Pre-scriptum (PS), added on 6 March 2020: The ideas below also naturally lead to a theory about what a neutrino might actually be. As such, it’s a complete ‘alternative’ Theory of Everything. I uploaded the basics of such theory on my academia.edu site. For those who do not want to log on to academia.edu, you can also find the paper on my author’s page on Phil Gibb’s site.
Text:
We were rather tame in our last paper on the oscillator model of an electron. We basically took some philosophical distance from it by stating we should probably only think of it as a mathematical equivalent to Hestenes’ concept of the electron as a superconducting loop. However, deep inside, we feel we should not be invoking Maxwell’s laws of electrodynamics to explain what a proton and an electron might actually be. The basics of the ring current model can be summed up in one simple equation:
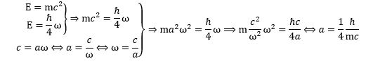
c = a·ω
This is the formula for the tangential velocity. Einstein’s mass-energy equivalence relation and the Planck-Einstein relation explain everything else[1], as evidenced by the fact that we can immediately derive the Compton radius of an electron from these three equations, as shown below:
The reader might think we are just ‘casually connecting formulas’ here[2] but we feel we have a full-blown theory of the electron here: simple and consistent. The geometry of the model is visualized below. We think of an electron (and a proton) as consisting of a pointlike elementary charge – pointlike but not dimensionless[3] – moving about at (nearly) the speed of light around the center of its motion.

The relation works perfectly well for the electron. However, when applying the a = ħ/mc radius formula to a proton, we get a value which is about 1/4 of the measured proton radius: about 0.21 fm, as opposed to the 0.83-0.84 fm charge radius which was established by Professors Pohl, Gasparan and others over the past decade.[4] In our papers on the proton radius[5], we motivated the 1/4 factor by referring to the energy equipartition theorem and assuming energy is, somehow, equally split over electromagnetic field energy and the kinetic energy in the motion of the zbw charge. However, the reader must have had the same feeling as we had: these assumptions are rather ad hoc. We, therefore, propose something more radical:
When considering systems (e.g. electron orbitals) and excited states of particles, angular momentum comes in units (nearly) equal to ħ, but when considering the internal structure of elementary particles, (orbital) angular momentum comes in an integer fraction of ħ. This fraction is 1/2 for the electron[6] and 1/4 for the proton.
Let us write this out for the proton radius:
What are the implications for the assumed centripetal force keeping the elementary charge in motion? The centripetal acceleration is equal to ac = vt2/a = a·ω2. It is probably useful to remind ourselves how we get this result so as to make sure our calculations are relativistically correct. The position vector r (which describes the position of the zbw charge) has a horizontal and a vertical component: x = a·cos(ωt) and y = a·sin(ωt). We can now calculate the two components of the (tangential) velocity vector v = dr/dt as vx = –a·ω·sin(ωt) and vy y = –a· ω·cos(ωt) and, in the next step, the components of the (centripetal) acceleration vector ac: ax = –a·ω2·cos(ωt) and ay = –a·ω2·sin(ωt). The magnitude of this vector is then calculated as follows:
ac2 = ax2 + ay2 = a2·ω4·cos2(ωt) + a2·ω4·sin2(ωt) = a2·ω4 ⇔ ac = a·ω2 = vt2/a
Now, Newton’s force law tells us that the magnitude of the centripetal force will be equal to:
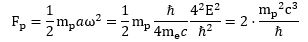
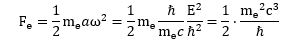
F = mγ·ac = mγ·a·ω2
As usual, the mγ factor is, once again, the effective mass of the zbw charge as it zitters around the center of its motion at (nearly) the speed of light: it is half the electron mass.[7] If we denote the centripetal force inside the electron as Fe, we can relate it to the electron mass me as follows:
Assuming our logic in regard to the effective mass of the zbw charge inside a proton is also valid – and using the 4E = ħω and a = ħ/4mc relations – we get the following equation for the centripetal force inside of a proton:
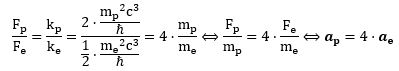
How should we think of this? In our oscillator model, we think of the centripetal force as a restoring force. This force depends linearly on the displacement from the center and the (linear) proportionality constant is usually written as k. Hence, we can write Fe and Fp as Fe = -kex and Fp = -kpx respectively. Taking the ratio of both so as to have an idea of the respective strength of both forces, we get this:
The ap and ae are acceleration vectors – not the radius. The equation above seems to tell us that the centripetal force inside of a proton gives the zbw charge inside – which is nothing but the elementary charge, of course – an acceleration that is four times that of what might be going on inside the electron.
Nice, but how meaningful are these relations, really? If we would be thinking of the centripetal or restoring force as modeling some elasticity of spacetime – the guts intuition behind far more complicated string theories of matter – then we may think of distinguishing between a fundamental frequency and higher-level harmonics or overtones.[8] We will leave our reflections at that for the time being.
We should add one more note, however. We only talked about the electron and the proton here. What about other particles, such as neutrons or mesons? We do not consider these to be elementary because they are not stable: we think they are not stable because the Planck-Einstein relation is slightly off, which causes them to disintegrate into what we’ve been trying to model here: stable stuff. As for the process of their disintegration, we think the approach that was taken by Gell-Man and others[9] is not productive: inventing new quantities that are supposedly being conserved – such as strangeness – is… Well… As strange as it sounds. We, therefore, think the concept of quarks confuses rather than illuminates the search for a truthful theory of matter.
Jean Louis Van Belle, 6 March 2020
[1] In this paper, we make abstraction of the anomaly, which is related to the zbw charge having a (tiny) spatial dimension.
[2] We had a signed contract with the IOP and WSP scientific publishing houses for our manuscript on a realist interpretation of quantum mechanics (https://vixra.org/abs/1901.0105) which was shot down by this simple comment. We have basically stopped tried convincing mainstream academics from that point onwards.
[3] See footnote 1.
[4] See our paper on the proton radius (https://vixra.org/abs/2002.0160).
[5] See reference above.
[6] The reader may wonder why we did not present the ½ fraction is the first set of equations (calculation of the electron radius). We refer him or her to our previous paper on the effective mass of the zbw charge (https://vixra.org/abs/2003.0094). The 1/2 factor appears when considering orbital angular momentum only.
[7] The reader may not be familiar with the concept of the effective mass of an electron but it pops up very naturally in the quantum-mechanical analysis of the linear motion of electrons. Feynman, for example, gets the equation out of a quantum-mechanical analysis of how an electron could move along a line of atoms in a crystal lattice. See: Feynman’s Lectures, Vol. III, Chapter 16: The Dependence of Amplitudes on Position (https://www.feynmanlectures.caltech.edu/III_16.html). We think of the effective mass of the electron as the relativistic mass of the zbw charge as it whizzes about at nearly the speed of light. The rest mass of the zbw charge itself is close to – but also not quite equal to – zero. Indeed, based on the measured anomalous magnetic moment, we calculated the rest mass of the zbw charge as being equal to about 3.4% of the electron rest mass (https://vixra.org/abs/2002.0315).
[8] For a basic introduction, see my blog posts on modes or on music and physics (e.g. https://readingfeynman.org/2015/08/08/modes-and-music/).
[9] See, for example, the analysis of kaons (K-mesons) in Feynman’s Lectures, Vol. III, Chapter 11, section 5 (https://www.feynmanlectures.caltech.edu/III_11.html#Ch11-S5).
