Pre-script (dated 26 June 2020): Our ideas have evolved into a full-blown realistic (or classical) interpretation of all things quantum-mechanical. In addition, I note the dark force has amused himself by removing some material. So no use to read this. Read my recent papers instead. 🙂
Original post:
Our previous posts showed how a simple geometric interpretation of the elementary wavefunction yielded the (Compton scattering) radius of an elementary particle—for an electron, at least: for the proton, we only got the order of magnitude right—but then a proton is not an elementary particle. We got lots of other interesting equations as well… But… Well… When everything is said and done, it’s that equivalence between the E = m·a2·ω2 and E = m·c2 relations that we… Well… We need to be more specific about it.
Indeed, I’ve been ambiguous here and there—oscillating between various interpretations, so to speak. 🙂 In my own mind, I refer to my unanswered questions, or my ambiguous answers to them, as the form factor problem. So… Well… That explains the title of my post. But so… Well… I do want to be somewhat more conclusive in this post. So let’s go and see where we end up. 🙂
To help focus our mind, let us recall the metaphor of the V-2 perpetuum mobile, as illustrated below. With permanently closed valves, the air inside the cylinder compresses and decompresses as the pistons move up and down. It provides, therefore, a restoring force. As such, it will store potential energy, just like a spring, and the motion of the pistons will also reflect that of a mass on a spring: it is described by a sinusoidal function, with the zero point at the center of each cylinder. We can, therefore, think of the moving pistons as harmonic oscillators, just like mechanical springs. Of course, instead of two cylinders with pistons, one may also think of connecting two springs with a crankshaft, but then that’s not fancy enough for me. 🙂

At first sight, the analogy between our flywheel model of an electron and the V-twin engine seems to be complete: the 90 degree angle of our V-2 engine makes it possible to perfectly balance the pistons and we may, therefore, think of the flywheel as a (symmetric) rotating mass, whose angular momentum is given by the product of the angular frequency and the moment of inertia: L = ω·I. Of course, the moment of inertia (aka the angular mass) will depend on the form (or shape) of our flywheel:
- I = m·a2 for a rotating point mass m or, what amounts to the same, for a circular hoop of mass m and radius r = a.
- For a rotating (uniformly solid) disk, we must add a 1/2 factor: I = m·a2/2.
How can we relate those formulas to the E = m·a2·ω2 formula? The kinetic energy that is being stored in a flywheel is equal Ekinetic = I·ω2/2, so that is only half of the E = m·a2·ω2 product if we substitute I for I = m·a2. [For a disk, we get a factor 1/4, so that’s even worse!] However, our flywheel model of an electron incorporates potential energy too. In fact, the E = m·a2·ω2 formula just adds the (kinetic and potential) energy of two oscillators: we do not really consider the energy in the flywheel itself because… Well… The essence of our flywheel model of an electron is not the flywheel: the flywheel just transfers energy from one oscillator to the other, but so… Well… We don’t include it in our energy calculations. The essence of our model is that two-dimensional oscillation which drives the electron, and which is reflected in Einstein’s E = m·c2 formula. That two-dimensional oscillation—the a2·ω2 = c2 equation, really—tells us that the resonant (or natural) frequency of the fabric of spacetime is given by the speed of light—but measured in units of a. [If you don’t quite get this, re-write the a2·ω2 = c2 equation as ω = c/a: the radius of our electron appears as a natural distance unit here.]
Now, we were extremely happy with this interpretation not only because of the key results mentioned above, but also because it has lots of other nice consequences. Think of our probabilities as being proportional to energy densities, for example—and all of the other stuff I describe in my published paper on this. But there is even more on the horizon: a follower of this blog (a reader with an actual PhD in physics, for a change) sent me an article analyzing elementary particles as tiny black holes because… Well… If our electron is effectively spinning around, then its tangential velocity is equal to v = a·ω = c. Now, recent research suggest black holes are also spinning at (nearly) the speed of light. Interesting, right? However, in order to understand what she’s trying to tell me, I’ll first need to get a better grasp of general relativity, so I can relate what I’ve been writing here and in previous posts to the Schwarzschild radius and other stuff.
Let me get back to the lesson here. In the reference frame of our particle, the wavefunction really looks like the animation below: it has two components, and the amplitude of the two-dimensional oscillation is equal to a, which we calculated as a = ħ·/(m·c) = 3.8616×10−13 m, so that’s the (reduced) Compton scattering radius of an electron.

In my original article on this, I used a more complicated argument involving the angular momentum formula, but I now prefer a more straightforward calculation:
c = a·ω = a·E/ħ = a·m·c2/ħ ⇔ a = ħ/(m·c)
The question is: what is that rotating arrow? I’ve been vague and not so vague on this. The thing is: I can’t prove anything in this regard. But my hypothesis is that it is, in effect, a rotating field vector, so it’s just like the electric field vector of a (circularly polarized) electromagnetic wave (illustrated below).
There are a number of crucial differences though:
- The (physical) dimension of the field vector of the matter-wave is different: I associate the real and imaginary component of the wavefunction with a force per unit mass (as opposed to the force per unit charge dimension of the electric field vector). Of course, the newton/kg dimension reduces to the dimension of acceleration (m/s2), so that’s the dimension of a gravitational field.
- I do believe this gravitational disturbance, so to speak, does cause an electron to move about some center, and I believe it does so at the speed of light. In contrast, electromagnetic waves do not involve any mass: they’re just an oscillating field. Nothing more. Nothing less. In contrast, as Feynman puts it: “When you do find the electron some place, the entire charge is there.” (Feynman’s Lectures, III-21-4)
- The third difference is one that I thought of only recently: the plane of the oscillation cannot be perpendicular to the direction of motion of our electron, because then we can’t explain the direction of its magnetic moment, which is either up or down when traveling through a Stern-Gerlach apparatus.
I mentioned that in my previous post but, for your convenience, I’ll repeat what I wrote there. The basic idea here is illustrated below (credit for this illustration goes to another blogger on physics). As for the Stern-Gerlach experiment itself, let me refer you to a YouTube video from the Quantum Made Simple site.
The point is: the direction of the angular momentum (and the magnetic moment) of an electron—or, to be precise, its component as measured in the direction of the (inhomogeneous) magnetic field through which our electron is traveling—cannot be parallel to the direction of motion. On the contrary, it is perpendicular to the direction of motion. In other words, if we imagine our electron as spinning around some center, then the disk it circumscribes will comprise the direction of motion.
However, we need to add an interesting detail here. As you know, we don’t really have a precise direction of angular momentum in quantum physics. [If you don’t know this… Well… Just look at one of my many posts on spin and angular momentum in quantum physics.] Now, we’ve explored a number of hypotheses but, when everything is said and done, a rather classical explanation turns out to be the best: an object with an angular momentum J and a magnetic moment μ (I used bold-face because these are vector quantities) that is parallel to some magnetic field B, will not line up, as you’d expect a tiny magnet to do in a magnetic field—or not completely, at least: it will precess. I explained that in another post on quantum-mechanical spin, which I advise you to re-read if you want to appreciate the point that I am trying to make here. That post integrates some interesting formulas, and so one of the things on my ‘to do’ list is to prove that these formulas are, effectively, compatible with the electron model we’ve presented in this and previous posts.
Indeed, when one advances a hypothesis like this, it’s not enough to just sort of show that the general geometry of the situation makes sense: we also need to show the numbers come out alright. So… Well… Whatever we think our electron—or its wavefunction—might be, it needs to be compatible with stuff like the observed precession frequency of an electron in a magnetic field.
Our model also needs to be compatible with the transformation formulas for amplitudes. I’ve been talking about this for quite a while now, and so it’s about time I get going on that.
Last but not least, those articles that relate matter-particles to (quantum) gravity—such as the one I mentioned above—are intriguing too and, hence, whatever hypotheses I advance here, I’d better check them against those more advanced theories too, right? 🙂 Unfortunately, that’s going to take me a few more years of studying… But… Well… I still have many years ahead—I hope. 🙂
Post scriptum: It’s funny how one’s brain keeps working when sleeping. When I woke up this morning, I thought: “But it is that flywheel that matters, right? That’s the energy storage mechanism and also explains how photons possibly interact with electrons. The oscillators drive the flywheel but, without the flywheel, nothing is happening. It is really the transfer of energy—through the flywheel—which explains why our flywheel goes round and round.”
It may or may not be useful to remind ourselves of the math in this regard. The motion of our first oscillator is given by the cos(ω·t) = cosθ function (θ = ω·t), and its kinetic energy will be equal to sin2θ. Hence, the (instantaneous) change in kinetic energy at any point in time (as a function of the angle θ) is equal to: d(sin2θ)/dθ = 2∙sinθ∙d(sinθ)/dθ = 2∙sinθ∙cosθ. Now, the motion of the second oscillator (just look at that second piston going up and down in the V-2 engine) is given by the sinθ function, which is equal to cos(θ − π /2). Hence, its kinetic energy is equal to sin2(θ − π /2), and how it changes (as a function of θ again) is equal to 2∙sin(θ − π /2)∙cos(θ − π /2) = = −2∙cosθ∙sinθ = −2∙sinθ∙cosθ. So here we have our energy transfer: the flywheel organizes the borrowing and returning of energy, so to speak. That’s the crux of the matter.
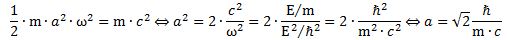
So… Well… What if the relevant energy formula is E = m·a2·ω2/2 instead of E = m·a2·ω2? What are the implications? Well… We get a √2 factor in our formula for the radius a, as shown below.

Now that is not so nice. For the tangential velocity, we get v = a·ω = √2·c. This is also not so nice. How can we save our model? I am not sure, but here I am thinking of the mentioned precession—the wobbling of our flywheel in a magnetic field. Remember we may think of Jz—the angular momentum or, to be precise, its component in the z-direction (the direction in which we measure it—as the projection of the real angular momentum J. Let me insert Feynman’s illustration here again (Feynman’s Lectures, II-34-3), so you get what I am talking about.

Now, all depends on the angle (θ) between Jz and J, of course. We did a rather obscure post on these angles, but the formulas there come in handy now. Just click the link and review it if and when you’d want to understand the following formulas for the magnitude of the presumed actual momentum:
In this particular case (spin-1/2 particles), j is equal to 1/2 (in units of ħ, of course). Hence, J is equal to √0.75 ≈ 0.866. Elementary geometry then tells us cos(θ) = (1/2)/√(3/4) = = 1/√3. Hence, θ ≈ 54.73561°. That’s a big angle—larger than the 45° angle we had secretly expected because… Well… The 45° angle has that √2 factor in it: cos(45°) = sin(45°) = 1/√2.
Hmm… As you can see, there is no easy fix here. Those damn 1/2 factors! They pop up everywhere, don’t they? 🙂 We’ll solve the puzzle. One day… But not today, I am afraid. I’ll call it the form factor problem… Because… Well… It sounds better than the 1/2 or √2 problem, right? 🙂
Note: If you’re into quantum math, you’ll note a = ħ/(m·c) is the reduced Compton scattering radius. The standard Compton scattering radius is equal to a·2π = (2π·ħ)/(m·c) = h/(m·c) = h/(m·c). It doesn’t solve the √2 problem. Sorry. The form factor problem. 🙂
To be honest, I finished my published paper on all of this with a suggestion that, perhaps, we should think of two circular oscillations, as opposed to linear ones. Think of a tiny ball, whose center of mass stays where it is, as depicted below. Any rotation – around any axis – will be some combination of a rotation around the two other axes. Hence, we may want to think of our two-dimensional oscillation as an oscillation of a polar and azimuthal angle. It’s just a thought but… Well… I am sure it’s going to keep me busy for a while. 🙂
They are oscillations, still, so I am not thinking of two flywheels that keep going around in the same direction. No. More like a wobbling object on a spring. Something like the movement of a bobblehead on a spring perhaps. 🙂
Some content on this page was disabled on June 17, 2020 as a result of a DMCA takedown notice from Michael A. Gottlieb, Rudolf Pfeiffer, and The California Institute of Technology. You can learn more about the DMCA here:
https://wordpress.com/support/copyright-and-the-dmca/
Some content on this page was disabled on June 17, 2020 as a result of a DMCA takedown notice from Michael A. Gottlieb, Rudolf Pfeiffer, and The California Institute of Technology. You can learn more about the DMCA here:

One thought on “The geometry of the wavefunction, electron spin and the form factor”