Pre-script (dated 26 June 2020): Our ideas have evolved into a full-blown realistic (or classical) interpretation of all things quantum-mechanical. In addition, I note the dark force has amused himself by removing some material. So no use to read this. Read my recent papers instead. 🙂
Original post:
We’ve come a very long way. Now we’re ready for the Big Stuff. We’ll look at the rules for transforming amplitudes from one ‘base’ to ‘another’. [In quantum mechanics, however, we’ll talk about a ‘representation’, rather than a ‘base’, as we’ll reserve the latter term for a ‘base’ state.] In addition, we’ll look at how physicists model how amplitudes evolve over time using the so-called Hamiltonian matrix. So let’s go for it.
Transformations: how should we think about them?
In my previous post, I presented the following hypothetical set-up: we have an S-filter and a T-filter in series, but the T-filter at the angle α with respect to the first. In case you forgot: these ‘filters’ are modified Stern-Gerlach apparatuses, designed to split a particle beam according to the angular momentum in the direction of the gradient of the magnetic field, in which we may place masks to filter out one or more states.
The idea is illustrated in the hypothetical example below. The unpolarized beam goes through S, but we have masks blocking all particles with zero or negative spin in the z-direction, i.e. with respect to S. Hence, all particles entering the T-filter are in the +S state. Now, we assume the set-up of the T-filter is such that it filters out all particles with positive or negative spin. Hence, only particles with zero spin go through. So we’ve got something like this:
However, we need to be careful as what we are saying here. The T-apparatus is tilted, so the gradient of the magnetic field is different. To be precise, it’s got the same tilt as the T-filter itself (α). Hence, it will be filtering out all particles with positive or negative spin with respect to T. So, unlike what you might think at first, some fraction of the particles in the +S state will get through the T-filter, and come out in the 0T state. In fact, we know how many, because we have formulas for situations like this. To be precise, in this case, we should apply the following formula:
〈 0T | +S 〉 = −(1/√2)·sinα
This is a real-valued amplitude. As usual, we get the following probability by taking the absolute square, so P = |−(1/√2)·sinα|2 = (1/2)·sin2α, which gives us the following graph of P:
The probability varies between 0 (for α = 0 or π) and 1/2 = 0.5 (for α = π/2 or 3π/2). Now, this graph may or may not make sense to you, so you should think about it. You’ll admit it makes sense to find P = 0 for α = 0, but what about the non-zero values?
Think about what this would mean in classical terms: we’ve got a beam of particles whose angular momentum is ‘up’ in the z-direction. To be precise, this means that Jz = +ħ. [Angular momentum and the quantum of action have the same dimension: the joule·second.] So that’s the maximum value out of the three permitted values, which are +ħ, 0 and –ħ. Note that the particles here must be bosons. So you may think we’re talking photons, in practice but… Well… No. As I’ll explain in a later post, the photon is a spin-one particle but it’s quite particular, because it has no ‘zero spin’-state. Don’t worry about it here – but it’s really quite remarkable. So, instead of thinking of a photon, you should think of some composite matter particle obeying Bose-Einstein statistics. These are not so rare as you may think: all matter-particles that contain an even number of fermions – like elementary particles – have integer spin – but… Well… Their spin number is usually zero – not one. So… Well… Feynman’s particle here is somewhat theoretical – but it doesn’t matter. Let’s move on. 🙂
Let’s look at another transformation formula. More in particular, let’s look at the formula we (should) get for 〈 0T | −S 〉 as a function of α. So we change the set-up of the S-filter to ensure all particles entering T have negative spin. The formula is:
〈 0T | −S 〉 = +(1/√2)·sinα
That gives the same probabilities: |+(1/√2)·sinα|2 = (1/2)·sin2α. Adding |〈 0T | +S 〉|2 and |〈 0T | −S 〉|2 gives us a total probability equal to sin2α, which is equal to 1 if α = π/2 or 3π/2. We may be tempted to interpret this as follows: if a particle is in the +S or −S state before entering the T-apparatus, and the T-apparatus is tilted at an angle α = π/2 or 3π/2 with respect to the S-apparatus, then this particle will come out of the T-apparatus in the 0T-state. No ambiguity here: P = 1.
Is this strange? Well… Let’s think about what it means to tilt the T-apparatus. You’ll have to admit that, if the apparatus is tilted at the angle π/2 or 3π/2, it’s going to measure the angular momentum in the x-direction. [The y-direction is the common axis of both apparatuses here.] So… Well… It’s pretty plausible, isn’t it? If all of the angular momentum is in the positive or negative z-direction, then it’s not going to have any angular momentum in the x-direction, right? And not having any angular momentum in the x-direction effectively corresponds to being in the 0T-state, right?
Oh ! Is it that easy?
Well… No! Not at all! The reasoning above shows how easy it is to be led astray. We forgot to normalize. Remember, if we integrate the probability density function over its domain, i.e. α ∈ [0, 2π], then we have to get one, as all probabilities have to add up to one. The definite integral of (1/2)·sin2α over [0, 2π] is equal to π/2 (the definite integral of the sine or cosine squared over a full cycle is equal to π), so we need to multiply this function by 2/π to get the actual probability density function, i.e. (1/π)·sin2α. It’s got the same shape, obviously, but it gives us maximum probabilities equal to 1/π ≈ 0.32 for α = π/2 or 3π/2, instead of 1/2 = 0.5.
Likewise, the sin2α function we got when adding |〈 0T | +S 〉|2 and |〈 0T | −S 〉|2 should also be normalized. One really needs to keep one’s wits about oneself here. What we’re saying here is that we have a particle that is either in the +S or the −S state, so let’s say that the chance is 50/50 to be in either of the two states. We then have these probabilities |〈 0T | +S 〉|2 and |〈 0T | −S 〉|2, which we calculated as (1/π)·sin2α. So the total combined probability is equal to 0.5·(1/π)·sin2α + 0.5·(1/π)·sin2α = (1/π)·sin2α. So we’re now weighing the two (1/π)·sin2α functions – and it doesn’t matter if the weights are 50/50 or 75/25 or whatever, as long as the two weights add up to one. The bottom line is: we get the same (1/π)·sin2α function for P, and the same maximum probability 1/π ≈ 0.32 for α = π/2 or 3π/2.
So we don’t get unity: P ≠ 1 for α = π/2 or 3π/2. Why not? Think about it. The classical analysis made sense, didn’t it? If the angular momentum is all in the z-direction (or in one of the two z-directions, I should say), then we cannot have any of it in the x-direction, can it? Well… The surprising answer is: yes, we can. The remarkable thing is that, in quantum physics, we actually never have all of the angular momentum in one direction. As I explained in my post on spin and angular momentum, the classical concepts of angular momentum, and the related magnetic moment, have their limits in quantum mechanics. In quantum physics, we find that the magnitude of a vector quantity, like angular momentum, or the related magnetic moment, is generally not equal to the maximum value of the component of that quantity in any direction. The general rule is that the maximum value of any component of J in whatever direction – i.e. +ħ in the example we’re discussing here – is smaller than the magnitude of J – which I calculated in the mentioned post as |J| = J = +√2·ħ ≈ 1.414·ħ, so that’s almost 1.5 times ħ! So it’s quite a bit smaller! The upshot is that we cannot associate any precise and unambiguous direction with quantities like the angular momentum J or the magnetic moment μ. So the answer is: the angular momentum can never be all in the z-direction, so we can always have some of it in the x-direction, and so that explains the amplitudes and probabilities we’re having here.
Huh?
Yep. I know. We never seem to get out of this ‘weirdness’, but then that’s how quantum physics is like. Feynman warned us upfront:
“Because atomic behavior is so unlike ordinary experience, it is very difficult to get used to, and it appears peculiar and mysterious to everyone—both to the novice and to the experienced physicist. Even the experts do not understand it the way they would like to, and it is perfectly reasonable that they should not, because all of direct, human experience and of human intuition applies to large objects. We know how large objects will act, but things on a small scale just do not act that way. So we have to learn about them in a sort of abstract or imaginative fashion and not by connection with our direct experience.”
As I see it, quantum physics is about explaining all sorts of weird stuff, like electron interference and tunneling and what have you, so it shouldn’t surprise us that the framework is as weird as the stuff it’s trying to explain. 🙂 So… Well… All we can do is to try to go along with it, isn’t it? And so that’s what we’ll do here. 🙂
Transformations: the formulas
We need to distinguish various cases here. The first case is the case explained above: the T-apparatus shares the same y-axis – along which the particles move – but it’s tilted. To be precise, we should say that it’s rotated about the common y-axis by the angle α. That implies we can relate the x’, y’, z’ coordinate system of T to the x, y, z coordinate system of S through the following equations: z′ = z·cosα + x·sinα, x′ = x·cosα − z·sinα, and y′ = y. Then the transformation amplitudes are:
We used the formula for 〈 0T | +S 〉 and 〈 0T | −S 〉 above, and you can play with the formulas above by imagining the related set-up of the S and T filters, such as the one below:
If you do your homework (just check what formula and what set-up this corresponds to), you should find the following graph for the amplitude and the probability as a function of α: the graph is zero for α = π, but is non-zero everywhere else. As with the other example, you should think about this. It makes sense—sort of, that is. 🙂
OK. Next case. Now we’re going to rotate the T-apparatus around the z-axis by some angle β. To illustrate what we’re doing here, we need to take a ‘top view’ of our apparatus, as shown below, which shows a rotation over 90°. More in general, for any angle β, the coordinate transformation is given by z′ = z, x′ = x·cosβ + y·sinβ, y′ = y·cosβ − x·sinβ. [So it’s quite similar to case 1: we’re only rotating the thing in a different plane.]
The transformation amplitudes are now given by:
As you can see, we get complex-valued transformation amplitudes, unlike our first case, which yielded real-valued transformation amplitudes. That’s just the way it is. Nobody says transformation amplitudes have to be real-valued. On the contrary, one would expect them to be complex numbers. 🙂 Having said that, the combined set of transformation formulas is, obviously, rather remarkable. The amplitude to go from the +S state to, say, the 0T state is zero. Also, when our particle has zero spin when coming out of S, it will always have zero spin when and if it goes through T. In fact, the absolute value of those e±iβ functions is also equal to one, so they are also associated with probabilities that are equal to one: |e±iβ|2 = 12 = 1. So… Well… Those formulas are simple and weird at the same time, aren’t they? They sure give us plenty of stuff to think about, I’d say.
So what’s next? Well… Not all that much. We’re sort of done, really. Indeed, it’s just a property of space that we can get any rotation of T by combining the two rotations above. As I only want to introduce the basic concepts here, I’ll refer you to Feynman for the details of how exactly that’s being done. [He illustrates it for spin-1/2 particles in particular.] I’ll just wrap up here by generalizing our results from base states to any state.
Transformations: generalization
We mentioned a couple of times already that the base states are like a particular coordinate system: we will usually describe a state in terms of base states indeed. More in particular, choosing S as our representation, we’ll say:
The state φ is defined by the three numbers:
C+ = 〈 +S | φ 〉,
C0 = 〈 0S | φ 〉,
C− = 〈 −S | φ 〉.
Now, the very same state can, of course, also be described in the ‘T system’, so then our numbers – i.e. the ‘components’ of φ – would be equal to:
C’+ = 〈 +T | φ 〉, C’0 = 〈 0T | φ 〉, and C’− = 〈 −T | φ 〉.
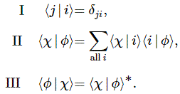
So how can we go from the unprimed ‘coordinates’ to the primed ones? The trick is to use the second of the three quantum math ‘Laws’ which I introduced in my previous post:

Just replace χ in [II] by +T, 0T and/or –T. More in general, if we denote +T, 0T or –T by jT, we can re-write this ‘Law’ as:
So the 〈 jT | iS 〉 amplitudes are those nine transformation amplitudes. Now, we can represent those nine amplitudes in a nice three-by-three matrix and, yes, we’ll call that matrix the transformation matrix. So now you know what that is.
To conclude, I should note that it’s only because we’re talking spin-one particles here that we have three base states here and, hence, three ‘components’, which we denoted by C+, C− and C0, which transform the way they do when going from one representation to another, and so that is very much like what vectors do when we move to a different coordinate system, which is why spin-one particles are often referred to as ‘vector particles‘. [I am just mentioning this in case you’d come across the term and wonder why they’re being called that way. Now you know.] In fact, if we have three base states, in respect to whatever representation, and we define some state φ in terms of them, then we can always re-define that state in terms of the following ‘special’ set of components:
The set is ‘special’ because one can show (you can do that yourself that by using those transformation laws) that these components transform exactly the way as x, y, z transform to x′, y′, z′. But so I’ll leave at this.
[…]
Oh… What about the Hamiltonian? Well… I’ll save that for my next posts, as my posts have become longer and longer, and so it’s probably a good idea to separate them out. 🙂
Post scriptum: transformations for spin-1/2 particles
You should actually really check out that chapter of Feynman. The transformation matrices for spin-1/2 particles look different because… Well… Because there’s only two base states for spin-1/2 particles. It’s a pretty technical chapter, but then spin-1/2 particles are the ones that make up the world. 🙂
Some content on this page was disabled on June 16, 2020 as a result of a DMCA takedown notice from The California Institute of Technology. You can learn more about the DMCA here:
https://wordpress.com/support/copyright-and-the-dmca/
Some content on this page was disabled on June 16, 2020 as a result of a DMCA takedown notice from The California Institute of Technology. You can learn more about the DMCA here:https://wordpress.com/support/copyright-and-the-dmca/
Some content on this page was disabled on June 16, 2020 as a result of a DMCA takedown notice from The California Institute of Technology. You can learn more about the DMCA here:https://wordpress.com/support/copyright-and-the-dmca/
Some content on this page was disabled on June 16, 2020 as a result of a DMCA takedown notice from The California Institute of Technology. You can learn more about the DMCA here:https://wordpress.com/support/copyright-and-the-dmca/
Some content on this page was disabled on June 16, 2020 as a result of a DMCA takedown notice from The California Institute of Technology. You can learn more about the DMCA here:https://wordpress.com/support/copyright-and-the-dmca/
Some content on this page was disabled on June 16, 2020 as a result of a DMCA takedown notice from The California Institute of Technology. You can learn more about the DMCA here:https://wordpress.com/support/copyright-and-the-dmca/
Some content on this page was disabled on June 16, 2020 as a result of a DMCA takedown notice from The California Institute of Technology. You can learn more about the DMCA here:








I have a question…
According to Pauli exclusive principle no two electron can be in same state of energy… If we look to this in terms of space then space is quantized… So my question is what should be the minimum separation between two electron of same spin so that it should obey the Pauli exclusive principle n what is the thing that govern this
There is no short answer to this question. The ‘space’ occupied by an electron is the space in which its wavefunction has non-zero values. Now that’s the space occupied by the atom, really. The wavefunction of electrons in different orbitals is marked by different energy levels, with the energy spread over the various modes of the oscillation. See my posts on the Fourier analysis: an actual wavefunction is the sum of an infinite number of ‘elementary’ waves, which are referred to as modes. They are like standing waves in a closed space. Therefore, you might say that two electrons with the same spin – which occupy a different orbital according to the Pauli exclusion principle – are actually together in the atom and, hence, one cannot say they are separated in space. They are together and not. Their wavefunctions occupy the same space, but their wavefunctions are different, because their state is different. In that sense, they are not together. It’s one of those ambiguities in quantum mechanics. Does that make sense?
So if I talk about free electrons in a cube at absolute zero then they will take different energy level and no two electron will be in same energy state…so at that place my space is quantize and there will be electrons filled in all those energy level…now if I try to expand my cube in all directions in all possible direction then the space between the 2 level will decrease and at infinite distance this energy levels will overlap so for infinite space two or more free electrons can be in same energy state…?
If m write then here how is Pauli exclusive principle is obeyed
Quantized space is a bit of a misnomer. You will want to look at spacetime, and then the space and time dimension become closely intertwined. The fundamental unit in Nature is not expressed in meter or in seconds, but in terms of the energy of the smallest possible oscillation that we can think of, so we want to think in terms of energy quanta expressed in terms of h, which is the energy of one oscillation – see my post on that:
https://readingfeynman.org/2015/09/21/natural-units-plancks-constant-and-the-speed-of-light/
Oh – and you are here BECAUSE of the Pauli exclusion principle. If the Pauli exclusion principle would not be there, your atoms would all look the same: some undefined mess of positive and negative charge, rather than the atoms we know, that are neatly organized in ‘layers’ of paired electrons, even if their wavefunctions occupy the same ‘space’ that you are thinking, more or less that is, so that’s the space that the ‘atom’ – as a physical ‘something’ – occupies.