sense to me. I think Schroedinger’s original wave equation is relativistically correct. The 1/2 factor in it has nothing to do with the non-relativistic kinetic energy, but with the concept of effective mass and the fact that it models electron pairs (two electrons – neglect of spin). Andre Michaud referred to a variant of Schroedinger’s equation including spin factors.”
Now X replies this, also from his iPhone: “For me the argument was simple. I was desperate trying to satisfy the virial theorem after I realized that ordinary Coulomb potential will not do it. I decided to try the spin potential, which is in every undergraduate quantum mechanical book, starting with Feynman or Tippler, to explain the hyperfine hydrogen splitting. They, however, evaluate it at large radius. I said, what happens if I evaluate it at small radius. And to my surprise, I could satisfy the virial theorem. None of this will be recognized as valid until one finds the small hydrogen experimentally. That is my main aim. To use theory only as a approximate guidance. After it is found, there will be an explosion of “correct” theories.” A few hours later, he makes things even worse by adding: “I forgot to mention another motivation for the spin potential. I was hoping that a spin flip will create an equivalent to the famous “21cm line” for normal hydrogen, which can then be used to detect the small hydrogen in astrophysics. Unfortunately, flipping spin makes it unstable in all potential configurations I tried so far.”
I have never come across a more blatant case of making a theory fit whatever you want to prove (apparently, X believes Mills’ hydrinos (hypothetical small hydrogen) are not a fraud), and it saddens me deeply. Of course, I do understand one will want to fiddle and modify equations when working on something, but you don’t do that when these things are going to get published by serious journals. Just goes to show how physicists effectively got lost in math, and how ‘peer reviews’ actually work: they don’t.
The End of Physics?
There are two branches of physics. The nicer branch studies equilibrium states: simple laws, stable particles (electrons and protons, basically), the expanding (oscillating?) Universe, etcetera. This branch includes the study of dynamical systems which we can only describe in terms of probabilities or approximations: think of kinetic gas theory (thermodynamics) or, much simpler, hydrostatics (the flow of water, Feynman, Vol. II, chapters 40 and 41), about which Feynman writes this:
“The simplest form of the problem is to take a pipe that is very long and push water through it at high speed. We ask: to push a given amount of water through that pipe, how much pressure is needed? No one can analyze it from first principles and the properties of water. If the water flows very slowly, or if we use a thick goo like honey, then we can do it nicely. You will find that in your textbook. What we really cannot do is deal with actual, wet water running through a pipe. That is the central problem which we ought to solve some day, and we have not.” (Feynman, I-3-7)
Still, we believe first principles do apply to the flow of water through a pipe. In contrast, the second branch of physics – we think of the study of non-stable particles here: transients (charged kaons and pions, for example) or resonances (very short-lived intermediate energy states). The class of physicists who studies these must be commended, but they resemble econometrists modeling input-output relations: if they are lucky, they will get some kind of mathematical description of what goes in and what goes out, but the math does not tell them how stuff actually happens. It leads one to think about the difference between a theory, a calculation and an explanation. Simplifying somewhat, we can represent such input-output relations by thinking of a process that will be operating on some state |ψ⟩ to produce some other state |ϕ⟩, which we write like this:
⟨ϕ|A|ψ⟩
A is referred to as a Hermitian matrix if the process is reversible. Reversibility looks like time reversal, which can be represented by taking the complex conjugate ⟨ϕ|A|ψ⟩* = ⟨ψ|A†|ϕ⟩: we put a minus sign in front of the imaginary unit, so we have –i instead of i in the wavefunctions (or i instead of –i with respect to the usual convention for denoting the direction of rotation). Processes may not reversible, in which case we talk about symmetry-breaking: CPT-symmetry is always respected so, if T-symmetry (time) is broken, CP-symmetry is broken as well. There is nothing magical about that.
Physicists found the description of these input-output relations can be simplified greatly by introducing quarks (see Annex II of our paper on ontology and physics). Quarks have partial charge and, more generally, mix physical dimensions (mass/energy, spin or (angular) momentum). They create some order – think of it as some kind of taxonomy – in the vast zoo of (unstable) particles, which is great. However, we do not think there was a need to give them some kind of ontological status: unlike plants or insects, partial charges do not exist.
We also think the association between forces and (virtual) particles is misguided. Of course, one might say forces are being mediated by particles (matter- or light-particles), because particles effectively pack energy and angular momentum (light-particles – photons and neutrinos – differ from matter-particles (electrons, protons) in that they carry no charge, but they do carry electromagnetic and/or nuclear energy) and force and energy are, therefore, being transferred through particle reactions, elastically or non-elastically. However, we think it is important to clearly separate the notion of fields and particles: they are governed by the same laws (conservation of charge, energy, and (linear and angular) momentum, and – last but not least – (physical) action) but their nature is very different.
W.E. Lamb (1995), nearing the end of his very distinguished scientific career, wrote about “a comedy of errors and historical accidents”, but we think the business is rather serious: we have reached the End of Science. We have solved Feynman’s U = 0 equation. All that is left, is engineering: solving practical problems and inventing new stuff. That should be exciting enough. 🙂
Post scriptum: I added an Annex (III) to my paper on ontology and physics, with what we think of as a complete description of the Universe. It is abstruse but fun (we hope!): we basically add a description of events to Feynman’s U = 0 (un)worldliness formula. 🙂
A Zitterbewegung model of the neutron
As part of my ventures into QCD, I quickly developed a Zitterbewegung model of the neutron, as a complement to my first sketch of a deuteron nucleus. The math of orbitals is interesting. Whatever field you have, one can model is using a coupling constant between the proportionality coefficient of the force, and the charge it acts on. That ties it nicely with my earlier thoughts on the meaning of the fine-structure constant.
My realist interpretation of quantum physics focuses on explanations involving the electromagnetic force only, but the matter-antimatter dichotomy still puzzles me very much. Also, the idea of virtual particles is no longer anathema to me, but I still want to model them as particle-field interactions and the exchange of real (angular or linear) momentum and energy, with a quantization of momentum and energy obeying the Planck-Einstein law.
The proton model will be key. We cannot explain it in the typical ‘mass without mass’ model of zittering charges: we get a 1/4 factor in the explanation of the proton radius, which is impossible to get rid of unless we assume some ‘strong’ force come into play. That is why I prioritize a ‘straight’ attack on the electron and the proton-electron bond in a primitive neutron model.
The calculation of forces inside a muon-electron and a proton (see ) is an interesting exercise: it is the only thing which explains why an electron annihilates a positron but electrons and protons can live together (the ‘anti-matter’ nature of charged particles only shows because of opposite spin directions of the fields – so it is only when the ‘structure’ of matter-antimatter pairs is different that they will not annihilate each other).
[…]
In short, 2021 will be an interesting year for me. The intent of my last two papers (on the deuteron model and the primitive neutron model) was to think of energy values: the energy value of the bond between electron and proton in the neutron, and the energy value of the bond between proton and neutron in a deuteron nucleus. But, yes, the more fundamental work remains to be done !
Cheers – Jean-Louis
The electromagnetic deuteron model
In my ‘signing off’ post, I wrote I had enough of physics but that my last(?) ambition was to “contribute to an intuitive, realist and mathematically correct model of the deuteron nucleus.” Well… The paper is there. And I am extremely pleased with the result. Thank you, Mr. Meulenberg. You sure have good intuition.
I took the opportunity to revisit Yukawa’s nuclear potential and demolish his modeling of a new nuclear force without a charge to act on. Looking back at the past 100 years of physics history, I now start to think that was the decisive destructive moment in physics: that 1935 paper, which started off all of the hype on virtual particles, quantum field theory, and a nuclear force that could not possibly be electromagnetic plus – totally not done, of course ! – utter disregard for physical dimensions and the physical geometry of fields in 3D space or – taking retardation effects into account – 4D spacetime. Fortunately, we have hope: the 2019 fixing of SI units puts physics firmly back onto the road to reality – or so we hope.
Paolo Di Sia‘s and my paper show one gets very reasonable energy and separation distances for nuclear bonds and inter-nucleon distances when assuming the presence of magnetic and/or electric dipole fields arising from deep electron orbitals. The model shows one of the protons pulling the ‘electron blanket’ from another proton (the neutron) towards its own side so as to create an electric dipole moment. So it is just like a valence electron in a chemical bond. So it is like water, then? Water is a polar molecule but we do not necessarily need to start with polar configurations when trying to expand this model so as to inject some dynamics into it (spherically symmetric orbitals are probably easier to model). Hmm… Perhaps I need to look at the thermodynamical equations for dry versus wet water once again… Phew ! Where to start?
I have no experience – I have very little math, actually – with modeling molecular orbitals. So I should, perhaps, contact a friend from a few years ago now – living in Hawaii and pursuing more spiritual matters too – who did just that long time ago: orbitals using Schroedinger’s wave equation (I think Schroedinger’s equation is relativistically correct – just a misinterpretation of the concept of ‘effective mass’ by the naysayers). What kind of wave equation are we looking at? One that integrates inverse square and inverse cube force field laws arising from charges and the dipole moments they create while moving. [Hey! Perhaps we can relate these inverse square and cube fields to the second- and third-order terms in the binomial development of the relativistic mass formula (see the section on kinetic energy in my paper on one of Feynman’s more original renderings of Maxwell’s equations) but… Well… Probably best to start by seeing how Feynman got those field equations out of Maxwell’s equations. It is a bit buried in his development of the Liénard and Wiechert equations, which are written in terms of the scalar and vector potentials φ and A instead of E and B vectors, but it should all work out.]
If the nuclear force is electromagnetic, then these ‘nuclear orbitals’ should respect the Planck-Einstein relation. So then we can calculate frequencies and radii of orbitals now, right? The use of natural units and imaginary units to represent rotations/orthogonality in space might make calculations easy (B = iE). Indeed, with the 2019 revision of SI units, I might need to re-evaluate the usefulness of natural units (I always stayed away from it because it ‘hides’ the physics in the math as it makes abstraction of their physical dimension).
Hey ! Perhaps we can model everything with quaternions, using imaginary units (i and j) to represent rotations in 3D space so as to ensure consistent application of the appropriate right-hand rules always (special relativity gets added to the mix so we probably need to relate the (ds)2 = (dx)2 + (dy)2 + (dz)2 – (dct)2 to the modified Hamilton’s q = a + ib + jc – kd expression then). Using vector equations throughout and thinking of h as a vector when using the E = hf and h = pλ Planck-Einstein relation (something with a magnitude and a direction) should do the trick, right? [In case you wonder how we can write f as a vector: angular frequency is a vector too. The Planck-Einstein relation is valid for both linear as well as circular oscillations: see our paper on the interpretation of de Broglie wavelength.]
Oh – and while special relativity is there because of Maxwell’s equation, gravity (general relativity) should be left out of the picture. Why? Because we would like to explain gravity as a residual very-far-field force. And trying to integrate gravity inevitable leads one to analyze particles as ‘black holes.’ Not nice, philosophically speaking. In fact, any 1/rn field inevitably leads one to think of some kind of black hole at the center, which is why thinking of fundamental particles in terms ring currents and dipole moments makes so much sense! [We need nothingness and infinity as mathematical concepts (limits, really) but they cannot possibly represent anything real, right?]
The consistent use of the Planck-Einstein law to model these nuclear electron orbitals should probably involve multiples of h to explain their size and energy: E = nhf rather than E = hf. For example, when calculating the radius of an orbital of a pointlike charge with the energy of a proton, one gets a radius that is only 1/4 of the proton radius (0.21 fm instead of 0.82 fm, approximately). To make the radius fit that of a proton, one has to use the E = 4hf relation. Indeed, for the time being, we should probably continue to reject the idea of using fractions of h to model deep electron orbitals. I also think we should avoid superluminal velocity concepts.
[…]
This post sounds like madness? Yes. And then, no! To be honest, I think of it as one of the better Aha! moments in my life. 🙂
Brussels, 30 December 2020
Post scriptum (1 January 2021): Lots of stuff coming together here ! 2021 will definitely see the Grand Unified Theory of Classical Physics becoming somewhat more real. It looks like Mills is going to make a major addition/correction to his electron orbital modeling work and, hopefully, manage to publish the gist of it in the eminent mainstream Nature journal. That makes a lot of sense: to move from an atom to an analysis of nuclei or complex three-particle systems, one should combine singlet and doublet energy states – if only to avoid reduce three-body problems to two-body problems. 🙂 I still do not buy the fractional use of Planck’s quantum of action, though. Especially now that we got rid of the concept of a separate ‘nuclear’ charge (there is only one charge: the electric charge, and it comes in two ‘colors’): if Planck’s quantum of action is electromagnetic, then it comes in wholes or multiples. No fractions. Fractional powers of distance functions in field or potential formulas are OK, however. 🙂
The complementarity of wave- and particle-like viewpoints on EM wave propagation
In 1995, W.E. Lamb Jr. wrote the following on the nature of the photon: “There is no such thing as a photon. Only a comedy of errors and historical accidents led to its popularity among physicists and optical scientists. I admit that the word is short and convenient. Its use is also habit forming. Similarly, one might find it convenient to speak of the “aether” or “vacuum” to stand for empty space, even if no such thing existed. There are very good substitute words for “photon”, (e.g., “radiation” or “light”), and for “photonics” (e.g., “optics” or “quantum optics”). Similar objections are possible to use of the word “phonon”, which dates from 1932. Objects like electrons, neutrinos of finite rest mass, or helium atoms can, under suitable conditions, be considered to be particles, since their theories then have viable non-relativistic and non-quantum limits.”[1]
The opinion of a Nobel Prize laureate carries some weight, of course, but we think the concept of a photon makes sense. As the electron moves from one (potential) energy state to another – from one atomic or molecular orbital to another – it builds an oscillating electromagnetic field which has an integrity of its own and, therefore, is not only wave-like but also particle-like.
We, therefore, dedicated the fifth chapter of our re-write of Feynman’s Lectures to a dual analysis of EM radiation (and, yes, this post is just an announcement of the paper so you are supposed to click the link to read it). It is, basically, an overview of a rather particular expression of Maxwell’s equations which Feynman uses to discuss the laws of radiation. I wonder how to – possibly – ‘transform’ or ‘transpose’ this framework so it might apply to deep electron orbitals and – possibly – proton-neutron oscillations.
[1] W.E. Lamb Jr., Anti-photon, in: Applied Physics B volume 60, pages 77–84 (1995).
The true mystery of quantum physics
In many of our papers, we presented the orbital motion of an electron around a nucleus or inside of a more complicated molecular structure[1], as well as the motion of the pointlike charge inside of an electron itself, as a fundamental oscillation. You will say: what is fundamental and, conversely, what is not? These oscillations are fundamental in the sense that these motions are (1) perpetual or stable and (2) also imply a quantization of space resulting from the Planck-Einstein relation.
Needless to say, this quantization of space looks very different depending on the situation: the order of magnitude of the radius of orbital motion around a nucleus is about 150 times the electron’s Compton radius[2] so, yes, that is very different. However, the basic idea is always the same: a pointlike charge going round and round in a rather regular fashion (otherwise our idea of a cycle time (T = 1/f) and an orbital would not make no sense whatsoever), and that oscillation then packs a certain amount of energy as well as Planck’s quantum of action (h). In fact, that’s just what the Planck-Einstein relation embodies: E = h·f. Frequencies and, therefore, radii and velocities are very different (we think of the pointlike charge inside of an electron as whizzing around at lightspeed, while the order of magnitude of velocities of the electron in an atomic or molecular orbital is also given by that fine-structure constant: v = α·c/n (n is the principal quantum number, or the shell in the gross structure of an atom), but the underlying equations of motion – as Dirac referred to it – are not fundamentally different.
We can look at these oscillations in two very different ways. Most Zitterbewegung theorists (or realist thinkers, I might say) think of it as a self-perpetuating current in an electromagnetic field. David Hestenes is probably the best known theorist in this class. However, we feel such view does not satisfactorily answer the quintessential question: what keeps the charge in its orbit? We, therefore, preferred to stick with an alternative model, which we loosely refer to as the oscillator model.
However, truth be told, we are aware this model comes with its own interpretational issues. Indeed, our interpretation of this oscillator model oscillated between the metaphor of a classical (non-relativistic) two-dimensional oscillator (think of a Ducati V2 engine, with the two pistons working in tandem in a 90-degree angle) and the mathematically correct analysis of a (one-dimensional) relativistic oscillator, which we may sum up in the following relativistically correct energy conservation law:
dE/dt = d[kx2/2 + mc2]/dt = 0
More recently, we actually noted the number of dimensions (think of the number of pistons of an engine) should actually not matter at all: an old-fashioned radial airplane engine has 3, 5, 7, or more cylinders (the non-even number has to do with the firing mechanism for four-stroke engines), but the interplay between those pistons can be analyzed just as well as the ‘sloshing back and forth’ of kinetic and potential energy in a dynamic system (see our paper on the meaning of uncertainty and the geometry of the wavefunction). Hence, it seems any number of springs or pistons working together would do the trick: somehow, linear becomes circular motion, and vice versa. But so what number of dimensions should we use for our metaphor, really?
We now think the ‘one-dimensional’ relativistic oscillator is the correct mathematical analysis, but we should interpret it more carefully. Look at the dE/dt = d[kx2/2 + mc2]/dt = = d(PE + KE)/dt = 0 once more.
For the potential energy, one gets the same kx2/2 formula one gets for the non-relativistic oscillator. That is no surprise: potential energy depends on position only, not on velocity, and there is nothing relative about position. However, the (½)m0v2 term that we would get when using the non-relativistic formulation of Newton’s Law is now replaced by the mc2 = γm0c2 term. Both energies vary – with position and with velocity respectively – but the equation above tells us their sum is some constant. Equating x to 0 (when the velocity v = c) gives us the total energy of the system: E = mc2. Just as it should be. 🙂 So how can we now reconcile this two models? One two-dimensional but non-relativistic, and the other relativistically correct but one-dimensional only? We always get this weird 1/2 factor! And we cannot think it away, so what is it, really?
We still don’t have a definite answer, but we think we may be closer to the conceptual locus where these two models might meet: the key is to interpret x and v in the equation for the relativistic oscillator as (1) the distance along an orbital, and (2) v as the tangential velocity of the pointlike charge along this orbital.
Huh? Yes. Read everything slowly and you might see the point. [If not, don’t worry about it too much. This is really a minor (but important) point in my so-called realist interpretation of quantum mechanics.]
If you get the point, you’ll immediately cry wolf and say such interpretation of x as a distance measured along some orbital (as opposed to the linear concept we are used to) and, consequently, thinking of v as some kind of tangential velocity along such orbital, looks pretty random. However, keep thinking about it, and you will have to admit it is a rather logical way out of the logical paradox. The formula for the relativistic oscillator assumes a pointlike charge with zero rest mass oscillating between v = 0 and v = c. However, something with zero rest mass will always be associated with some velocity: it cannot be zero! Think of a photon here: how would you slow it down? And you may think we could, perhaps, slow down a pointlike electric charge with zero rest mass in some electromagnetic field but, no! The slightest force on it will give it infinite acceleration according to Newton’s force law. [Admittedly, we would need to distinguish here between its relativistic expression (F = dp/dt) and its non-relativistic expression (F = m0·a) when further dissecting this statement, but you get the idea. Also note that we are discussing our electron here, in which we do have a zero-rest-mass charge. In an atomic or molecular orbital, we are talking an electron with a non-zero rest mass: just the mass of the electron whizzing around at a (significant) fraction (α) of lightspeed.]
Hence, it is actually quite rational to argue that the relativistic oscillator cannot be linear: the velocity must be some tangential velocity, always and – for a pointlike charge with zero rest mass – it must equal lightspeed, always. So, yes, we think this line of reasoning might well the conceptual locus where the one-dimensional relativistic oscillator (E = m·a2·ω2) and the two-dimensional non-relativistic oscillator (E = 2·m·a2·ω2/2 = m·a2·ω2) could meet. Of course, we welcome the view of any reader here! In fact, if there is a true mystery in quantum physics (we do not think so, but we know people – academics included – like mysterious things), then it is here!
Post scriptum: This is, perhaps, a good place to answer a question I sometimes get: what is so natural about relativity and a constant speed of light? It is not so easy, perhaps, to show why and how Lorentz’ transformation formulas make sense but, in contrast, it is fairly easy to think of the absolute speed of light like this: infinite speeds do not make sense, both physically as well as mathematically. From a physics point of view, the issue is this: something that moves about at an infinite speed is everywhere and, therefore, nowhere. So it doesn’t make sense. Mathematically speaking, you should not think of v reaching infinite but of a limit of a ratio of a distance interval that goes to infinity, while the time interval goes to zero. So, in the limit, we get a division of an infinite quantity by 0. That’s not infinity but an indeterminacy: it is totally undefined! Indeed, mathematicians can easily deal with infinity and zero, but divisions like zero divided by zero, or infinity divided by zero are meaningless. [Of course, we may have different mathematical functions in the numerator and denominator whose limits yields those values. There is then a reasonable chance we will be able to factor stuff out so as to get something else. We refer to such situations as indeterminate forms, but these are not what we refer to here. The informed reader will, perhaps, also note the division of infinity by zero does not figure in the list of indeterminacies, but any division by zero is generally considered to be undefined.]
[1] It may be extra electron such as in, for example, the electron which jumps from place to place in a semiconductor (see our quantum-mechanical analysis of electric currents). Also, as Dirac first noted, the analysis is actually also valid for electron holes, in which case our atom or molecule will be positively ionized instead of being neutral or negatively charged.
[2] We say 150 because that is close enough to the 1/α = 137 factor that relates the Bohr radius to the Compton radius of an electron. The reader may not be familiar with the idea of a Compton radius (as opposed to the Compton wavelength) but we refer him or her to our Zitterbewegung (ring current) model of an electron.
















