[Preliminary note (added on 4 April 2020): When re-reading what I wrote below, I realize I would fundamentally re-write certain sections. I think I have found a comprehensive realist interpretation of quantum mechanics and, hence, I’d recommend you read my paper on the fine and hyperfine structure of the hydrogen atom, which is centered around a classical explanation of the Lamb shift. The writings below are probably just good to illustrate how I got there. Lettura felice!]
[Preliminary note 2 (added on 26 June 2020): I also note the dark force has had fun here too, as a result of which the post has been mutilated substantially. So… Well… No lettura felice then, I guess.]
Wolfgang Pauli’s life is as wonderful as his scientific legacy—but we’ll just talk about one of his many contributions to quantum mechanics here in this post—not about his life.
This post should be fairly straightforward. We just want to review some of the math. Indeed, we got the ‘Grand Result’ already in our previous post, as we found the Hamiltonian coefficients for a spin one-half particle—read: all matter-particles, practically speaking—in a magnetic field—but then we can just replace the magnetic dipole moment by an electric dipole moment, if needed, and we’ll find the same formulas, so we’ve basically covered everything you can possible think of.
[…] Well… Sort of… 🙂
OK. Jokes aside, we have a magnetic field B, which we describe in terms of its components: B = (Bx, By, Bz), and we’ve defined two mutually exclusive states – call them ‘up’ or ‘down’, or 1 or 2, or + or −, whatever − along some direction, which we call the z-direction. Why? Convention. Historical accident. The z-direction is the direction in regard to which we measure stuff. What stuff? Well… Stuff like the spin of an electron: quantum-mechanical stuff. 🙂 In any case, the Hamiltonian that comes with this system is:
Now, because this matrix doesn’t look impressive enough, we’re going to re-write it as:
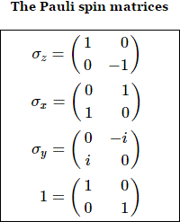
Huh? Yes. It looks good, doesn’t it? And the σx, σy and σz matrices are given below, so you can check it’s actually true. […] I mean: you can check that the two notations are equivalent, from a math point of view, that is. 🙂
As Feynman puts it: “This is what the professionals use all of the time.” So… Well… Yes. We had better learn them by heart. 🙂
The identity matrix is actually not one of the so-called Pauli spin matrices, but we need it when we’d decide to not equate the average energy of our system to zero, i.e. when we’d decide to shift the zero point of our energy scale so as to include the equivalent energy of the rest mass. In that case, we re-write the Hamiltonian as:
In fact, as most academics want to hide their knowledge from us by confusing us deliberately, they’ll often omit the Kronecker delta, and simply write:
It’s OK, as long as you know what it is that you’re trying to do. 🙂 The point is, we’ve got four ‘elementary’ matrices now which allow us to write any matrix – literally, any matrix – as a linear combination of them. In Feynman‘s words:
Now, the Pauli matrices have lots of interesting properties. Their products, for example, taken two at a time, are rather special:
The most interesting property, however, is that, when choosing some other representation, i.e. when changing to another coordinate system, the three Pauli matrices behave like the components of a vector. That vector is written as σ, and so it’s a matrix you can use in different coordinate systems, as though it’s a vector. It allows us to re-write the Hamiltonian we started out with in a particularly nice way:
You should compare this to the classical formula for the energy of a little magnet with the magnetic moment μ in the same magnetic field:
There are several differences, of course. First, note that the quantum-mechanical magnetic moment is like the quantum-mechanical angular momentum: there’s only a limited set of discrete values, given by the following relation:
That’s why we write it as a scalar in the quantum-mechanical equation, and as a vector, i.e. in boldface (μ), in the second equation. The two equations differ more fundamentally, however: the first one is a matrix equation, while the second one is… Well… Just a simple vector dot product.
The point is: the classical energy becomes the Hamiltonian matrix, and the classical μ vector becomes the μσ matrix. As Feynman puts it: “It is sometimes said that to each quantity in classical physics there corresponds a matrix in quantum mechanics, but it is really more correct to say that the Hamiltonian matrix corresponds to the energy, and any quantity that can be defined via energy has a corresponding matrix.”
[…]
What does he mean by a quantity that can be defined via energy? It’s simple: the magnetic moment, for example, can be defined via energy by saying that the energy, in an external field B, is equal to −μ·B.
Huh? Wasn’t it the other way around? Didn’t we define the energy by saying it’s equal to −μ·B?
We did. In our posts on electromagnetism. That was classical theory. However, in quantum mechanics, it’s the energy that’s the ‘currency’ we need to be dealing in. So it makes sense to look at things the other way around: we’ll first think about the energy, and then we try to find a matrix that corresponds to it.
So… Yes. Many classical quantities have their quantum-mechanical counterparts, and those quantum-mechanical counterparts are often some matrices. But not all of them. Sometimes there’s just no comparison, because the two worlds are actually different. Let me quote Feynman on what he thinks of how these two worlds relate, as he wraps up his discussion of the two equations above:
Well… That says it all, doesn’t it? 🙂 We’ll talk more tomorrow. 🙂
Some content on this page was disabled on June 16, 2020 as a result of a DMCA takedown notice from The California Institute of Technology. You can learn more about the DMCA here:
https://wordpress.com/support/copyright-and-the-dmca/
Some content on this page was disabled on June 16, 2020 as a result of a DMCA takedown notice from The California Institute of Technology. You can learn more about the DMCA here:https://wordpress.com/support/copyright-and-the-dmca/
Some content on this page was disabled on June 16, 2020 as a result of a DMCA takedown notice from The California Institute of Technology. You can learn more about the DMCA here:https://wordpress.com/support/copyright-and-the-dmca/
Some content on this page was disabled on June 16, 2020 as a result of a DMCA takedown notice from The California Institute of Technology. You can learn more about the DMCA here:https://wordpress.com/support/copyright-and-the-dmca/
Some content on this page was disabled on June 16, 2020 as a result of a DMCA takedown notice from The California Institute of Technology. You can learn more about the DMCA here:https://wordpress.com/support/copyright-and-the-dmca/
Some content on this page was disabled on June 16, 2020 as a result of a DMCA takedown notice from The California Institute of Technology. You can learn more about the DMCA here:https://wordpress.com/support/copyright-and-the-dmca/
Some content on this page was disabled on June 16, 2020 as a result of a DMCA takedown notice from The California Institute of Technology. You can learn more about the DMCA here:https://wordpress.com/support/copyright-and-the-dmca/
Some content on this page was disabled on June 16, 2020 as a result of a DMCA takedown notice from The California Institute of Technology. You can learn more about the DMCA here:https://wordpress.com/support/copyright-and-the-dmca/
Some content on this page was disabled on June 17, 2020 as a result of a DMCA takedown notice from Michael A. Gottlieb, Rudolf Pfeiffer, and The California Institute of Technology. You can learn more about the DMCA here:



