You’l surely remember the electric field of an electric dipole, as depicted below:
We distinguish two components:
- A z-component along the axis of the dipole itself, and
- A so-called transverse component, i.e. the component that is perpendicular to the axis of the dipole, or the z-axis.
Pythagoras’ rule then gives us the total field, which is equal to:
I’ll give you the formulas for both components in a moment, but let’s first introduce the concept of a magnetic dipole. Look at the magnetic field of a solenoid below, and imagine we reduce the solenoid to one loop of current only. What would we get?
We get a magnetic field that resembles the electric field from an electric dipole. Of course, it’s a magnetic field, and it’s not the field of an electric dipole but of a magnetic dipole which, in this case, is the field of a small loop of current. Feynman depicts the geometry of the situation, and the relevant variables, as follows:
Now, in my previous post, in which I presented the magnetic vector potential, I pointed out that the equations for the x-, y- and z-component of the vector potential A are Poisson equations and, therefore, they are mathematically identical to the Poisson equation for electrostatics. Now that’s why the x-, y- and z-component of the vector potential arising from a current density j is exactly the same as the electric potential Φ that would be produced by a charge density ρ equal to jx, jy and jz respectively, divided by c2, and we use that fact to calculate them. Huh? Yes. Let me just jot it down the equations once more, so you can appreciate what I am saying here:
∇2Φ = –ρ/ε0 (Poisson equation for electrostatics)
∇2A = –j/ε0c2 (Poisson equation for magnetostatics)
⇔ Ax = –jx/ε0c2, Ay = –jy/ε0c2 and Az = –jz/ε0c2
We didn’t go through all of the nitty-gritty of the exercise for a straight wire and a solenoid in our previous post, but we will do so now for our single loop of current. It’s kinda tedious stuff, so just hang in there and try to get through it. 🙂
We’ll start with Ax. To calculate Ax, we need jx, so that’s the component of the current density that’s shown below. [As you can see, jz is zero, and we’ll talk about jy in a minute.]
What are those + and − signs next to those two loop legs? Well… Think about what we wrote above: we need to think of jx divided by c2 as some charge density, and the associated Φ will then equal Ax. It’s an easy principle: the same equations have the same solutions. We’re only switching symbols. So look at the geometry of the situation: we have a uniform current and, hence, a uniform current density, in each leg of the loop, so jx is some constant over the two legs shown here. Therefore, the electrostatic equivalent is that of two charged rods with some charge density λ.
Now, it’s easy to see that λ = jx/c2 = I/c2 and… So… Well… Hmm… […] So how do we calculate the electrostatic potential Φ from two charged rods? Well… We haven’t calculated that in any of our posts, but if R is ‘large enough’ (and it should be, because we’re interested in the fields only at distances that are large compared to the size of the loop), then Φ will be the potential of a dipole with (opposite) charges that are equal to the (opposite) charges of the rods. Now, λ is a charge density, so we need to multiply it with the length of the rods a to get the charge. And then we need to multiply the charge with the distance between the two charges to get the dipole moment, so we write:
p = λab = Iab/c2
OK. That’s a nice result because we can now use that to calculate the potential. Indeed, you may or may not remember the formula for the potential of an electric dipole, but we wrote it as follows in one of my posts:
Φ = −p·∇φ0 = −(1/4πε0)p·∇(1/R) = −(1/4πε0)(p·er)/R2
∇φ0 is the gradient of φ0, and φ0 is the potential of a unit point of charge: φ0 = 1/4πε0r. In any case, don’t worry too much about this formula right now, because I’ll give you some easier version of it later on. So let’s just move on. To calculate that vector product p·er = |p|·|er |·cosθ = p·cosθ, we need to know the angle θ between them, and the direction of the dipole moment. That’s simple enough: the vector p points in the negative y-direction, so cosθ = –y/R, where y is a coordinate of P. So we have:
Now we do the grand substitution, the hat-trick really: Φ becomes Ax, and λ = jx/c2 = I/c2, and so we get:
Huh? Yes. It’s a great trick really. Brilliant! 🙂 You’ll get it. Just think about what happened for a while.
Next thing is jy. So what about it? Well… As you may have suspected, it’s a perfectly symmetrical situation, so we can just repeat the same reasoning but swap x for y and y for x. We get:
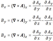
Note the minus sign has disappeared, but you can explain that yourself. And, of course, we only have the vector potential here, so we still need to calculate B from it, using the B = ∇×A equation, which is three equations involving all possible cross-derivatives really:
Phew! It looks quite horrible indeed! Feynman says: “It’s a little more complicated than electrostatics, but the same idea.” But… Well… I guess it’s a bit hard to not take this statement with a pinch of salt. For starters, there is no intuitive physical interpretation of the magnetic vector potential A, as opposed to the electric potential Φ. More importantly, calculating E = −∇Φ involves only three derivatives, and that’s a helluva lot easier than calculating not less than six cross-derivatives and keep track of their order and all of that. In any case, nothing much we can do about, so let’s grind through it. And to be fully honest: Az is zero, so the ∂Az/∂y and ∂Az/∂x derivatives above are also zero, so that leaves only four cross-derivatives to be calculated.
Let’s first define the magnetic dipole moment, however. We talked a lot about it, but what is it? We said it’s similar to the electric dipole moment p = q·d, whose magnitude was λab = Iab/c2 in this example. So what have we got here? No charge, but a current, so that’s charge per second. No distance either, but some area a·b. And then the 1/c2 factor that, somehow, always slips in because we’ve got it in Maxwell’s equation too. So, we said the fields look the same, and just like Φ was proportional to p, we now see that A is proportional to I·a·b, so it’s quite similar really and so we’ll just define the magnetic dipole moment as:
μ = (current)·(area of the loop) = I·a·b
Now, the area of the loop doesn’t have to be some square: it could also be some circle or some triangle or whatever. You should just change the formula to calculate the area accordingly. You’ll say: where’s the 1/c2 factor? It’s true: we didn’t put it in. Why? I could say: that’s the convention, but that’s a bit too easy as an answer, I guess. I am not quite sure but the best answer I have is that the 1/c2 factor has nothing to do with the physicality of the situation: it’s part of Maxwell’s equations, or the electromagnetic force equations, if you want. So it’s typical of the magnetic force but it’s got nothing to do with our little loop of current, so to speak. So that’s why we just leave it out in our definition of μ.
OK. That should be it. However, I should also note that we can (and, hence, we will) make a vector quantity out of μ, so then we write it in boldface: μ. The symmetry of the situation implies that μ should be some vector that’s normal to the plane of the loop because, if not, all directions would be equally likely candidates. But up or down? As you may expect, we’ll use the right-hand rule again, as illustrated below: if your fingers point in the direction of current, your thumb will point in μ‘s direction. The illustration below also gives the direction of A, because we can now combine the definition of μ and our formulas for Ax, Ay and Az and write:

Note that the formula for A above is quite similar to the formula for Φ below, but not quite the same: in the formula for A we’ve got a vector cross product – so that’s very different from the vector dot product below – and then we’ve also got that 1/c2 factor. So watch out: it’s the “same-same but different”, as they say in Asia. 🙂
[…] OK. Sooooo much talk, and still I did not calculate B to effectively show that the magnetic field of a magnetic dipole looks like the electric field of an electric dipole indeed. So let me no longer postpone those tedious calculations and effectively do that B = ∇×A cross-product using our new formula for A. Well… Calculating Bx and By is relatively simple because A‘s z-component is zero, so ∂Az/∂x = ∂Az/∂y = 0. So for Bx, we get:
For By and Bz, we get:
The … in the formulas above obviously stands for μ/4πε0c2. Now, let’s compare this with the components of the electric field (E) of an electric dipole. Let’s re-write the formula for the electric potential above as:
Note that this formula assumes the z-axis points in the same direction as the dipole, and that the dipole is centered at the origin of the coordinate system, so it’s the same coordinate system as the one for the magnetic dipole above. Therefore, we have that cosθ = z/r, and so the formula above is equivalent to:
Now, let’s find the electric field by using the E = (Ex, Ey, Ez) = −∇Φ = (−∂Φ/∂x, Φ, −∂Φ/∂y, −∂Φ/∂z) equation. For Ez, we get:
which we can re-write as:
Huh? Yes. Note that z also appears in r, because r = (x2+y2+z2)1/2, and so we need to apply the product (or quotient) rule for derivatives: (u·v)’ = u’·v + u·v’. Note that this simplifies to E = (1/4πε0)·(2p/r3) for the field at distance r from the dipole in the direction along its axis.
OK, so we’re done with Ez. For Ex and Ey, we get:
So… Well… Yes! We’ve checked it: the formulas for Ex, Ey, and Ez have exactly the same shape as those for Bx, By, and Bz , except for that 1/c2 factor and, of course, the fact that we switched p for μ, so we may have some other number there too. [Oh – before I forget – I promised to give you the formula for the transverse component. The transverse component is, obviously, equal to (Ex2 + Ey2)1/2. So it’s just Pythagoras’ rule once more. Let me refer you to Feynman for the explicit formula, i.e. the formula in terms of r and θ, or in terms of x and y, as I don’t need it here and there’s too much clutter already in this post.]
So… Well… Yes, that’s all very interesting! Indeed, as Feynman notes, it is quite remarkable that, starting with completely different laws, ∇•E=ρ/ϵ0 and ∇×B = j/ϵ0c2, we end up with the same kind of field.
Is it? Well… Yes and no. You should, of course, note that the sources whose configuration we summarizing here by the dipole moments are physically quite different—in one case, it’s a circulating current; in the other, a pair of charges—one above and one below the plane of the loop for the corresponding field. So… Well… It’s the same-same but different indeed! 🙂
Now, to conclude this post, we should, perhaps, have a look at the units and order of magnitude of what we’re talking about here. The unit of charge and the unit of current are related: 1 ampere is a current of 1 coulomb per second. The coulomb is a rather large unit of charge, as it’s equivalent to the charge of some 6.241×1018 protons. Now, that’s less than a mole, which is about 6×1023, but it’s still a quite respectable number. 🙂 Having said that, a current of one ampere is not so exceptional in everyday life, and so a magnetic dipole moment of 1 A·m2 (i.e. the equivalent of an electric dipole moment of 1 C·m) would not be exceptional either.
The really interesting thing about the magnetic force is that 1/c2 factor, which causes its magnitude to be so much smaller than that of the electric force. Indeed, the electric field at distance r from the dipole in the direction along its axis is given by E = (1/4πε0)·(2p/r3). Assuming p = 1 C·m, and noting that 1/4πε0 ≈ 9×109 N·m2/C2 we get E ≈ (18×109)·r−3 N/C. So we’ve got an incredibly large (18×109) factor in front here! [Note how the units come out alright: the electric field is effectively measured in newton per coulomb, indeed.]
What do we get for the magnetic field (along the z-axis once more) from a magnetic dipole with moment μ = 1 A·m2? The formula is now B = (1/4πε0c2)·(2μ/r3). Now, 1/4πε0c2 ≈ (1×10−7) N·s2/C2, so B ≈ (2×10−7)·r−3 N·s/C·m. So we’ve got an incredibly small (2×10−7) factor in front here! [As for the unit, 1 N·s/C·m is the unit of the magnetic field indeed. It’s referred to as the tesla (1 T = 1 N·s/C·m), and it makes the force equation come out alright: the magnetic force on some charge q is, indeed, Fmagnetic = qv×B, with v expressed in m/s, and so that’s why we need to multiply the N/C factor with an s/m factor in the unit for B.]
So look at this! The point to note is the relative strength – I should say weakness – of the magnetic force as compared to the electric force: they differ with a factor equal to c2 ≈ 9×1016. That’s quite incredible, especially because our electric motors and generators work through the magnetic force, as I’ll show in my next posts. In fact, looking at the Fmagnetic = qv×B, and comparing it to the electric force (Felectric = q·E), we may say that the magnitude of the magnetic force, as compared to the magnitude of the electric force, is weaker because of two factors:
- First, there is the relative velocity of the charge that we are looking, which is equal to β = v/c. The electrostatic Coulomb force has no such factor.
- Second, there is the 1/c factor, which we also encountered when discussing radiation pressure, or the momentum of light, which is equal to p = E/c, with the symbol p denoting momentum here – not some dipole moment – and with E denoting the energy of the light photons – not the electric field involved!
Both combine to give us the actual relative strength of the magnetic versus the electric force, so we can write that relative strength as:
|Fmagnetic|/|Felectric| = FB/FE = (v/c)·(1/c) = v/c2
Now, I am tempted to now write a lot about that 1/c factor, but I can’t do that here, as this post has become way too long already. Let me just add a small addendum here. It’s, perhaps, a not-so-easy piece 🙂 but I warmly recommend trying to work through it.
Addendum: On the momentum of light and radiation pressure
Look at the illustration below: it represents a beam of light, i.e. electromagnetic radiation, originating at some source S and hitting some charge q. What charge? Whatever charge the electromagnetic radiation is affecting, so you may want to think of an electron or a proton in a mirror or a piece of glass, or whatever other surface that is absorbing a photon fully or partially—so that’s any charge that is absorbing the energy of the light.
I’ve written a post on this before. It concluded a series of posts on electromagnetic radiation by noting that we usually look at the electric field only when discussing radiation. The electric field is given by the following formula for E:
I know. It looks like a monster, but the first term is just the Coulomb effect. For the explanation of the second and term term, I need to refer you to the mentioned section in Feynman’s Lecture on it. [Sorry for that, but I am still struggling somewhat with this equation myself. If and when I fully ‘get it’ myself, I’ll jot down a summary of my understanding of it. Now now, however.]
The point is: when discussing light, like interference and what have you, we usually forget about the B vector, for which the formula is the following:
So we define B by referring to E. Of course, this again shows the electric and magnetic force are one and the same phenomenon, really. The cross-product gives you both (i) the magnitude of B, which is equal to B = E/c (the magnitude of the unit vectors er’ and n in the vector cross-product are obviously equal to one, and sinθ is equal to one too), and (ii) its direction: it’s perpendicular to both E as well as to er’, which is the unit vector from the point P where E is measured to the charge q that is producing the field.
The B = E/c equation tells us why the magnetic field is never looked at when discussing electromagnetic radiation: because it’s so tiny. It’s so tiny because of that 1/c factor, and so the B vector in the illustration above is surely not to scale: if all was drawn to scale, you just wouldn’t see it, because it’s 1/c times smaller than E. However, it’s there, and the illustration shows how the magnetic force resulting from it looks like, if we forget about scale, that is. 🙂
The magnetic force is, obviously, F = qv×B, and you need to apply the usual right-hand screw rule to find the direction of the force. [Please note that the order of magnitude of the force is the same as that of B so… Well… Again I need to warn you the illustration is not to scale and, hence, somewhat misleading. But I can’t think of an alternative to it.] As you can see, the magnetic force – as tiny as it is – is oriented in the direction of propagation, and it is what is responsible for the so-called radiation pressure.
Indeed, there is a ‘pushing momentum’ here, and we can calculate how strong it is. In fact, we should check how strong it is in order to see if it could, potentially, make a space ship like the one below. 🙂
Sorry. That was just to add a lighter note. 🙂 I know posts like these are rather tedious, so I just wanted to lighten it all up. 🙂 So… Well… Back to our F = qv×B equation. Because of that B = –er’×E/c formula, we can substitute B for E/c, and so we get the following formula for the magnitude of the magnetic force:
F = q·v·E/c
Now, the charge q times the electric field is the electric force on the charge, and the force on the charge times the velocity is equal to dW/dt, so that’s the time rate of change of the work that’s being done on the charge.
Huh? I know: not easy to see what’s being done here. Think of it like this: work equals force times distance, so W = qE·s in this case. Hence, dW/dt = d(qE·s)/dt = qE·ds/dt = qE·ds/dt. [Note that, if you’d check Feynman’s analysis, you’ll find that it’s based on average values here for some reason, so he writes 〈F〉 and 〈E〉, but I am not quite sure why, so I simplified here. I’ll try to figure the why of these averages later, and let you know.]
Again, think physical, rather than mathematical: what’s the charge here? It’s whatever charge the electromagnetic radiation is hitting, so you should think of an electron or a proton in a mirror or a piece of glass or whatever other surface. Now, because of the energy conservation principle, dW/dt must also be equal to the energy that is being absorbed from the light per second. So F = (dW/dt)/c.
Now, Newton’s Law (he had many, of course, so let me be precise: I am talking Newton’s Second Law of Motion) tells us that the force is the rate of change of the momentum: F = m·a = m·dv/dt = d(m·v)/dt. Hence, integrating both sides of the F = (dW/dt)/c equation gives us the associated momentum of the light: p = W/c.
In short, we know that light carries energy, but so we also know that light also carries momentum, and that momentum is due to the magnetic force, and it’s equal to 1/c times the energy. To be clear: it’s real pressure, so when light is emitted from a source there is a recoil effect, and when light hits some charge, it’s the same thing: the momentum of the light is being conserved as the charge that’s absorbing the energy picks it up. To be fully complete: we also have Newton’s Third Law of Motion coming into play: for every action, there is an equal and opposite reaction.
So… Well… That’s about it, I think. Just note that you’ll usually see this momentum written as p = E/c, with E denoting the energy of the radiation, not the electric field (sorry for the switch in symbols). In this equation, E is given by the Planck-Einstein relation E = h·f, with h Planck’s constant and f the frequency of the light.
Interesting! So it all makes sense! Isn’t it wonderful how all these equations come together in the end? 🙂 However, I shouldn’t digress even more, and so I’ll leave it to you to further reflect on this. 🙂
Some content on this page was disabled on June 16, 2020 as a result of a DMCA takedown notice from The California Institute of Technology. You can learn more about the DMCA here:
https://wordpress.com/support/copyright-and-the-dmca/
Some content on this page was disabled on June 16, 2020 as a result of a DMCA takedown notice from The California Institute of Technology. You can learn more about the DMCA here:https://wordpress.com/support/copyright-and-the-dmca/
Some content on this page was disabled on June 16, 2020 as a result of a DMCA takedown notice from The California Institute of Technology. You can learn more about the DMCA here:https://wordpress.com/support/copyright-and-the-dmca/
Some content on this page was disabled on June 16, 2020 as a result of a DMCA takedown notice from The California Institute of Technology. You can learn more about the DMCA here:https://wordpress.com/support/copyright-and-the-dmca/
Some content on this page was disabled on June 16, 2020 as a result of a DMCA takedown notice from The California Institute of Technology. You can learn more about the DMCA here:https://wordpress.com/support/copyright-and-the-dmca/
Some content on this page was disabled on June 16, 2020 as a result of a DMCA takedown notice from The California Institute of Technology. You can learn more about the DMCA here:https://wordpress.com/support/copyright-and-the-dmca/
Some content on this page was disabled on June 16, 2020 as a result of a DMCA takedown notice from The California Institute of Technology. You can learn more about the DMCA here:https://wordpress.com/support/copyright-and-the-dmca/
Some content on this page was disabled on June 16, 2020 as a result of a DMCA takedown notice from The California Institute of Technology. You can learn more about the DMCA here:https://wordpress.com/support/copyright-and-the-dmca/
Some content on this page was disabled on June 16, 2020 as a result of a DMCA takedown notice from The California Institute of Technology. You can learn more about the DMCA here:https://wordpress.com/support/copyright-and-the-dmca/
Some content on this page was disabled on June 16, 2020 as a result of a DMCA takedown notice from The California Institute of Technology. You can learn more about the DMCA here:https://wordpress.com/support/copyright-and-the-dmca/
Some content on this page was disabled on June 16, 2020 as a result of a DMCA takedown notice from The California Institute of Technology. You can learn more about the DMCA here:https://wordpress.com/support/copyright-and-the-dmca/
Some content on this page was disabled on June 16, 2020 as a result of a DMCA takedown notice from The California Institute of Technology. You can learn more about the DMCA here:https://wordpress.com/support/copyright-and-the-dmca/
Some content on this page was disabled on June 16, 2020 as a result of a DMCA takedown notice from The California Institute of Technology. You can learn more about the DMCA here:https://wordpress.com/support/copyright-and-the-dmca/
Some content on this page was disabled on June 16, 2020 as a result of a DMCA takedown notice from The California Institute of Technology. You can learn more about the DMCA here:https://wordpress.com/support/copyright-and-the-dmca/
Some content on this page was disabled on June 16, 2020 as a result of a DMCA takedown notice from The California Institute of Technology. You can learn more about the DMCA here:https://wordpress.com/support/copyright-and-the-dmca/
Some content on this page was disabled on June 16, 2020 as a result of a DMCA takedown notice from The California Institute of Technology. You can learn more about the DMCA here:https://wordpress.com/support/copyright-and-the-dmca/
Some content on this page was disabled on June 16, 2020 as a result of a DMCA takedown notice from The California Institute of Technology. You can learn more about the DMCA here:https://wordpress.com/support/copyright-and-the-dmca/
Some content on this page was disabled on June 16, 2020 as a result of a DMCA takedown notice from The California Institute of Technology. You can learn more about the DMCA here:https://wordpress.com/support/copyright-and-the-dmca/
Some content on this page was disabled on June 16, 2020 as a result of a DMCA takedown notice from The California Institute of Technology. You can learn more about the DMCA here:https://wordpress.com/support/copyright-and-the-dmca/
Some content on this page was disabled on June 20, 2020 as a result of a DMCA takedown notice from Michael A. Gottlieb, Rudolf Pfeiffer, and The California Institute of Technology. You can learn more about the DMCA here:



4 thoughts on “The field of electric and magnetic dipoles”