This post goes to the heart of the E = mc2, equation. It’s kinda funny, because Feynman just compresses all of it in a sub-section of his Lectures. However, as far as I am concerned, I feel it’s a very crucial section. Pivotal, I’d say, which would fit with its place in all of the 115 Lectures that make up the three volumes, which is sort of mid-way, which is where we are here. So let’s get go for it. 🙂
Let’s first recall what we wrote about the Poynting vector S, which we calculate from the magnetic and electric field vectors E and B by taking their cross-product:
This vector represents the energy flow, per unit area and per unit time, in electrodynamical situations. If E and/or B are zero (which is the case in electrostatics, for example, because we don’t have magnetic fields in electrostatics), then S is zero too, so there is no energy flow then. That makes sense, because we have no moving charges, so where would the energy go to?
I also made it clear we should think of S as something physical, by comparing it to the heat flow vector h, which we presented when discussing vector analysis and vector operators. The heat flow out of a surface element da is the area times the component of h perpendicular to da, so that’s (h•n)·da = hn·da. Likewise, we can write (S•n)·da = Sn·da. The units of S and h are also the same: joule per second and per square meter or, using the definition of the watt (1 W = 1 J/s), in watt per square meter. In fact, if you google a bit, you’ll find that both h and S are referred to as a flux density:
- The heat flow vector h is the heat flux density vector, from which we get the heat flux through an area through the (h•n)·da = hn·da product.
- The energy flow S is the energy flux density vector, from which we get the energy flux through the (S•n)·da = Sn·da product.
So that should be enough as an introduction to what I want to talk about here. Let’s first look at the energy conservation principle once again.
Local energy conservation
In a way, you can look at my previous post as being all about the equation below, which we referred to as the ‘local’ energy conservation law:
Of course, it is not the complete energy conservation law. The local energy is not only in the field. We’ve got matter as well, and so that’s what I want to discuss here: we want to look at the energy in the field as well as the energy that’s in the matter. Indeed, field energy is conserved, and then it isn’t: if the field is doing work on matter, or matter is doing work on the field, then… Well… Energy goes from one to the other, i.e. from the field to the matter or from the matter to the field. So we need to include matter in our analysis, which we didn’t do in our last post. Feynman gives the following simple example: we’re in a dark room, and suddenly someone turns on the light switch. So now the room is full of field energy—and, yes, I just mean it’s not dark anymore. :-). So that means some matter out there must have radiated its energy out and, in the process, it must have lost the equivalent mass of that energy. So, yes, we had matter losing energy and, hence, losing mass.
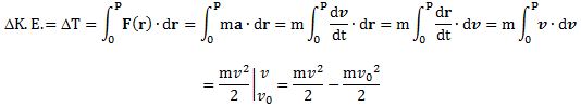
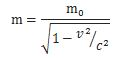
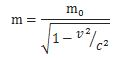
Now, we know that energy and momentum are related. Respecting and incorporating relativity theory, we’ve got two equivalent formulas for it:
- E2 − p2c2 = m02c4
- pc = E·(v/c) ⇔ p = v·E/c2 = m·v
The E = mc2 and m = ·m0·(1−v2/c2)−1/2 formulas connect both expressions. So we can look at it in either of two ways. We could use the energy conservation law, but Feynman prefers the conservation of momentum approach, so let’s see where he takes us. If the field has some energy (and, hence, some equivalent mass) per unit volume, and if there’s some flow, so if there’s some velocity (which there is: that’s what our previous post was all about), then it will have a certain momentum per unit volume. [Remember: momentum is mass times velocity.] That momentum will have a direction, so it’s a vector, just like p = mv. We’ll write it as g, so we define g as:
g is the momentum of the field per unit volume.
What units would we express it in? We’ve got a bit of choice here. For example, because we’re relating everything to energy here, we may want to convert our kilogram into eV/c2 or J/c2 units, using the mass-energy equivalence relation E = mc2. Hmm… Let’s first keep the kg as a measure of inertia though. So we write: [g] = [m]·[v]/m3 = (kg·m/s)/m3. Hmm… That doesn’t show it’s energy, so let’s replace the kg with a unit that’s got newton and meter in it, cf. the F = ma law. So we write: [g] = (kg·m/s)/m3 = (kg/s)/m2 = [(N·s2/m)/s]/m2 = N·s/m3. Well… OK. The newton·second is the unit of momentum indeed, and we can re-write it including the joule (1 J = 1 N·m), so then we get [g] = (J·s/m4), so what’s that? Well… Nothing much. However, I do note it happens to be the dimension of S/c2, so that’s [S/c2] = [J/(s·m2)]·(s2/m2) = (J·s/m4). 🙂 Let’s continue the discussion.
Now, momentum is conserved, and each component of it is conserved. So let’s look at the x-direction. We should have something like:
If you look at this carefully, you’ll probably say: “OK. I understood the thing with the dark room and light switch. Mass got converted into field energy, but what’s that second term of the left?”
Good. Smart. Right remark. Perfect. […] Let me try to answer the question. While all of the quantities above are expressed per unit volume, we’re actually looking at the same infinitesimal volume element here, so the example of the light switch is actually an example of a ‘momentum outflow’, so it’s actually an example of that second term of the left-hand side of the equation above kicking in! 🙂
Indeed, the first term just sort of reiterates the mass-energy equivalence: the energy that’s in the matter can become field energy, so to speak, in our infinitesimal volume element itself, and vice versa. But if it doesn’t, then it should get out and, hence, become ‘momentum outflow’. Does that make sense? No?
Hmm… What to say? You’ll need to look at that equation a couple of times more, I guess. But I need to move on, unfortunately. [Don’t get put off when I say things like this: I am basically talking to myself, so it means I’ll need to re-visit this myself. :-/]
Let’s look at all of the three terms:
- The left-hand side (i.e. the time rate-of-change of the momentum of matter) is easy. It’s just the force on it, which we know is equal to F = q(E+v×B). Do we know that? OK… I’ll admit it. Sometimes it’s easy to forget where we are in an analysis like this, but so we’re looking at the electromagnetic force here. 🙂 As we’re talking infinitesimals here and, therefore, charge density rather than discrete charges, we should re-write this as the force per unit volume which is ρE+j×B. [This is an interesting formula which I didn’t use before, so you should double-check it. :-)]
- The first term on the right-hand side should be equally obvious, or… Well… Perhaps somewhat less so. But with all my rambling on the Uncertainty Principle and/or the wave-particle duality, it should make sense. If we scrap the second term on the right-hand side, we basically have an equation that is equivalent to the E = mc2 equation. No? Sorry. Just look at it, again and again. You’ll end up understanding it. 🙂
- So it’s that second term on the right-hand side. What the hell does that say? Well… I could say: it’s the local energy or momentum conservation law. If the energy or momentum doesn’t stay in, it has to go out. 🙂 But that’s not very satisfactory as an answer, of course. However, please just go along with this ‘temporary’ answer for a while.
So what is that second term on the right-hand side? As we wrote it, it’s an x-component – or, let’s put it differently, it is or was part of the x-component of the momentum density – but, frankly, we should probably allow it to go out in any direction really, as the only constraint on the left-hand side is a per second rate of change of something. Hence, Feynman suggest to equate it to something like this:
What a, b and c? The components of some vector? Not sure. We’re stuck. This piece really requires very advanced math. In fact, as far as I know, this is the only time where Feynman says: “Sorry. This is too advanced. I’ll just give you the equation. Sorry.” So that’s what he does. He explains the philosophy of the argument, which is the following:
- On the left-hand side, we’ve got the time rate-of-change of momentum, so that obeys the F = dp/dt = d(mv)/dt law, with the force F, per unit volume, being equal to F(unit volume) = ρE+j×B.
- On the right-hand side, we’ve got something that can be written as:
So we’d need to find a way to ρE+j×B in terms of E and B only – eliminating ρ and j by using Maxwell’s equations or whatever other trick – and then juggle terms and make substitutions to get it into a form that looks like the formula above, i.e. the right-hand side of that equation. But so Feynman doesn’t show us how it’s being done. He just mentions some theorem in physics, which says that the energy that’s flowing through a unit area per unit time divided by c2 – so that’s E/c2 per unit area and per unit time – must be equal to the momentum per unit volume in the space, so we write:
g = S/c2
He illustrates the general theorem that’s used to get the equation above by giving two examples:
OK. Two good examples. However, it’s still frustrating to not see how we get the g = S/c2 in the specific context of the electromagnetic force, so let’s do a dimensional analysis at least. In my previous post, I showed that the dimension of S must be J/(m2·s), so [S/c2] = [J/(m2·s)]/(m2/s2) = [N·m/(m2·s)]·(s2/m2) = [N·s/m3]. Now, we know that the unit of mass is 1 kg = N/(m/s2). That’s just the force law: a force of 1 newton will give a mass of 1 kg an acceleration of 1 m/s per second, so 1 N = 1 kg·(m/s2). So the [N·s/m3] dimension is equal to [kg·(m/s2)·s/m3] = [(kg·(m/s)/m3] = [(kg·(m/s)]/m3, which is the dimension of momentum (p = mv) per unit volume, indeed. So, yes, the dimensional analysis works out, and it’s also in line with the p = v·E/c2 = m·v equation, but… Oh… We did a dimensional analysis already, where we also showed that [g] = [S/c2] = (J·s/m4). Well… In any case… It’s a bit frustrating to not see the detail here, but let us note the the Grand Result once again:
The Poynting vector S gives us the energy flow as well as the momentum density g = S/c2.
But what does it all mean, really? Let’s go through Einstein’s illustration of the principle. That will help us a lot. Before we do, however, I’d like to note something. I’ve always wondered a bit about that dichotomy between energy and momentum. Energy is force times distance: 1 joule is 1 newton × 1 meter indeed (1 J = 1 N·m). Momentum is force times time, as we can express it in N·s. Planck’s constant h combines all three in the dimension of action, which is force times distance times time: h ≈ 6.6×10−34 N·m·s, indeed. I like that unity. In this regard, you should, perhaps, quickly review that post in which I explain that h is the energy per cycle, i.e. per wavelength or per period, of a photon, regardless of its wavelength. So it’s really something very fundamental.
We’ve got something similar here: energy and momentum coming together, and being shown as one aspect of the same thing: some oscillation. Indeed, just see what happens with the dimensions when we ‘distribute’ the 1/c2 factor on the right-hand side over the two sides, so we write: c·g = S/c and work out the dimensions:
- [c·g ] = (m/s)·(N·s)/m3 = N/m2 = J/m3.
- [S/c] = (s/m)·(N·m)/(s·m2) = N/m2 = J/m3.
Isn’t that nice? Both sides of the equation now have a dimension like ‘the force per unit area’, or ‘the energy per unit volume’. To get that, we just re-scaled g and S, by c and 1/c respectively. As far as I am concerned, this shows an underlying unity we probably tend to mask with our ‘related but different’ energy and momentum concepts. It’s like E and B: I just love it we can write them together in our Poynting formula S = ε0c2E×B. In fact, let me show something else here, which you should think about. You know that c2 = 1/(ε0μ0), so we can write S also as S = E×B/μ0. That’s nice, but what’s nice too is the following:
- S/c = c·g = ε0cE×B = E×B/μ0c
- S/g = c2 = 1/(ε0μ0)
So, once again, Feynman may feel the Poynting vector is sort of counter-intuitive when analyzing specific situations but, as far as I am concerned, I feel the Poyning vector makes things actually easier to understand. Instead of two E and B vectors, and two concepts to deal with ‘energy’ (i.e. energy and momentum), we’re sort of unifying things here. In that regard – i.e in regard of feeling we’re talking the same thing really – I’d really highlight the S/g = c2 = 1/(ε0μ0) equation. Indeed, the universal constant c acts just like the fine-structure constant here: it links everything to everything. 🙂
And, yes, it’s also about time we introduce the so-called principle of least action to explain things, because action, as a concept, combines force, distance and time indeed, so it’s a bit more promising than just energy, of just momentum. Having said that, you’ll see in the next section that it’s sometimes quite useful to have the choice between one formula or the other. But… Well… Enough talk. Let’s look at Einstein’s car.
Einstein’s car
Einstein’s car is a wonderful device: it rolls without any friction and it moves with a little flashlight. That’s all it needs. It’s pictured below. 🙂 So the situation is the following: the flashlight shoots some light out from one side, which is then stopped at the opposite end of the car. When the light is emitted, there must be some recoil. In fact, we know it’s going to be equal to 1/c times the energy because all we need to do is apply the pc = E·(v/c) formula for v = c, so we know that p = E/c. Of course, this momentum now needs to move Einstein’s car. It’s frictionless, so it should work, but still… The car has some mass M, and so that will determine its recoil velocity: v = p/M. We just apply the general p = mv formula here, and v is not equal to c here, of course! Of course, then the light hits the opposite end of the car and delivers the same momentum, so that stops the car again. However, it did move over some distance x = vt. So we could flash our light again and get to wherever we want to get. [Never mind the infinite accelerations involved!] So… Well… Great! Yes, but Einstein didn’t like this car when he first saw it. In fact, he still doesn’t like it, because he knows it won’t take you very far. 🙂
The problem is that we seem to be moving the center of gravity of this car by fooling around on the inside only. Einstein doesn’t like that. He thinks it’s impossible. And he’s right of course. The thing is: the center of gravity did not change. What happened here is that we’ve got some blob of energy, and so that blob has some equivalent mass (which we’ll denote by U/c2), and so that equivalent mass moved all the way from one side to the other, i.e. over the length of the car, which we denote by L. In fact, it’s stuff like this that inspired the whole theory of the field energy and field momentum, and how it interacts with matter.
What happens here is like switching the light on in the dark room: we’ve got matter doing work on the field, and so matter loses mass, and the field gains it, through its momentum and/or energy. To calculate how much, we could integrate S/c or c·g over the volume of our blob, and we’d get something in joule indeed, but there’s a simpler way here. The momentum conservation says that the momentum of our car and the momentum of our blob must be equal, so if T is the time that was needed for our blob to go to the other side – and so that’s, of course, also the time during which our car was rolling – then M·v = M·x/T must be equal to (U/c2)·c = (U/c2)·L/T. The 1/T factor on both sides cancel, so we write: M·x = (U/c2)·L. Now, what is x? Yes. In case you were wondering, that’s what we’re looking for here. 🙂 Here it is:
x = vT = vL/c = (p/M)·(L/c) = [U/c)/M]·(L/c) = (U/c2)·(L/M)
So what’s next? Well… Now we need to show that the center-of-mass actually did not move with this ‘transfer’ of the blob. I’ll leave the math to you here: it should all work out. And you can also think through the obvious questions:
- Where is the energy and, hence, the mass of our blob after it stops the car? Hint: think about excited atoms and imagine they might radiate some light back. 🙂
- As the car did move a little bit, we should be able to move it further and further away from its center of gravity, until the center of gravity is no longer in the car. Hint: think about batteries and energy levels going down while shooting light out. It just won’t happen. 🙂
Now, what about a blob of light going from the top to the bottom of the car? Well… That involves the conservation of angular momentum: we’ll have more mass on the bottom, but on a shorter lever-arm, so angular momentum is being conserved. It’s a very good question though, and it led Einstein to combine the center-of-gravity theorem with the angular momentum conservation theorem to explain stuff like this.
It’s all fascinating, and one can think of a great many paradoxes that, at first, seem to contradict the Grand Principles we used here, which means that they would contradict all that we have learned so far. However, a careful analysis of those paradox reveals that they are paradoxes indeed: propositions which sound true but are, in the end, self-contradictory. In fact, when explaining electromagnetism over his various Lectures, Feynman tasks his readers with a rather formidable paradox when discussing the laws of induction, he solves it here, ten chapters later, after describing what we described above. You can busy yourself with it but… Well… I guess you’ve got something better to do. If so, just take away the key lesson: there’s momentum in the field, and it’s also possible to build up angular momentum in a magnetic field and, if you switch it off, the angular momentum will be given back, somehow, as it’s stored energy.
That’s also why the seemingly irrelevant circulation of S we discussed in my previous post, where we had a charge next to an ordinary magnet, and where we found that there was energy circulating around, is not so queer. The energy is there, in the circulating field, and it’s real. As real as can be. 🙂
Some content on this page was disabled on June 16, 2020 as a result of a DMCA takedown notice from The California Institute of Technology. You can learn more about the DMCA here:
https://wordpress.com/support/copyright-and-the-dmca/
Some content on this page was disabled on June 16, 2020 as a result of a DMCA takedown notice from The California Institute of Technology. You can learn more about the DMCA here:






















