Pre-script (dated 26 June 2020): This post got mutilated by the removal of some material by the dark force. You should be able to follow the main story line, however. If anything, the lack of illustrations might actually help you to think things through for yourself. In any case, we now have different views on these concepts as part of our realist interpretation of quantum mechanics, so we recommend you read our recent papers instead of these old blog posts.
Original post:
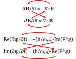
In my various posts on the wavefunction – which I summarized in my e-book – I wrote at the length on the structural similarities between the matter-wave and the electromagnetic wave. Look at the following images once more:

Both are the same, and then they are not. The illustration on the right-hand side is a regular quantum-mechanical wavefunction, i.e. an amplitude wavefunction: the x-axis represents time, so we are looking at the wavefunction at some particular point in space. [Of course, we could just switch the dimensions and it would all look the same.] The illustration on the left-hand side looks similar, but it is not an amplitude wavefunction. The animation shows how the electric field vector (E) of an electromagnetic wave travels through space. Its shape is the same. So it is the same function. Is it also the same reality?
Yes and no. The two energy propagation mechanisms are structurally similar. The key difference is that, in electromagnetics, we get two waves for the price of one. Indeed, the animation above does not show the accompanying magnetic field vector (B), which is equally essential. But, for the rest, Schrödinger’s equation and Maxwell’s equation model a similar energy propagation mechanism, as shown below.

They have to, as the force laws are similar too:


The only difference is that mass comes in one color only, so to speak: it’s always positive. In contrast, electric charge comes in two colors: positive and negative. You can now guess what comes next: quantum chromodynamics, but I won’t write about that here, because I haven’t studied that yet. I won’t repeat what I wrote elsewhere, but I want to make good on one promise, and that is to develop the idea of the Poynting vector for the matter-wave. So let’s do that now. Let me first remind you of the basic ideas, however.
Basics
The animation below shows the two components of the archetypal wavefunction, i.e. the sine and cosine:

Think of the two oscillations as (each) packing half of the total energy of a particle (like an electron or a photon, for example). Look at how the sine and cosine mutually feed into each other: the sine reaches zero as the cosine reaches plus or minus one, and vice versa. Look at how the moving dot accelerates as it goes to the center point of the axis, and how it decelerates when reaching the end points, so as to switch direction. The two functions are exactly the same function, but for a phase difference of 90 degrees, i.e. a right angle. Now, I love engines, and so it makes me think of a V-2 engine with the pistons at a 90-degree angle. Look at the illustration below. If there is no friction, we have a perpetual motion machine: it would store energy in its moving parts, while not requiring any external energy to keep it going.

If it is easier for you, you can replace each piston by a physical spring, as I did below. However, I should learn how to make animations myself, because the image below does not capture the phase difference. Hence, it does not show how the real and imaginary part of the wavefunction mutually feed into each other, which is (one of the reasons) why I like the V-2 image much better. 🙂

The point to note is: all of the illustrations above are true representations – whatever that means – of (idealized) stationary particles, and both for matter (fermions) as well as for force-carrying particles (bosons). Let me give you an example. The (rest) energy of an electron is tiny: about 8.2×10−14 joule. Note the minus 14 exponent: that’s an unimaginably small amount. It sounds better when using the more commonly used electronvolt scale for the energy of elementary particles: 0.511 MeV. Despite its tiny mass (or energy, I should say, but then mass and energy are directly proportional to each other: the proportionality coefficient is given by the E = m·c2 formula), the frequency of the matter-wave of the electron is of the order of 1×1020 = 100,000,000,000,000,000,000 cycles per second. That’s an unimaginably large number and – as I will show when we get there – that’s not because the second is a huge unit at the atomic or sub-atomic scale.
We may refer to this as the natural frequency of the electron. Higher rest masses increase the frequency and, hence, give the wavefunction an even higher density in spacetime. Let me summarize things in a very simple way:
- The (total) energy that is stored in an oscillating spring is the sum of the kinetic and potential energy (T and U) and is given by the following formula: E = T + U = a02·m·ω02/2. The a0 factor is the maximum amplitude – which depends on the initial conditions, i.e. the initial pull or push. The ω0 in the formula is the natural frequency of our spring, which is a function of the stiffness of the spring (k) and the mass on the spring (m): ω02 = k/m.
- Hence, the total energy that’s stored in two springs is equal to a02·m·ω02.
- The similarity between the E = a02·m·ω02 and the E = m·c2 formula is much more than just striking. It is fundamental: the two oscillating components of the wavefunction each store half of the total energy of our particle.
- To emphasize the point: ω0 = √(k/m) is, obviously, a characteristic of the system. Likewise, c = √(E/m) is just the same: a property of spacetime.
Of course, the key question is: what is that is oscillating here? In our V-2 engine, we have the moving parts. Now what exactly is moving when it comes to the wavefunction? The easy answer is: it’s the same thing. The V-2 engine, or our springs, store energy because of the moving parts. Hence, energy is equivalent only to mass that moves, and the frequency of the oscillation obviously matters, as evidenced by the E = a02·m·ω02/2 formula for the energy in a oscillating spring. Mass. Energy is moving mass. To be precise, it’s oscillating mass. Think of it: mass and energy are equivalent, but they are not the same. That’s why the dimension of the c2 factor in Einstein’s famous E = m·c2 formula matters. The equivalent energy of a 1 kg object is approximately 9×1016 joule. To be precise, it is the following monstrous number:
89,875,517,873,681,764 kg·m2/s2
Note its dimension: the joule is the product of the mass unit and the square of the velocity unit. So that, then, is, perhaps, the true meaning of Einstein’s famous formula: energy is not just equivalent to mass. It’s equivalent to mass that’s moving. In this case, an oscillating mass. But we should explore the question much more rigorously, which is what I do in the next section. Let me warn you: it is not an easy matter and, even if you are able to work your way through all of the other material below in order to understand the answer, I cannot promise you that the answer will satisfy you entirely. However, it will surely help you to phrase the question.
The Poynting vector for the matter-wave
For the photon, we have the electric and magnetic field vectors E and B. The boldface highlights the fact that these are vectors indeed: they have a direction as well as a magnitude. Their magnitude has a physical dimension. The dimension of E is straightforward: the electric field strength (E) is a quantity expressed in newton per coulomb (N/C), i.e. force per unit charge. This follows straight from the F = q·E force relation.
The dimension of B is much less obvious: the magnetic field strength (B) is measured in (N/C)/(m/s) = (N/C)·(s/m). That’s what comes out of the F = q·v×B force relation. Just to make sure you understand: v×B is a vector cross product, and yields another vector, which is given by the following formula:
a×b = |a×b|·n = |a|·|b|·sinφ·n
The φ in this formula is the angle between a and b (in the plane containing them) and, hence, is always some angle between 0 and π. The n is the unit vector that is perpendicular to the plane containing a and b in the direction given by the right-hand rule. The animation below shows it works for some rather special angles:

We may also need the vector dot product, so let me quickly give you that formula too. The vector dot product yields a scalar given by the following formula:
a•b = |a|·|b|·cosφ
Let’s get back to the F = q·v×B relation. A dimensional analysis shows that the dimension of B must involve the reciprocal of the velocity dimension in order to ensure the dimensions come out alright:
[F]= [q·v×B] = [q]·[v]·[B] = C·(m/s)·(N/C)·(s/m) = N
We can derive the same result in a different way. First, note that the magnitude of B will always be equal to E/c (except when none of the charges is moving, so B is zero), which implies the same:
[B] = [E/c] = [E]/[c] = (N/C)/(m/s) = (N/C)·(s/m)
Finally, the Maxwell equation we used to derive the wavefunction of the photon was ∂E/∂t = c2∇×B, which also tells us the physical dimension of B must involve that s/m factor. Otherwise, the dimensional analysis would not work out:
- [∂E/∂t] = (N/C)/s = N/(C·s)
- [c2∇×B] = [c2]·[∇×B] = (
m2/s2)·[(N/C)·(s/m)]/m = N/(C·s)
This analysis involves the curl operator ∇×, which is a rather special vector operator. It gives us the (infinitesimal) rotation of a three-dimensional vector field. You should look it up so you understand what we’re doing here.
Now, when deriving the wavefunction for the photon, we gave you a purely geometric formula for B:
B = ex×E = i·E
Now I am going to ask you to be extremely flexible: wouldn’t you agree that the B = E/c and the B = ex×E = i·E formulas, jointly, only make sense if we’d assign the s/m dimension to ex and/or to i? I know you’ll think that’s nonsense because you’ve learned to think of the ex× and/or i· operation as a rotation only. What I am saying here is that it also transforms the physical dimension of the vector on which we do the operation: it multiplies it with the reciprocal of the velocity dimension. Don’t think too much about it, because I’ll do yet another hat trick. We can think of the real and imaginary part of the wavefunction as being geometrically equivalent to the E and B vector. Just compare the illustrations below:

Of course, you are smart, and you’ll note the phase difference between the sine and the cosine (illustrated below). So what should we do with that? Not sure. Let’s hold our breath for the moment.

Let’s first think about what dimension we could possible assign to the real part of the wavefunction. We said this oscillation stores half of the energy of the elementary particle that is being described by the wavefunction. How does that storage work for the E vector? As I explained in my post on the topic, the Poynting vector describes the energy flow in a varying electromagnetic field. It’s a bit of a convoluted story (which I won’t repeat here), but the upshot is that the energy density is given by the following formula:

Its shape should not surprise you. The formula is quite intuitive really, even if its derivation is not. The formula represents the one thing that everyone knows about a wave, electromagnetic or not: the energy in it is proportional to the square of its amplitude, and so that’s E•E = E2 and B•B = B2. You should also note he c2 factor that comes with the B•B product. It does two things here:
- As a physical constant, with some dimension of its own, it ensures that the dimensions on both sides of the equation come out alright.
- The magnitude of B is 1/c of that of E, so cB = E, and so that explains the extra c2 factor in the second term: we do get two waves for the price of one here and, therefore, twice the energy.
Speaking of dimensions, let’s quickly do the dimensional analysis:
- E is measured in newton per coulomb, so [E•E] = [E2] = N2/C2.
- B is measured in (N/C)/(m/s), so we get [B•B] = [B2] = (N2/C2)·(s2/m2). However, the dimension of our c2 factor is (m2/s2) and so we’re left with N2/C2. That’s nice, because we need to add stuff that’s expressed in the same units.
- The ε0 is that ubiquitous physical constant in electromagnetic theory: the electric constant, aka as the vacuum permittivity. Besides ensuring proportionality, it also ‘fixes’ our units, and so we should trust it to do the same thing here, and it does: [ε0] = C2/(N·m2), so if we multiply that with N2/C2, we find that u is expressed in N/m2.
Why is N/m2 an energy density? The correct answer to that question involves a rather complicated analysis, but there is an easier way to think about it: just multiply N/m2 with m/m, and then its dimension becomes N·m/m3 = J/m3, so that’s joule per cubic meter. That looks more like an energy density dimension, doesn’t it? But it’s actually the same thing. In any case, I need to move on.
We talked about the Poynting vector, and said it represents an energy flow. So how does that work? It is also quite intuitive, as its formula really speaks for itself. Let me write it down:

Just look at it: u is the energy density, so that’s the amount of energy per unit volume at a given point, and so whatever flows out of that point must represent its time rate of change. As for the –∇•S expression… Well… The ∇• operator is the divergence, and so it give us the magnitude of a (vector) field’s source or sink at a given point. If C is a vector field (any vector field, really), then ∇•C is a scalar, and if it’s positive in a region, then that region is a source. Conversely, if it’s negative, then it’s a sink. To be precise, the divergence represents the volume density of the outward flux of a vector field from an infinitesimal volume around a given point. So, in this case, it gives us the volume density of the flux of S. If you’re somewhat familiar with electromagnetic theory, then you will immediately note that the formula has exactly the same shape as the ∇•j = −∂ρ/∂t formula, which represents a flow of electric charge.
But I need to get on with my own story here. In order to not create confusion, I will denote the total energy by U, rather than E, because we will continue to use E for the magnitude of the electric field. We said the real and the imaginary component of the wavefunction were like the E and B vector, but what’s their dimension? It must involve force, but it should obviously not involve any electric charge. So what are our options here? You know the electric force law (i.e. Coulomb’s Law) and the gravitational force law are structurally similar:


So what if we would just guess that the dimension of the real and imaginary component of our wavefunction should involve a newton per kg factor (N/kg), so that’s force per mass unit rather than force per unit charge? But… Hey! Wait a minute! Newton’s force law defines the newton in terms of mass and acceleration, so we can do a substitution here: 1 N = 1 kg·m/s2 ⇔ 1 kg = 1 N·s2/m. Hence, our N/kg dimension becomes:
N/kg = N/(N·s2/m)= m/s2
What is this: m/s2? Is that the dimension of the a·cosθ term in the a·e−i·θ = a·cosθ − i·a·sinθ wavefunction? I hear you. This is getting quite crazy, but let’s see where it leads us. To calculate the equivalent energy density, we’d then need an equivalent for the ε0 factor, which – replacing the C by kg in the [ε0] = C2/(N·m2) expression – would be equal to kg2/(N·m2). Because we know what we want (energy is defined using the force unit, not the mass unit), we’ll want to substitute the kg unit once again, so – temporarily using the μ0 symbol for the equivalent of that ε0 constant – we get:
[μ0] = [N·s2/m]2/(N·m2) = N·s4/m4
Hence, the dimension of the equivalent of that ε0·E2 term becomes:
[(μ0/2)]·[cosθ]2 = (N·s4/m4)·m2/s4 = N/m2
Bingo! How does it work for the other component? The other component has the imaginary unit (i) in front. If we continue to pursue our comparison with the E and B vectors, we should assign an extra s/m dimension because of the ex and/or i factor, so the physical dimension of the i·sinθ term would be (m/s2)·(s/m) = s. What? Just the second? Relax. That second term in the energy density formula has the c2 factor, so it all works out:
[(μ0/2)]·[c2]·[i·sinθ]2 = [(μ0/2)]·[c2]·[i]2·[sinθ]2 (N·s4/m4)·(m2/s2)·(s2/m2)·m2/s4 = N/m2
As weird as it is, it all works out. We can calculate u and, hence, we can now also calculate the equivalent Poynting vector (S). However, I will let you think about that as an exercise. 🙂 Just note the grand conclusions:
- The physical dimension of the argument of the wavefunction is physical action (newton·meter·second) and Planck’s quantum of action is the scaling factor.
- The physical dimension of both the real and imaginary component of the elementary wavefunction is newton per kg (N/kg). This allows us to analyze the wavefunction as an energy propagation mechanism that is structurally similar to Maxwell’s equations, which represent the energy propagation mechanism when electromagnetic energy is involved.
As such, all we presented so far was a deep exploration of the mathematical equivalence between the gravitational and electromagnetic force laws:


The only difference is that mass comes in one color only, so to speak: it’s always positive. In contrast, electric charge comes in two colors: positive and negative. You can now guess what comes next. 🙂
Despite our grand conclusions, you should note we have not answered the most fundamental question of all. What is mass? What is electric charge? We have all these relations and equations, but are we any wiser, really? The answer to that question probably lies in general relativity: mass is that what curves spacetime. Likewise, we may look at electric charge as causing a very special type of spacetime curvature. However, even such answer – which would involve a much more complicated mathematical analysis – may not satisfy you. In any case, I will let you digest this post. I hope you enjoyed it as much as I enjoyed writing it. 🙂
Post scriptum: Of all of the weird stuff I presented here, I think the dimensional analyses were the most interesting. Think of the N/kg = N/(N·s2/m)= m/s2 identity, for example. The m/s2 dimension is the dimension of physical acceleration (or deceleration): the rate of change of the velocity of an object. The identity comes straight out of Newton’s force law:
F = m·a ⇔ F/m = a
Now look, once again, at the animation, and remember the formula for the argument of the wavefunction: θ = E0∙t’. The energy of the particle that is being described is the (angular) frequency of the real and imaginary components of the wavefunction.

The relation between (1) the (angular) frequency of a harmonic oscillator (which is what the sine and cosine represent here) and (2) the acceleration along the axis is given by the following equation:
a(x) = −ω02·x
I’ll let you think about what that means. I know you will struggle with it – because I did – and, hence, let me give you the following hint:
- The energy of an ordinary string wave, like a guitar string oscillating in one dimension only, will be proportional to the square of the frequency.
- However, for two-dimensional waves – such as an electromagnetic wave – we find that the energy is directly proportional to the frequency. Think of Einstein’s E = h·f = ħ·ω relation, for example. There is no squaring here!
It is a strange observation. Those two-dimensional waves – the matter-wave, or the electromagnetic wave – give us two waves for the price of one, each carrying half of the total energy but, as a result, we no longer have that square function. Think about it. Solving the mystery will make you feel like you’ve squared the circle, which – as you know – is impossible. 🙂
Some content on this page was disabled on June 16, 2020 as a result of a DMCA takedown notice from The California Institute of Technology. You can learn more about the DMCA here:
https://wordpress.com/support/copyright-and-the-dmca/