Epilogue: an Easter podcast

I have been thinking on my explanation of dark matter/energy, and I think it is sound. It solves the last asymmetry in my models, and explains all. So, after a hiatus of two years, I bothered to make a podcast on my YouTube channel once again. It talks about everything. Literally everything !

It makes me feel my quest for understanding of matter and energy – in terms of classical concepts and measurements (as depicted below) – has ended. Perhaps I will write more but that would only be to promote the material, which should promote itself if it is any good (which I think it is).

I should, by way of conclusion, say a few final words about Feynman’s 1963 Lectures now. When everything is said and done, it is my reading of them which had triggered this blog about ten years ago. I would now recommend Volume I and II (classical physics and electromagnetic theory) – if only because it gives you all the math you need to understand all of physics – but not Volume III (the lectures on quantum mechanics). They are outdated, and I do find Feynman guilty of promoting rather than explaining the hocus-pocus around all of the so-called mysteries in this special branch of physics.

Quantum mechanics is special, but I do conclude now that it can all be explained in terms of classical concepts and quantities. So, Gell-Mann’s criticism of Richard Feynman is, perhaps, correct: Mr. Feynman did, perhaps, make too many jokes – and it gets annoying because he must have known some of what he suggests does not make sense – even if I would not go as far as Gell-Mann, who says “Feynman was only concerned about himself, his ego, and his own image !” :-/

So, I would recommend my own alternative series of ‘lectures’. Not only are they easier to read, but they also embody a different spirit of writing. Science is not about you, it is about thinking for oneself and deciding on what is truthful and useful, and what is not. So, to conclude, I will end by quoting Ludwig Boltzmann once more:

Bring forward what is true.

Write it so that it is clear.

Defend it to your last breath.”

Ludwig Boltzmann (1844 – 1906)

Post scriptum: As for the ‘hocus-pocus’ in Feynman’s Lectures, we should, perhaps, point once again to some of our early papers on the flaws in his arguments. We effectively put our finger on the arbitrary wavefunction convention, or the (false) boson-fermion dichotomy, or the ‘time machine’ argument that is inherent to his explanation of the Hamiltonian, and so on. We published these things on Academia.edu before (also) putting our (later) papers ResearchGate, so please check there for the full series. 🙂

Post scriptum (23 April 2023): Also check out this video, which was triggered by someone who thought my models amount to something like a modern aether theory, which it is definitely not the case: https://www.youtube.com/watch?v=X38u2-nXoto. 🙂 I really think it is my last reflection on these topics. I need to focus on my day job, sports, family, etcetera again ! 🙂

Ontology and physics

One sometimes wonders what keeps amateur physicists awake. Why is it that they want to understand quarks and wave equations, or delve into complicated math (perturbation theory, for example)? I believe it is driven by the same human curiosity that drives philosophy. Physics stands apart from other sciences because it examines the smallest of smallest – the essence of things, so to speak.

Unlike other sciences (the human sciences in particular, perhaps), physicists also seek to reduce the number of concepts, rather than multiply them – even if, sadly, enough, they do not always a good job at that. However, generally speaking, physics and math may, effectively, be considered to be the King and Queen of Science, respectively.

The Queen is an eternal beauty, of course, because Her Language may mean anything. Physics, in contrast, talks specifics: physical dimensions (force, distance, energy, etcetera), as opposed to mathematical dimensions – which are mere quantities (scalars and vectors).

Science differs from religion in that it seeks to experimentally verify its propositions. It measures rather than believes. These measurements are cross-checked by a global community and, thereby, establish a non-subjective reality. The question of whether reality exists outside of us, is irrelevant: it is a category mistake (Ryle, 1949). It is like asking why we are here: we just are.

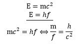
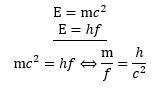
All is in the fundamental equations. An equation relates a measurement to Nature’s constants. Measurements – energy/mass, or velocities – are relative. Nature’s constants do not depend on the frame of reference of the observer and we may, therefore, label them as being absolute. This corresponds to the difference between variables and parameters in equations. The speed of light (c) and Planck’s quantum of action (h) are parameters in the E/m = c2 and E = hf, respectively.

Feynman (II-25-6) is right that the Great Law of Nature may be summarized as U = 0 but that “this simple notation just hides the complexity in the definitions of symbols is just a trick.” It is like talking of the night “in which all cows are equally black” (Hegel, Phänomenologie des Geistes, Vorrede, 1807). Hence, the U = 0 equation needs to be separated out. I would separate it out as:

We imagine things in 3D space and one-directional time (Lorentz, 1927, and Kant, 1781). The imaginary unit operator (i) represents a rotation in space. A rotation takes time. Its physical dimension is, therefore, s/m or -s/m, as per the mathematical convention in place (Minkowski’s metric signature and counter-clockwise evolution of the argument of complex numbers, which represent the (elementary) wavefunction).

Velocities can be linear or tangential, giving rise to the concepts of linear versus angular momentum. Tangential velocities imply orbitals: circular and elliptical orbitals are closed. Particles are pointlike charges in closed orbitals. We are not sure if non-closed orbitals might correspond to some reality: linear oscillations are field particles, but we do not think of lines as non-closed orbitals: the curvature of real space (the Universe we live in) suggest we should but we are not sure such thinking is productive (efforts to model gravity as a residual force have failed so far).

Space and time are innate or a priori categories (Kant, 1781). Elementary particles can be modeled as pointlike charges oscillating in space and in time. The concept of charge could be dispensed with if there were not lightlike particles: photons and neutrinos, which carry energy but no charge. The pointlike charge which is oscillating is pointlike but may have a finite (non-zero) physical dimension, which explains the anomalous magnetic moment of the free (Compton) electron. However, it only appears to have a non-zero dimension when the electromagnetic force is involved (the proton has no anomalous magnetic moment and is about 3.35 times smaller than the calculated radius of the pointlike charge inside of an electron). Why? We do not know: elementary particles are what they are.

We have two forces: electromagnetic and nuclear. One of the most remarkable things is that the E/m = c2 holds for both electromagnetic and nuclear oscillations, or combinations thereof (superposition theorem). Combined with the oscillator model (E = ma2ω2 = mc2 and, therefore, c must be equal to c = aω), this makes us think of c2 as modeling an elasticity or plasticity of space. Why two oscillatory modes only? In 3D space, we can only imagine oscillations in one, two and three dimensions (line, plane, and sphere). The idea of four-dimensional spacetime is not relevant in this context.

Photons and neutrinos are linear oscillations and, because they carry no charge, travel at the speed of light. Electrons and muon-electrons (and their antimatter counterparts) are 2D oscillations packing electromagnetic and nuclear energy, respectively. The proton (and antiproton) pack a 3D nuclear oscillation. Neutrons combine positive and negative charge and are, therefore, neutral. Neutrons may or may not combine the electromagnetic and nuclear force: their size (more or less the same as that of the proton) suggests the oscillation is nuclear.  

 2D oscillation3D oscillation
electromagnetic forcee± (electron/positron)orbital electron (e.g.: 1H)
nuclear forceμ± (muon-electron/antimuon)p± (proton/antiproton)
compositepions (π±/ π0)?n (neutron)? D+ (deuteron)?
corresponding field particleγ (photon)ν (neutrino)

The theory is complete: each theoretical/mathematical/logical possibility corresponds to a physical reality, with spin distinguishing matter from antimatter for particles with the same form factor.

When reading this, my kids might call me and ask whether I have gone mad. Their doubts and worry are not random: the laws of the Universe are deterministic (our macro-time scale introduces probabilistic determinism only). Free will is real, however: we analyze and, based on our analysis, we determine the best course to take when taking care of business. Each course of action is associated with an anticipated cost and return. We do not always choose the best course of action because of past experience, habit, laziness or – in my case – an inexplicable desire to experiment and explore new territory.

PS: I’ve written this all out in a paper, of course. 🙂 I also did a 30 minute YouTube video on it. Finally, I got a nice comment from an architect who wrote an interesting paper on wavefunctions and wave equations back in 1996 – including thoughts on gravity.

Mental categories versus reality

Pre-scriptum: For those who do not like to read, I produced a very short YouTube presentation/video on this topic. About 15 minutes – same time as it will take you to read this post, probably. Check it out: https://www.youtube.com/watch?v=sJxAh_uCNjs.

Text:

We think of space and time as fundamental categories of the mind. And they are, but only in the sense that the famous Dutch physicist H.A. Lorentz conveyed to us: we do not seem to be able to conceive of any idea in physics without these two notions. However, relativity theory tells us these two concepts are not absolute and we may, therefore, say they cannot be truly fundamental. Only Nature’s constants – the speed of light, or Planck’s quantum of action – are absolute: these constants seem to mix space and time into something that is, apparently, more fundamental.

The speed of light (c) combines the physical dimensions of space and time, and Planck’s quantum of action (h) adds the idea of a force. But time, distance, and force are all relative. Energy (force over a distance), momentum (force times time) are, therefore, also relative. In contrast, the speed of light, and Planck’s quantum of action, are absolute. So we should think of distance, and of time, as some kind of projection of a deeper reality: the reality of light or – in case of Planck’s quantum of action – the reality of an electron or a proton. In contrast, time, distance, force, energy, momentum and whatever other concept we would derive from them exist in our mind only.

We should add another point here. To imagine the reality of an electron or a proton (or the idea of an elementary particle, you might say), we need an additional concept: the concept of charge. The elementary charge (e) is, effectively, a third idea (or category of the mind, one might say) without which we cannot imagine Nature. The ideas of charge and force are, of course, closely related: a force acts on a charge, and a charge is that upon which a force is acting. So we cannot think of charge without thinking of force, and vice versa. But, as mentioned above, the concept of force is relative: it incorporates the idea of time and distance (a force is that what accelerates a charge). In contrast, the idea of the elementary charge is absolute again: it does not depend on our frame of reference.

So we have three fundamental concepts: (1) velocity (or motion, you might say: a ratio of distance and time); (2) (physical) action (force times distance times time); and (3) charge. We measure them in three fundamental units: c, h, and e. Che. 🙂 So that’s reality, then: all of the metaphysics of physics are here. In three letters. We need three concepts: three things that we think of as being real, somehow. Real in the sense that we do not think they exist in our mind only. Light is real, and elementary particles are equally real. All other concepts exist in our mind only.

So were Kant’s ideas about space and time wrong? Maybe. Maybe not. If they are wrong, then that’s quite OK: Immanuel Kant lived in the 18th century, and had not ventured much beyond the place where he was born. Less exciting times. I think he was basically right in saying that space and time exist in our mind only. But he had no answer(s) to the question as to what is real: if some things exist in our mind only, something must exist in what is not our mind, right? So that is what we refer to as reality then: that which does not exist in our mind only.

Modern physics has the answers. The philosophy curriculum at universities should, therefore, adapt to modern times: Maxwell first derived the (absolute) speed of light in 1862, and Einstein published the (special) theory of relativity back in 1905. Hence, philosophers are 100-150 years behind the curve. They are probably even behind the general public. Philosophers should learn about modern physics as part of their studies so they can (also) think about real things rather than mental constructs only.

Form and substance

Philosophers usually distinguish between form and matter, rather than form and substance. Matter, as opposed to form, is then what is supposed to be formless. However, if there is anything that physics – as a science – has taught us, is that matter is defined by its form: in fact, it is the form factor which explains the difference between, say, a proton and an electron. So we might say that matter combines substance and form.

Now, we all know what form is: it is a mathematical quality—like the quality of having the shape of a triangle or a cube. But what is (the) substance that matter is made of? It is charge. Electric charge. It comes in various densities and shapes – that is why we think of it as being basically formless – but we can say a few more things about it. One is that it always comes in the same unit: the elementary charge—which may be positive or negative. Another is that the concept of charge is closely related to the concept of a force: a force acts on a charge—always.

We are talking elementary forces here, of course—the electromagnetic force, mainly. What about gravity? And what about the strong force? Attempts to model gravity as some kind of residual force, and the strong force as some kind of electromagnetic force with a different geometry but acting on the very same charge, have not been successful so far—but we should immediately add that mainstream academics never focused on it either, so the result may be commensurate with the effort made: nothing much.

Indeed, Einstein basically explained gravity away by giving us a geometric interpretation for it (general relativity theory) which, as far as I can see, confirms it may be some residual force resulting from the particular layout of positive and negative charge in electrically neutral atomic and molecular structures. As for the strong force, I believe the quark hypothesis – which basically states that partial (non-elementary) charges are, somehow, real – has led mainstream physics into the dead end it finds itself in now. Will it ever get out of it?

I am not sure. It does not matter all that much to me. I am not a mainstream scientist and I have the answers I was looking for. These answers may be temporary, but they are the best I have for the time being. The best quote I can think of right now is this one:

‘We are in the words, and at the same time, apart from them. The words spin out, spin us out, over a void. There, somewhere between us, some words form some answer for some time, allowing us to live more fully in the forgetting face of nonexistence, in the dissolving away of each other.’ (Jacques Lacan, in Jeremy D. Safran (2003), Psychoanalysis and Buddhism: an unfolding dialogue, p. 134)

That says it all, doesn’t it? For the time being, at least. 🙂

Post scriptum: You might think explaining gravity as some kind of residual electromagnetic force should be impossible, but explaining the attractive force inside a nucleus behind like charges was pretty difficult as well, until someone came up with a relatively simple idea based on the idea of ring currents. 🙂

A theory of matter-particles

Pre-scriptum (PS), added on 6 March 2020: The ideas below also naturally lead to a theory about what a neutrino might actually be. As such, it’s a complete ‘alternative’ Theory of Everything. I uploaded the basics of such theory on my academia.edu site. For those who do not want to log on to academia.edu, you can also find the paper on my author’s page on Phil Gibb’s site.

Text:

We were rather tame in our last paper on the oscillator model of an electron. We basically took some philosophical distance from it by stating we should probably only think of it as a mathematical equivalent to Hestenes’ concept of the electron as a superconducting loop. However, deep inside, we feel we should not be invoking Maxwell’s laws of electrodynamics to explain what a proton and an electron might actually be. The basics of the ring current model can be summed up in one simple equation:

c = a·ω

This is the formula for the tangential velocity. Einstein’s mass-energy equivalence relation and the Planck-Einstein relation explain everything else[1], as evidenced by the fact that we can immediately derive the Compton radius of an electron from these three equations, as shown below:F1The reader might think we are just ‘casually connecting formulas’ here[2] but we feel we have a full-blown theory of the electron here: simple and consistent. The geometry of the model is visualized below. We think of an electron (and a proton) as consisting of a pointlike elementary charge – pointlike but not dimensionless[3] – moving about at (nearly) the speed of light around the center of its motion.

Picture1

The relation works perfectly well for the electron. However, when applying the a = ħ/mc radius formula to a proton, we get a value which is about 1/4 of the measured proton radius: about 0.21 fm, as opposed to the 0.83-0.84 fm charge radius which was established by Professors Pohl, Gasparan and others over the past decade.[4] In our papers on the proton radius[5],  we motivated the 1/4 factor by referring to the energy equipartition theorem and assuming energy is, somehow, equally split over electromagnetic field energy and the kinetic energy in the motion of the zbw charge. However, the reader must have had the same feeling as we had: these assumptions are rather ad hoc. We, therefore, propose something more radical:

When considering systems (e.g. electron orbitals) and excited states of particles, angular momentum comes in units (nearly) equal to ħ, but when considering the internal structure of elementary particles, (orbital) angular momentum comes in an integer fraction of ħ. This fraction is 1/2 for the electron[6] and 1/4 for the proton.

Let us write this out for the proton radius:F2What are the implications for the assumed centripetal force keeping the elementary charge in motion? The centripetal acceleration is equal to ac = vt2/a = a·ω2. It is probably useful to remind ourselves how we get this result so as to make sure our calculations are relativistically correct. The position vector r (which describes the position of the zbw charge) has a horizontal and a vertical component: x = a·cos(ωt) and y = a·sin(ωt). We can now calculate the two components of the (tangential) velocity vector v = dr/dt as vx = –a·ω·sin(ωt) and vy y = –a· ω·cos(ωt) and, in the next step, the components of the (centripetal) acceleration vector ac: ax = –a·ω2·cos(ωt) and ay = –a·ω2·sin(ωt). The magnitude of this vector is then calculated as follows:

ac2 = ax2 + ay2a2·ω4·cos2(ωt) + a2·ω4·sin2(ωt) = a2·ω4ac = a·ω2 = vt2/a

Now, Newton’s force law tells us that the magnitude of the centripetal force will be equal to:

F = mγ·ac = mγ·a·ω2

As usual, the mγ factor is, once again, the effective mass of the zbw charge as it zitters around the center of its motion at (nearly) the speed of light: it is half the electron mass.[7] If we denote the centripetal force inside the electron as Fe, we can relate it to the electron mass me as follows:F3Assuming our logic in regard to the effective mass of the zbw charge inside a proton is also valid – and using the 4E = ħω and a = ħ/4mc relations – we get the following equation for the centripetal force inside of a proton:
F4How should we think of this? In our oscillator model, we think of the centripetal force as a restoring force. This force depends linearly on the displacement from the center and the (linear) proportionality constant is usually written as k. Hence, we can write Fe and Fp as Fe = -kex and Fp = -kpx respectively. Taking the ratio of both so as to have an idea of the respective strength of both forces, we get this:F5

The ap and ae are acceleration vectors – not the radius. The equation above seems to tell us that the centripetal force inside of a proton gives the zbw charge inside – which is nothing but the elementary charge, of course – an acceleration that is four times that of what might be going on inside the electron.

Nice, but how meaningful are these relations, really? If we would be thinking of the centripetal or restoring force as modeling some elasticity of spacetime – the guts intuition behind far more complicated string theories of matter – then we may think of distinguishing between a fundamental frequency and higher-level harmonics or overtones.[8] We will leave our reflections at that for the time being.

We should add one more note, however. We only talked about the electron and the proton here. What about other particles, such as neutrons or mesons? We do not consider these to be elementary because they are not stable: we think they are not stable because the Planck-Einstein relation is slightly off, which causes them to disintegrate into what we’ve been trying to model here: stable stuff. As for the process of their disintegration, we think the approach that was taken by Gell-Man and others[9] is not productive: inventing new quantities that are supposedly being conserved – such as strangeness – is… Well… As strange as it sounds. We, therefore, think the concept of quarks confuses rather than illuminates the search for a truthful theory of matter.

Jean Louis Van Belle, 6 March 2020

[1] In this paper, we make abstraction of the anomaly, which is related to the zbw charge having a (tiny) spatial dimension.

[2] We had a signed contract with the IOP and WSP scientific publishing houses for our manuscript on a realist interpretation of quantum mechanics (https://vixra.org/abs/1901.0105) which was shot down by this simple comment. We have basically stopped tried convincing mainstream academics from that point onwards.

[3] See footnote 1.

[4] See our paper on the proton radius (https://vixra.org/abs/2002.0160).

[5] See reference above.

[6] The reader may wonder why we did not present the ½ fraction is the first set of equations (calculation of the electron radius). We refer him or her to our previous paper on the effective mass of the zbw charge (https://vixra.org/abs/2003.0094). The 1/2 factor appears when considering orbital angular momentum only.

[7] The reader may not be familiar with the concept of the effective mass of an electron but it pops up very naturally in the quantum-mechanical analysis of the linear motion of electrons. Feynman, for example, gets the equation out of a quantum-mechanical analysis of how an electron could move along a line of atoms in a crystal lattice. See: Feynman’s Lectures, Vol. III, Chapter 16: The Dependence of Amplitudes on Position (https://www.feynmanlectures.caltech.edu/III_16.html). We think of the effective mass of the electron as the relativistic mass of the zbw charge as it whizzes about at nearly the speed of light. The rest mass of the zbw charge itself is close to – but also not quite equal to – zero. Indeed, based on the measured anomalous magnetic moment, we calculated the rest mass of the zbw charge as being equal to about 3.4% of the electron rest mass (https://vixra.org/abs/2002.0315).

[8] For a basic introduction, see my blog posts on modes or on music and physics (e.g. https://readingfeynman.org/2015/08/08/modes-and-music/).

[9] See, for example, the analysis of kaons (K-mesons) in Feynman’s Lectures, Vol. III, Chapter 11, section 5 (https://www.feynmanlectures.caltech.edu/III_11.html#Ch11-S5).

The ultimate electron model

A rather eminent professor in physics – who has contributed significantly to solving the so-called ‘proton radius puzzle’ – advised me to not think of the anomalous magnetic moment of the electron as an anomaly. It led to a breakthrough in my thinking of what an electron might actually be. The fine-structure constant should be part and parcel of the model, indeed. Check out my last paper ! I’d be grateful for comments !

I know the title of this post sounds really arrogant. It is what it is. Whatever brain I have has been thinking about these issues consciously and unconsciously for many years now. It looks good to me. When everything is said and done, the function of our mind is to make sense. What’s sense-making? I’d define sense-making as creating consistency between (1) the structure of our ideas and theories (which I’ll conveniently define as ‘mathematical’ here) and (2) what we think of as the structure of reality (which I’ll define as ‘physical’).

I started this blog reading Penrose (see the About page of this blog). And then I just put his books aside and started reading Feynman. I think I should start re-reading Penrose. His ‘mind-physics-math’ triangle makes a lot more sense to me now.

JL

PS: I agree the title of my post is excruciatingly arrogant but – believe me – I could have chosen an even more arrogant title. Why? Because I think my electron model actually explains mass. And it does so in a much more straightforward manner than Higgs, or Brout–Englert–Higgs, or Englert–Brout–Higgs–Guralnik–Hagen–Kibble, Anderson–Higgs, Anderson–Higgs–Kibble, Higgs–Kibble, or ABEGHHK’t (for Anderson, Brout, Englert, Guralnik, Hagen, Higgs, Kibble, and ‘t Hooft) do. [I am just trying to attribute the theory here using the Wikipedia article on it.] 

Surely You’re Joking, Mr Feynman !

I think I cracked the nut. Academics always throw two nasty arguments into the discussion on any geometric or physical interpretations of the wavefunction:

  1. The superposition of wavefunctions is done in the complex space and, hence, the assumption of a real-valued envelope for the wavefunction is, therefore, not acceptable.
  2. The wavefunction for spin-1/2 particles cannot represent any real object because of its 720-degree symmetry in space. Real objects have the same spatial symmetry as space itself, which is 360 degrees. Hence, physical interpretations of the wavefunction are nonsensical.

Well… I’ve finally managed to deconstruct those arguments – using, paradoxically, Feynman’s own arguments against him. Have a look: click the link to my latest paper ! Enjoy !

Schrödinger’s equation as an energy conservation law

Post scriptum note added on 11 July 2016: This is one of the more speculative posts which led to my e-publication analyzing the wavefunction as an energy propagation. With the benefit of hindsight, I would recommend you to immediately the more recent exposé on the matter that is being presented here, which you can find by clicking on the provided link.

Original post:

In the movie about Stephen Hawking’s life, The Theory of Everything, there is talk about a single unifying equation that would explain everything in the universe. I must assume the real Stephen Hawking is familiar with Feynman’s unworldliness equation: U = 0, which – as Feynman convincingly demonstrates – effectively integrates all known equations in physics. It’s one of Feynman’s many jokes, of course, but an exceptionally clever one, as the argument convincingly shows there’s no such thing as one equation that explains all. Or, to be precise, one can, effectively, ‘hide‘ all the equations you want in a single equation, but it’s just a trick. As Feynman puts it: “When you unwrap the whole thing, you get back where you were before.”

Having said that, some equations in physics are obviously more fundamental than others. You can readily think of obvious candidates: Einstein’s mass-energy equivalence (m = E/c2); the wavefunction (ψ = ei(ω·t − k·x)) and the two de Broglie relations that come with it (ω = E/ħ and k = p/ħ); and, of course, Schrödinger’s equation, which we wrote as:

Schrodinger's equation

In my post on quantum-mechanical operators, I drew your attention to the fact that this equation is structurally similar to the heat diffusion equation. Indeed, assuming the heat per unit volume (q) is proportional to the temperature (T) – which is the case when expressing T in degrees Kelvin (K), so we can write q as q = k·T  – we can write the heat diffusion equation as:

heat diffusion 2

Moreover, I noted the similarity is not only structural. There is more to it: both equations model energy flows and/or densities. Look at it: the dimension of the left- and right-hand side of Schrödinger’s equation is the energy dimension: both quantities are expressed in joule. [Remember: a time derivative is a quantity expressed per second, and the dimension of Planck’s constant is the joule·second. You can figure out the dimension of the right-hand side yourself.] Now, the time derivative on the left-hand side is expressed in K/s. The constant in front (k) is just the (volume) heat capacity of the substance, which is expressed in J/(m3·K). So the dimension of k·(∂T/∂t) is J/(m3·s). On the right-hand side we have that Laplacian, whose dimension is K/m2, multiplied by the thermal conductivity, whose dimension is W/(m·K) = J/(m·s·K). Hence, the dimension of the product is  the same as the left-hand side: J/(m3·s).

We can present the thing in various ways: if we bring k to the other side, then we’ve got something expressed per second on the left-hand side, and something expressed per square meter on the right-hand side—but the k/κ factor makes it alright. The point is: both Schrödinger’s equation as well as the diffusion equation are actually an expression of the energy conservation law. They’re both expressions of Gauss’ flux theorem (but in differential form, rather than in integral form) which, as you know, pops up everywhere when talking energy conservation.

Huh? 

Yep. I’ll give another example. Let me first remind you that the k·(∂T/∂t) = ∂q/∂t = κ·∇2T equation can also be written as:

heat diffusion 3

The h in this equation is, obviously, not Planck’s constant, but the heat flow vector, i.e. the heat that flows through a unit area in a unit time, and h is, obviously, equal to h = −κ∇T. And, of course, you should remember your vector calculus here: ∇· is the divergence operator. In fact, we used the equation above, with ∇·h rather than ∇2T to illustrate the energy conservation principle. Now, you may or may not remember that we gave you a similar equation when talking about the energy of fields and the Poynting vector:

Poynting vector

This immediately triggers the following reflection: if there’s a ‘Poynting vector’ for heat flow (h), and for the energy of fields (S), then there must be some kind of ‘Poynting vector’ for amplitudes too! I don’t know which one, but it must exist! And it’s going to be some complex vector, no doubt! But it should be out there.

It also makes me think of a point I’ve made a couple of times already—about the similarity between the E and B vectors that characterize the traveling electromagnetic field, and the real and imaginary part of the traveling amplitude. Indeed, the similarity between the two illustrations below cannot be a coincidence. In both cases, we’ve got two oscillating magnitudes that are orthogonal to each other, always. As such, they’re not independent: one follows the other, or vice versa.

5d_euler_fFG02_06

 

 

 

 

 

The only difference is the phase shift. Euler’s formula incorporates a phase shift—remember: sinθ = cos(θ − π/2)—and so you don’t have that with the E and B vectors. But – Hey! – isn’t that why bosons and fermions are different? 🙂

[…]

This is great fun, and I’ll surely come back to it. As for now, however, I’ll let you ponder the matter for yourself. 🙂

Post scriptum: I am sure that all that the questions I raise here will be answered at the Masters’ level, most probably in some course dealing with quantum field theory, of course. 🙂 In any case, I am happy I can already anticipate such questions. 🙂

Oh – and, as for those two illustrations above, the animation below is one that should help you to think things through. It’s the electric field vector of a traveling circularly polarized electromagnetic wave, as opposed to the linearly polarized light that was illustrated above.

Animation