In many of our papers, we presented the orbital motion of an electron around a nucleus or inside of a more complicated molecular structure[1], as well as the motion of the pointlike charge inside of an electron itself, as a fundamental oscillation. You will say: what is fundamental and, conversely, what is not? These oscillations are fundamental in the sense that these motions are (1) perpetual or stable and (2) also imply a quantization of space resulting from the Planck-Einstein relation.
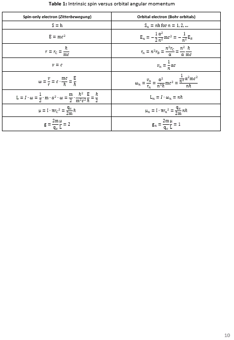
Needless to say, this quantization of space looks very different depending on the situation: the order of magnitude of the radius of orbital motion around a nucleus is about 150 times the electron’s Compton radius[2] so, yes, that is very different. However, the basic idea is always the same: a pointlike charge going round and round in a rather regular fashion (otherwise our idea of a cycle time (T = 1/f) and an orbital would not make no sense whatsoever), and that oscillation then packs a certain amount of energy as well as Planck’s quantum of action (h). In fact, that’s just what the Planck-Einstein relation embodies: E = h·f. Frequencies and, therefore, radii and velocities are very different (we think of the pointlike charge inside of an electron as whizzing around at lightspeed, while the order of magnitude of velocities of the electron in an atomic or molecular orbital is also given by that fine-structure constant: v = α·c/n (n is the principal quantum number, or the shell in the gross structure of an atom), but the underlying equations of motion – as Dirac referred to it – are not fundamentally different.
We can look at these oscillations in two very different ways. Most Zitterbewegung theorists (or realist thinkers, I might say) think of it as a self-perpetuating current in an electromagnetic field. David Hestenes is probably the best known theorist in this class. However, we feel such view does not satisfactorily answer the quintessential question: what keeps the charge in its orbit? We, therefore, preferred to stick with an alternative model, which we loosely refer to as the oscillator model.
However, truth be told, we are aware this model comes with its own interpretational issues. Indeed, our interpretation of this oscillator model oscillated between the metaphor of a classical (non-relativistic) two-dimensional oscillator (think of a Ducati V2 engine, with the two pistons working in tandem in a 90-degree angle) and the mathematically correct analysis of a (one-dimensional) relativistic oscillator, which we may sum up in the following relativistically correct energy conservation law:
dE/dt = d[kx2/2 + mc2]/dt = 0
More recently, we actually noted the number of dimensions (think of the number of pistons of an engine) should actually not matter at all: an old-fashioned radial airplane engine has 3, 5, 7, or more cylinders (the non-even number has to do with the firing mechanism for four-stroke engines), but the interplay between those pistons can be analyzed just as well as the ‘sloshing back and forth’ of kinetic and potential energy in a dynamic system (see our paper on the meaning of uncertainty and the geometry of the wavefunction). Hence, it seems any number of springs or pistons working together would do the trick: somehow, linear becomes circular motion, and vice versa. But so what number of dimensions should we use for our metaphor, really?
We now think the ‘one-dimensional’ relativistic oscillator is the correct mathematical analysis, but we should interpret it more carefully. Look at the dE/dt = d[kx2/2 + mc2]/dt = = d(PE + KE)/dt = 0 once more.
For the potential energy, one gets the same kx2/2 formula one gets for the non-relativistic oscillator. That is no surprise: potential energy depends on position only, not on velocity, and there is nothing relative about position. However, the (½)m0v2 term that we would get when using the non-relativistic formulation of Newton’s Law is now replaced by the mc2 = γm0c2 term. Both energies vary – with position and with velocity respectively – but the equation above tells us their sum is some constant. Equating x to 0 (when the velocity v = c) gives us the total energy of the system: E = mc2. Just as it should be. 🙂 So how can we now reconcile this two models? One two-dimensional but non-relativistic, and the other relativistically correct but one-dimensional only? We always get this weird 1/2 factor! And we cannot think it away, so what is it, really?
We still don’t have a definite answer, but we think we may be closer to the conceptual locus where these two models might meet: the key is to interpret x and v in the equation for the relativistic oscillator as (1) the distance along an orbital, and (2) v as the tangential velocity of the pointlike charge along this orbital.
Huh? Yes. Read everything slowly and you might see the point. [If not, don’t worry about it too much. This is really a minor (but important) point in my so-called realist interpretation of quantum mechanics.]
If you get the point, you’ll immediately cry wolf and say such interpretation of x as a distance measured along some orbital (as opposed to the linear concept we are used to) and, consequently, thinking of v as some kind of tangential velocity along such orbital, looks pretty random. However, keep thinking about it, and you will have to admit it is a rather logical way out of the logical paradox. The formula for the relativistic oscillator assumes a pointlike charge with zero rest mass oscillating between v = 0 and v = c. However, something with zero rest mass will always be associated with some velocity: it cannot be zero! Think of a photon here: how would you slow it down? And you may think we could, perhaps, slow down a pointlike electric charge with zero rest mass in some electromagnetic field but, no! The slightest force on it will give it infinite acceleration according to Newton’s force law. [Admittedly, we would need to distinguish here between its relativistic expression (F = dp/dt) and its non-relativistic expression (F = m0·a) when further dissecting this statement, but you get the idea. Also note that we are discussing our electron here, in which we do have a zero-rest-mass charge. In an atomic or molecular orbital, we are talking an electron with a non-zero rest mass: just the mass of the electron whizzing around at a (significant) fraction (α) of lightspeed.]
Hence, it is actually quite rational to argue that the relativistic oscillator cannot be linear: the velocity must be some tangential velocity, always and – for a pointlike charge with zero rest mass – it must equal lightspeed, always. So, yes, we think this line of reasoning might well the conceptual locus where the one-dimensional relativistic oscillator (E = m·a2·ω2) and the two-dimensional non-relativistic oscillator (E = 2·m·a2·ω2/2 = m·a2·ω2) could meet. Of course, we welcome the view of any reader here! In fact, if there is a true mystery in quantum physics (we do not think so, but we know people – academics included – like mysterious things), then it is here!
Post scriptum: This is, perhaps, a good place to answer a question I sometimes get: what is so natural about relativity and a constant speed of light? It is not so easy, perhaps, to show why and how Lorentz’ transformation formulas make sense but, in contrast, it is fairly easy to think of the absolute speed of light like this: infinite speeds do not make sense, both physically as well as mathematically. From a physics point of view, the issue is this: something that moves about at an infinite speed is everywhere and, therefore, nowhere. So it doesn’t make sense. Mathematically speaking, you should not think of v reaching infinite but of a limit of a ratio of a distance interval that goes to infinity, while the time interval goes to zero. So, in the limit, we get a division of an infinite quantity by 0. That’s not infinity but an indeterminacy: it is totally undefined! Indeed, mathematicians can easily deal with infinity and zero, but divisions like zero divided by zero, or infinity divided by zero are meaningless. [Of course, we may have different mathematical functions in the numerator and denominator whose limits yields those values. There is then a reasonable chance we will be able to factor stuff out so as to get something else. We refer to such situations as indeterminate forms, but these are not what we refer to here. The informed reader will, perhaps, also note the division of infinity by zero does not figure in the list of indeterminacies, but any division by zero is generally considered to be undefined.]
[1] It may be extra electron such as in, for example, the electron which jumps from place to place in a semiconductor (see our quantum-mechanical analysis of electric currents). Also, as Dirac first noted, the analysis is actually also valid for electron holes, in which case our atom or molecule will be positively ionized instead of being neutral or negatively charged.
[2] We say 150 because that is close enough to the 1/α = 137 factor that relates the Bohr radius to the Compton radius of an electron. The reader may not be familiar with the idea of a Compton radius (as opposed to the Compton wavelength) but we refer him or her to our Zitterbewegung (ring current) model of an electron.



What are the implications for the assumed centripetal force keeping the elementary charge in motion? The centripetal acceleration is equal to ac = vt2/a = a·ω2. It is probably useful to remind ourselves how we get this result so as to make sure our calculations are relativistically correct. The position vector r (which describes the position of the zbw charge) has a horizontal and a vertical component: x = a·cos(ωt) and y = a·sin(ωt). We can now calculate the two components of the (tangential) velocity vector v = dr/dt as vx = –a·ω·sin(ωt) and vy y = –a· ω·cos(ωt) and, in the next step, the components of the (centripetal) acceleration vector ac: ax = –a·ω2·cos(ωt) and ay = –a·ω2·sin(ωt). The magnitude of this vector is then calculated as follows:



















