A simple explanation of quantum-mechanical operators

I added an Annex to a paper that talks about all of the fancy stuff quantum physicists like to talk about, like scattering matrices and high-energy particle events. The Annex, however, is probably my simplest and shortest summary of the ordinariness of wavefunction math, including a quick overview of what quantum-mechanical operators actually are. It does not make use of state vector algebra or the usual high-brow talk about Gilbert spaces and what have you: you only need to know what a derivative is, and combine it with our realist interpretation of what the wavefunction actually represents.

I think I should do a paper on the language of physics. To show how (i) rotations (i, j, k), (ii) scalars (constants or just numerical values) and (iii) vectors (real vectors (e.g. position vectors) and pseudovectors (e.g. angular frequency or momentum)), and (iv) operators (derivatives of the wavefunction with respect to time and spatial directions) form ‘words’ (e.g. energy and momentum operators), and how these ‘words’ then combine into meaningful statements (e.g. Schroedinger’s equation).

All of physics can then be summed up in a half-page or so. All the rest is thermodynamics 🙂 JL

PS: You only get collapsing wavefunctions when adding uncertainty to the models (i.e. our own uncertainty about the energy and momentum). The ‘collapse’ of the wavefunction (let us be precise, the collapse of the (dissipating) wavepacket) thus corresponds to the ‘measurement’ operation. 🙂

PS2: Incidentally, the analysis also gives an even more intuitive explanation of Einstein’s mass-energy equivalence relation, which I summarize in a reply to one of the many ‘numerologist’ physicists on ResearchGate (copied below).

Quantum-mechanical operators

I wrote a post on quantum-mechanical operators some while ago but, when re-reading it now, I am not very happy about it, because it tries to cover too much ground in one go. In essence, I regret my attempt to constantly switch between the matrix representation of quantum physics – with the | state 〉 symbols – and the wavefunction approach, so as to show how the operators work for both cases. But then that’s how Feynman approaches this.

However, let’s admit it: while Heisenberg’s matrix approach is equivalent to Schrödinger’s wavefunction approach – and while it’s the only approach that works well for n-state systems – the wavefunction approach is more intuitive, because:

  1. Most practical examples of quantum-mechanical systems (like the description of the electron orbitals of an atomic system) involve continuous coordinate spaces, so we have an infinite number of states and, hence, we need to describe it using the wavefunction approach.
  2. Most of us are much better-versed in using derivatives and integrals, as opposed to matrix operations.
  3. A more intuitive statement of the same argument above is the following: the idea of one state flowing into another, rather than being transformed through some matrix, is much more appealing. 🙂

So let’s stick to the wavefunction approach here. So, while you need to remember that there’s a ‘matrix equivalent’ for each of the equations we’re going to use in this post, we’re not going to talk about it.

The operator idea

In classical physics – high school physics, really – we would describe a pointlike particle traveling in space by a function relating its position (x) to time (t): x = x(t). Its (instantaneous) velocity is, obviously, v(t) = dx/dt. Simple. Obvious. Let’s complicate matters now by saying that the idea of a velocity operator would sort of generalize the v(t) = dx/dt velocity equation by making abstraction of the specifics of the x = x(t) function.

Huh? Yes. We could define a velocity ‘operator’ as:

velocity operator

Now, you may think that’s a rather ridiculous way to describe what an operator does, but – in essence – it’s correct. We have some function – describing an elementary particle, or a system, or an aspect of the system – and then we have some operator, which we apply to our function, to extract the information from it that we want: its velocity, its momentum, its energy. Whatever. Hence, in quantum physics, we have an energy operator, a position operator, a momentum operator, an angular momentum operator and… Well… I guess I listed the most important ones. 🙂

It’s kinda logical. Our velocity operator looks at one particular aspect of whatever it is that’s going on: the time rate of change of position. We do refer to that as the velocity. Our quantum-mechanical operators do the same: they look at one aspect of what’s being described by the wavefunction. [At this point, you may wonder what the other properties of our classical ‘system’ – i.e. other properties than velocity – because we’re just looking at a pointlike particle here, but… Well… Think of electric charge and forces acting on it, so it accelerates and decelerates in all kinds of ways, and we have kinetic and potential energy and all that. Or momentum. So it’s just the same: the x = x(t) function may cover a lot of complexities, just like the wavefunction does!]

The Wikipedia article on the momentum operator is, for a change (I usually find Wikipedia quite abstruse on these matters), quite simple – and, therefore – quite enlightening here. It applies the following simple logic to the elementary wavefunction ψ = e−i·(ω·t − k∙x), with the de Broglie relations telling us that ω = E/ħ and k = p/ħ:

mom op 1

Note we forget about the normalization coefficient a here. It doesn’t matter: we can always stuff it in later. The point to note is that we can sort of forget about ψ (or abstract away from it—as mathematicians and physicists would say) by defining the momentum operator, which we’ll write as:

mom op 2

Its three-dimensional equivalent is calculated in very much the same way:

wiki

So this operator, when operating on a particular wavefunction, gives us the (expected) momentum when we would actually catch our particle there, provided the momentum doesn’t vary in time. [Note that it may – and actually is likely to – vary in space!]

So that’s the basic idea of an operator. However, the comparison goes further. Indeed, a superficial reading of what operators are all about gives you the impression we get all these observables (or properties of the system) just by applying the operator to the (wave)function. That’s not the case. There is the randomness. The uncertainty. Actual wavefunctions are superpositions of several elementary waves with various coefficients representing their amplitudes. So we need averages, or expected values: E[X] Even our velocity operator ∂/∂t – in the classical world – gives us an instantaneous velocity only. To get the average velocity (in quantum mechanics, we’ll be interested in the the average momentum, or the average position, or the average energy – rather than the average velocity), we’re going to have the calculate the total distance traveled. Now, that’s going to involve a line integral:

S = ∫L ds.

The principle is illustrated below.

line integral

You’ll say: this is kids stuff, and it is. Just note how we write the same integral in terms of the x and t coordinate, and using our new velocity operator:

integral

Kids stuff. Yes. But it’s good to think about what it represents really. For example, the simplest quantum-mechanical operator is the position operator. It’s just x for the x-coordinate, y for the y-coordinate, and z for the z-coordinate. To get the average position of a stationary particle – represented by the wavefunction ψ(r, t) – in three-dimensional space, we need to calculate the following volume integral:

position operator 3D V2

Simple? Yes and no. The r·|ψ(r)|2 integrand is obvious: we multiply each possible position (r) by its probability (or likelihood), which is equal to P(r) = |ψ(r)|2. However, look at the assumptions: we already omitted the time variable. Hence, the particle we’re describing here must be stationary, indeed! So we’ll need to re-visit the whole subject allowing for averages to change with time. We’ll do that later. I just wanted to show you that those integrals – even with very simple operators, like the position operator – can become very complicated. So you just need to make sure you know what you’re looking at.

One wavefunction—or two? Or more?

There is another reason why, with the immeasurable benefit of hindsight, I now feel that my earlier post is confusing: I kept switching between the position and the momentum wavefunction, which gives the impression we have different wavefunctions describing different aspects of the same thing. That’s just not true. The position and momentum wavefunction describe essentially the same thing: we can go from one to the other, and back again, by a simple mathematical manipulation. So I should have stuck to descriptions in terms of ψ(x, t), instead of switching back and forth between the ψ(x, t) and φ(x, t) representations.

In any case, the damage is done, so let’s move forward. The key idea is that, when we know the wavefunction, we know everything. I tried to convey that by noting that the real and imaginary part of the wavefunction must, somehow, represent the total energy of the particle. The structural similarity between the mass-energy equivalence relation (i.e. Einstein’s formula: E = m·c2) and the energy formulas for oscillators and spinning masses is too obvious:

  1. The energy of any oscillator is given by the E = m·ω02/2. We may want to liken the real and imaginary component of our wavefunction to two oscillators and, hence, add them up. The E = m·ω02 formula we get is then identical to the E = m·c2 formula.
  2. The energy of a spinning mass is given by an equivalent formula: E = I·ω2/2 (I is the moment of inertia in this formula). The same 1/2 factor tells us our particle is, somehow, spinning in two dimensions at the same time (i.e. a ‘real’ as well as an ‘imaginary’ space—but both are equally real, because amplitudes interfere), so we get the E = I·ω2 formula. 

Hence, the formulas tell us we should imagine an electron – or an electron orbital – as a very complicated two-dimensional standing wave. Now, when I write two-dimensional, I refer to the real and imaginary component of our wavefunction, as illustrated below. What I am asking you, however, is to not only imagine these two components oscillating up and down, but also spinning about. Hence, if we think about energy as some oscillating mass – which is what the E = m·c2 formula tells us to do, we should remind ourselves we’re talking very complicated motions here: mass oscillates, swirls and spins, and it does so both in real as well as in imaginary space.  rising_circular

What I like about the illustration above is that it shows us – in a very obvious way – why the wavefunction depends on our reference frame. These oscillations do represent something in absolute space, but how we measure it depends on our orientation in that absolute space. But so I am writing this post to talk about operators, not about my grand theory about the essence of mass and energy. So let’s talk about operators now. 🙂

In that post of mine, I showed how the position, momentum and energy operator would give us the average position, momentum and energy of whatever it was that we were looking at, but I didn’t introduce the angular momentum operator. So let me do that now. However, I’ll first recapitulate what we’ve learnt so far in regard to operators.

The energy, position and momentum operators

The equation below defines the energy operator, and also shows how we would apply it to the wavefunction:

energy operator

To the purists: sorry for not (always) using the hat symbol. [I explained why in that post of mine: it’s just too cumbersome.] The others 🙂 should note the following:

  • Eaverage is also an expected value: Eav = E[E]
  • The * symbol tells us to take the complex conjugate of the wavefunction.
  • As for the integral, it’s an integral over some volume, so that’s what the d3r shows. Many authors use double or triple integral signs (∫∫ or ∫∫∫) to show it’s a surface or a volume integral, but that makes things look very complicated, and so I don’t that. I could also have written the integral as ∫ψ(r)*·H·ψ(r) dV, but then I’d need to explain that the dV stands for dVolume, not for any (differental) potential energy (V).
  • We must normalize our wavefunction for these formulas to work, so all probabilities over the volume add up to 1.

OK. That’s the energy operator. As you can see, it’s a pretty formidable beast, but then it just reflects Schrödinger’s equation which, as I explained a couple of times already, we can interpret as an energy propagation mechanism, or an energy diffusion equation, so it is actually not that difficult to memorize the formula: if you’re able to remember Schrödinger’s equation, then you’ll also have the operator. If not… Well… Then you won’t pass your undergrad physics exam. 🙂

I already mentioned that the position operator is a much simpler beast. That’s because it’s so intimately related to our interpretation of the wavefunction. It’s the one thing you know about quantum mechanics: the absolute square of the wavefunction gives us the probability density function. So, for one-dimensional space, the position operator is just:

position operator

The equivalent operator for three-dimensional space is equally simple:

position operator 3D V2

Note how the operator, for the one- as well as for the three-dimensional case, gets rid of time as a variable. In fact, the idea itself of an average makes abstraction of the temporal aspect. Well… Here, at least—because we’re looking at some box in space, rather than some box in spacetime. We’ll re-visit that rather particular idea of an average, and allow for averages that change with time, in a short while.

Next, we introduced the momentum operator in that post of mine. For one dimension, Feynman shows this operator is given by the following formula:

momentum operator

Now that does not look very simple. You might think that the ∂/∂x operator reflects our velocity operator, but… Well… No: ∂/∂t gives us a time rate of change, while ∂/∂x gives us the spatial variation. So it’s not the same. Also, that ħ/i factor is quite intriguing, isn’t it? We’ll come back to it in the next section of this post. Let me just give you the three-dimensional equivalent which, remembering that 1/i = −i, you’ll understand to be equal to the following vector operator:

momentum vector operator

Now it’s time to define the operator we wanted to talk about, i.e. the angular momentum operator.

The angular momentum operator

The formula for the angular momentum operator is remarkably simple:

angular momentum operator

Why do I call this a simple formula? Because it looks like the familiar formula of classical mechanics for the z-component of the classical angular momentum L = r × p. I must assume you know how to calculate a vector cross product. If not, check one of my many posts on vector analysis. I must also assume you remember the L = r × p formula. If not, the following animation might bring it all back. If that doesn’t help, check my post on gyroscopes. 🙂

torque_animation-1.gif

Now, spin is a complicated phenomenon, and so, to simplify the analysis, we should think of orbital angular momentum only. This is a simplification, because electron spin is some complicated mix of intrinsic and orbital angular momentum. Hence, the angular momentum operator we’re introducing here is only the orbital angular momentum operator. However, let us not get bogged down in all of the nitty-gritty and, hence, let’s just go along with it for the time being.

I am somewhat hesitant to show you how we get that formula for our operator, but I’ll try to show you using an intuitive approach, which uses only bits and pieces of Feynman’s more detailed derivation. It will, hopefully, give you a bit of an idea of how these differential operators work. Think about a rotation of our reference frame over an infinitesimally small angle – which we’ll denote as ε – as illustrated below.

rotation

Now, the whole idea is that, because of that rotation of our reference frame, our wavefunction will look different. It’s nothing fundamental, but… Well… It’s just because we’re using a different coordinate system. Indeed, that’s where all these complicated transformation rules for amplitudes come in.  I’ve spoken about these at length when we were still discussing n-state systems. In contrast, the transformation rules for the coordinates themselves are very simple:

rotation

Now, because ε is an infinitesimally small angle, we may equate cos(θ) = cos(ε) to 1, and cos(θ) = sin(ε) to ε. Hence, x’ and y’ are then written as x’ = x + εy and y’ = y − εx, while z‘ remains z. Vice versa, we can also write the old coordinates in terms of the new ones: x = x’ − εy, y = y’ + εx, and z = z. That’s obvious. Now comes the difficult thing: you need to think about the two-dimensional equivalent of the simple illustration below.

izvod

If we have some function y = f(x), then we know that, for small Δx, we have the following approximation formula for f(x + Δx): f(x + Δx) ≈ f(x) + (dy/dx)·Δx. It’s the formula you saw in high school: you would then take a limit (Δx → 0), and define dy/dx as the Δy/Δx ratio for Δx → 0. You would this after re-writing the f(x + Δx) ≈ f(x) + (dy/dx)·Δx formula as:

Δy = Δf = f(x + Δx) − f(x) ≈ (dy/dx)·Δx

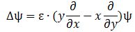
Now you need to substitute f for ψ, and Δx for ε. There is only one complication here: ψ is a function of two variables: x and y. In fact, it’s a function of three variables – x, y and z – but we keep z constant. So think of moving from x and y to x + εy = x + Δx and to y + Δy = y − εx. Hence, Δx = εy and Δy = −εx. It then makes sense to write Δψ as:

angular momentum operator v2

If you agree with that, you’ll also agree we can write something like this:

formula 2

Now that implies the following formula for Δψ:

repair

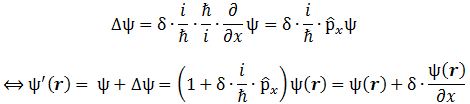
This looks great! You can see we get some sort of differential operator here, which is what we want. So the next step should be simple: we just let ε go to zero and then we’re done, right? Well… No. In quantum mechanics, it’s always a bit more complicated. But it’s logical stuff. Think of the following:

1. We will want to re-write the infinitesimally small ε angle as a fraction of i, i.e. the imaginary unit.

Huh? Yes. This little i represents many things. In this particular case, we want to look at it as a right angle. In fact, you know multiplication with i amounts to a rotation by 90 degrees. So we should replace ε by ε·i. It’s like measuring ε in natural units. However, we’re not done.

2. We should also note that Nature measures angles clockwise, rather than counter-clockwise, as evidenced by the fact that the argument of our wavefunction rotates clockwise as time goes by. So our ε is, in fact, a −ε. We will just bring the minus sign inside of the brackets to solve this issue.

Huh? Yes. Sorry. I told you this is a rather intuitive approach to getting what we want to get. 🙂

3. The third modification we’d want to make is to express ε·i as a multiple of Planck’s constant.

Huh? Yes. This is a very weird thing, but it should make sense—intuitively: we’re talking angular momentum here, and its dimension is the same as that of physical action: N·m·s. Therefore, Planck’s quantum of action (ħ = h/2Ï€ ≈ 1×10−34 J·s ≈ 6.6×10−16 eV·s) naturally appears as… Well… A natural unit, or a scaling factor, I should say.

To make a long story short, we’ll want to re-write ε as −(i/ħ)·ε. However, there is a thing called mathematical consistency, and so, if we want to do such substitutions and prepare for that limit situation (ε → 0), we should re-write that Δψ equation as follows:

final

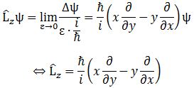
So now – finally! – we do have the formula we wanted to find for our angular momentum operator:

final 2

The final substitution, which yields the formula we just gave you when commencing this section, just uses the formula for the linear momentum operator in the x– and y-direction respectively. We’re done! 🙂 Finally! 

Well… No. 🙂 The question, of course, is the same as always: what does it all mean, really? That’s always a great question. 🙂 Unfortunately, the answer is rather boring: we can calculate the average angular momentum in the z-direction, using a similar integral as the one we used to get the average energy, or the average linear momentum in some direction. That’s basically it.

To compensate for that very boring answer, however, I will show you something that is far less boring. 🙂

Quantum-mechanical weirdness

I’ll shameless copy from Feynman here. He notes that many classical equations get carried over into a quantum-mechanical form (I’ll copy some of his illustrations later). But then there are some that don’t. As Feynman puts it—rather humorously: “There had better be some that don’t come out right, because if everything did, then there would be nothing different about quantum mechanics. There would be no new physics.” He then looks at the following super-obvious equation in classical mechanics:

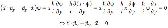
x·px − px·x = 0

In fact, this equation is so super-obvious that it’s almost meaningless. Almost. It’s super-obvious because multiplication is commutative (for real as well for complex numbers). However, when we replace x and px by the position and momentum operator, we get an entirely different result. You can verify the following yourself:

strange

This is plain weird! What does it mean? I am not sure. Feynman’s take on it is nice but leaves us in the dark on it:

Feynman quote 2

He adds: “If Planck’s constant were zero, the classical and quantum results would be the same, and there would be no quantum mechanics to learn!” Hmm… What does it mean, really? Not sure. Let me make two remarks here:

1. We should not put any dot (·) between our operators, because they do not amount to multiplying one with another. We just apply operators successively. Hence, commutativity is not what we should expect.

2. Note that Feynman forgot to put the subscript in that quote. When doing the same calculations for the equivalent of the x·py − py·x expression, we do get zero, as shown below:

not strange

These equations – zero or not – are referred to as ‘commutation rules’. [Again, I should not have used any dot between x and py, because there is no multiplication here. It’s just a separation mark.] Let me quote Feynman on it, so the matter is dealt with:

quote

OK. So what do we conclude? What are we talking about?

Conclusions

Some of the stuff above was really intriguing. For example, we found that the linear and angular momentum operators are differential operators in the true sense of the word. The angular momentum operator shows us what happens to the wavefunction if we rotate our reference frame over an infinitesimally small angle ε. That’s what’s captured by the formulas we’ve developed, as summarized below:

angular momentum

Likewise, the linear momentum operator captures what happens to the wavefunction for an infinitesimally small displacement of the reference frame, as shown by the equivalent formulas below:

linear momentum

What’s the interpretation for the position operator, and the energy operator? Here we are not so sure. The integrals above make sense, but these integrals are used to calculate averages values, as opposed to instantaneous values. So… Well… There is not all that much I can say about the position and energy operator right now, except… Well… We now need to explore the question of how averages could possibly change over time. Let’s do that now.

Averages that change with time

I know: you are totally quantum-mechanicked out by now. So am I. But we’re almost there. In fact, this is Feynman’s last Lecture on quantum mechanics and, hence, I think I should let the Master speak here. So just click on the link and read for yourself. It’s a really interesting chapter, as he shows us the equivalent of Newton’s Law in quantum mechanics, as well as the quantum-mechanical equivalent of other standard equations in classical mechanics. However, I need to warn you: Feynman keeps testing the limits of our intellectual absorption capacity by switching back and forth between matrix and wave mechanics. Interesting, but not easy. For example, you’ll need to remind yourself of the fact that the Hamiltonian matrix is equal to its own complex conjugate (or – because it’s a matrix – its own conjugate transpose.

Having said that, it’s all wonderful. The time rate of change of all those average values is denoted by using the over-dot notation. For example, the time rate of change of the average position is denoted by:

p1

Once you ‘get’ that new notation, you will quickly understand the derivations. They are not easy (what derivations are in quantum mechanics?), but we get very interesting results. Nice things to play with, or think about—like this identity:

formula2

It takes a while, but you suddenly realize this is the equivalent of the classical dx/dt = v = p/m formula. 🙂

Another sweet result is the following one:

formula3

This is the quantum-mechanical equivalent of Newton’s force law: F = m·a. Huh? Yes. Think of it: the spatial derivative of the (potential) energy is the force. Now just think of the classical dp/dt = d(m·v) = m·dv/dt = m·a formula. […] Can you see it now? Isn’t this just Great Fun?

Note, however, that these formulas also show the limits of our analysis so far, because they treat m as some constant. Hence, we’ll need to relativistically correct them. But that’s complicated, and so we’ll postpone that to another day.

[…]

Well… That’s it, folks! We’re really through! This was the last of the last of Feynman’s Lectures on Physics. So we’re totally done now. Isn’t this great? What an adventure! I hope that, despite the enormous mental energy that’s required to digest all this stuff, you enjoyed it as much as I did. 🙂

Post scriptum 1: I just love Feynman but, frankly, I think he’s sometimes somewhat sloppy with terminology. In regard to what these operators really mean, we should make use of better terminology: an average is something else than an expected value. Our momentum operator, for example, as such returns an expected value – not an average momentum. We need to deepen the analysis here somewhat, but I’ll also leave that for later.

Post scriptum 2: There is something really interesting about that i·ħ or −(i/ħ) scaling factor – or whatever you want to call it – appearing in our formulas. Remember the Schrödinger equation can also be written as:

i·ħ·∂ψ/∂t = −(1/2)·(ħ2/m)∇2ψ + V·ψ = Hψ

This is interesting in light of our interpretation of the Schrödinger equation as an energy propagation mechanism. If we write Schrödinger’s equation like we write it here, then we have the energy on the right-hand side – which is time-independent. How do we interpret the left-hand side now? Well… It’s kinda simple, but we just have the time rate of change of the real and imaginary part of the wavefunction here, and the i·ħ factor then becomes a sort of unit in which we measure the time rate of change. Alternatively, you may think of ‘splitting’ Planck’s constant in two: Planck’s energy, and Planck’s time unit, and then you bring the Planck energy unit to the other side, so we’d express the energy in natural units. Likewise, the time rate of change of the components of our wavefunction would also be measured in natural time units if we’d do that.

I know this is all very abstract but, frankly, it’s crystal clear to me. This formula tells us that the energy of the particle that’s being described by the wavefunction is being carried by the oscillations of the wavefunction. In fact, the oscillations are the energy. You can play with the mass factor, by moving it to the left-hand side too, or by using Einstein’s mass-energy equivalence relation. The interpretation remains consistent.

In fact, there is something really interesting here. You know that we usually separate out the spatial and temporal part of the wavefunction, so we write: ψ(r, t) = ψ(r)·e−i·(E/ħ)·t. In fact, it is quite common to refer to ψ(r) – rather than to ψ(r, t) – as the wavefunction, even if, personally, I find that quite confusing and misleading (see my page onSchrödinger’s equation). Now, we may want to think of what happens when we’d apply the energy operator to ψ(r) rather than to ψ(r, t). We may think that we’d get a time-independent value for the energy at that point in space, so energy is some function of position only, not of time. That’s an interesting thought, and we should explore it. For example, we then may think of energy as an average that changes with position—as opposed to the (average) position and momentum, which we like to think of as averages than change with time, as mentioned above. I will come back to this later – but perhaps in another post or so. Not now. The only point I want to mention here is the following: you cannot use ψ(r) in Schrödinger’s equation. Why? Well… Schrödinger’s equation is no longer valid when substituting ψ for ψ(r), because the left-hand side is always zero, as ∂ψ(r)/∂t is zero – for any r.

There is another, related, point to this observation. If you think that Schrödinger’s equation implies that the operators on both sides of Schrödinger’s equation must be equivalent (i.e. the same), you’re wrong:

i·ħ·∂/∂t ≠ H = −(1/2)·(ħ2/m)∇2 + V

It’s a basic thing, really: Schrödinger’s equation is not valid for just any function. Hence, it does not work for ψ(r). Only ψ(r, t) makes it work, because… Well… Schrödinger’s equation gave us ψ(r, t)!

Some content on this page was disabled on June 16, 2020 as a result of a DMCA takedown notice from The California Institute of Technology. You can learn more about the DMCA here:

https://wordpress.com/support/copyright-and-the-dmca/
Some content on this page was disabled on June 16, 2020 as a result of a DMCA takedown notice from The California Institute of Technology. You can learn more about the DMCA here:

https://wordpress.com/support/copyright-and-the-dmca/
Some content on this page was disabled on June 16, 2020 as a result of a DMCA takedown notice from The California Institute of Technology. You can learn more about the DMCA here:

https://wordpress.com/support/copyright-and-the-dmca/

Quantum-mechanical operators

We climbed a mountain—step by step, post by post. 🙂 We have reached the top now, and the view is gorgeous. We understand Schrödinger’s equation, which describes how amplitudes propagate through space-time. It’s the quintessential quantum-mechanical expression. Let’s enjoy now, and deepen our understanding by introducing the concept of (quantum-mechanical) operators.

The operator concept

We’ll introduce the operator concept using Schrödinger’s equation itself and, in the process, deepen our understanding of Schrödinger’s equation a bit. You’ll remember we wrote it as:

schrodinger 5

However, you’ve probably seen it like it’s written on his bust, or on his grave, or wherever, which is as follows:

simple

Grave

It’s the same thing, of course. The ‘over-dot’ is Newton’s notation for the time derivative. In fact, if you click on the picture above (and zoom in a bit), then you’ll see that the craftsman who made the stone grave marker, mistakenly, also carved a dot above the psi (ψ) on the right-hand side of the equation—but then someone pointed out his mistake and so the dot on the right-hand side isn’t painted. 🙂 The thing I want to talk about here, however, is the H in that expression above, which is, obviously, the following operator:

H

That’s a pretty monstrous operator, isn’t it? It is what it is, however: an algebraic operator (it operates on a number—albeit a complex number—unlike a matrix operator, which operates on a vector or another matrix). As you can see, it actually consists of two other (algebraic) operators:

  1. The ∇2 operator, which you know: it’s a differential operator. To be specific, it’s the Laplace operator, which is the divergence (∇·) of the gradient (∇) of a function: ∇2 = ∇·∇ = (∂/∂x, ∂/∂y , ∂/∂z)·(∂/∂x, ∂/∂y , ∂/∂z) = ∂2/∂x2  + ∂2/∂y2 + ∂2/∂z2. This too operates on our complex-valued function wavefunction ψ, and yields some other complex-valued function, which we then multiply by −ħ2/2m to get the first term.
  2. The V(x, y, z) ‘operator’, which—in this particular context—just means: “multiply with V”. Needless to say, V is the potential here, and so it captures the presence of external force fields. Also note that V is a real number, just like −ħ2/2m.

Let me say something about the dimensions here. On the left-hand side of Schrödinger’s equation, we have the product of ħ and a time derivative (i is just the imaginary unit, so that’s just a (complex) number). Hence, the dimension there is [J·s]/[s] (the dimension of a time derivative is something expressed per second). So the dimension of the left-hand side is joule. On the right-hand side, we’ve got two terms. The dimension of that second-order derivative (∇2ψ) is something expressed per square meter, but then we multiply it with −ħ2/2m, whose dimension is [J2·s2]/[J/(m2/s2)]. [Remember: m = E/c2.] So that reduces to [J·m2]. Hence, the dimension of (−ħ2/2m)∇2ψ is joule. And the dimension of V is joule too, of course. So it all works out. In fact, now that we’re here, it may or may not be useful to remind you of that heat diffusion equation we discussed when introducing the basic concepts involved in vector analysis:

diffusion equation

That equation illustrated the physical significance of the Laplacian. We were talking about the flow of heat in, say, a block of metal, as illustrated below. The q in the equation above is the heat per unit volume, and the h in the illustration below was the heat flow vector (so it’s got nothing to do with Planck’s constant), which depended on the material, and which we wrote as h = –κ∇T, with T the temperature, and κ (kappa) the thermal conductivity. In any case, the point is the following: the equation below illustrates the physical significance of the Laplacian. We let it operate on the temperature (i.e. a scalar function) and its product with some constant (just think of replacing κ by −ħ2/2m gives us the time derivative of q, i.e. the heat per unit volume.

heat flow

In fact, we know that q is proportional to T, so if we’d choose an appropriate temperature scale – i.e. choose the zero point such that q = k·T (your physics teacher in high school would refer to k as the (volume) specific heat capacity) – then we could simple write:

∂T/∂t = (κ/k)∇2T

From a mathematical point of view, that equation is just the same as ∂ψ/∂t = –(i·ħ/2m)·∇2ψ, which is Schrödinger’s equation for V = 0. In other words, you can – and actually should – also think of Schrödinger’s equation as describing the flow of… Well… What?

Well… Not sure. I am tempted to think of something like a probability density in space, but ψ represents a (complex-valued) amplitude. Having said that, you get the idea—I hope! 🙂 If not, let me paraphrase Feynman on this:

“We can think of Schrödinger’s equation as describing the diffusion of a probability amplitude from one point to another. In fact, the equation looks something like the diffusion equation we introduced when discussing heat flow, or the spreading of a gas. But there is one main difference: the imaginary coefficient in front of the time derivative makes the behavior completely different from the ordinary diffusion such as you would have for a gas spreading out. Ordinary diffusion gives rise to real exponential solutions, whereas the solutions of Schrödinger’s equation are complex waves.”

That says it all, right? 🙂 In fact, Schrödinger’s equation – as discussed here – was actually being derived when describing the motion of an electron along a line of atoms, i.e. for motion in one direction only, but you can visualize what it represents in three-dimensional space. The real exponential functions Feynman refer to exponential decay function: as the energy is spread over an ever-increasing volume, the amplitude of the wave becomes smaller and smaller. That may be the case for complex-valued exponentials as well. The key difference between a real- and complex-valued exponential decay function is that a complex exponential is a cyclical function. Now, I quickly googled to see how we could visualize that, and I like the following illustration:

decay

The dimensional analysis of Schrödinger’s equation is also quite interesting because… Well… Think of it: that heat diffusion equation incorporates the same dimensions: temperature is a measure of the average energy of the molecules. That’s really something to think about. These differential equations are not only structurally similar but, in addition, they all seem to describe some flow of energy. That’s pretty deep stuff: it relates amplitudes to energies, so we should think in terms of Poynting vectors and all that. But… Well… I need to move on, and so I will move on—so you can re-visit this later. 🙂

Now that we’ve introduced the concept of an operator, let me say something about notations, because that’s quite confusing.

Some remarks on notation

Because it’s an operator, we should actually use the hat symbol—in line with what we did when we were discussing matrix operators: we’d distinguish the matrix (e.g. A) from its use as an operator (Â). You may or may not remember we do the same in statistics: the hat symbol is supposed to distinguish the estimator (â) – i.e. some function we use to estimate a parameter (which we usually denoted by some Greek symbol, like α) – from a specific estimate of the parameter, i.e. the value (a) we get when applying â to a specific sample or observation. However, if you remember the difference, you’ll also remember that hat symbol was quickly forgotten, because the context made it clear what was what, and so we’d just write a(x) instead of â(x). So… Well… I’ll be sloppy as well here, if only because the WordPress editor only offers very few symbols with a hat! 🙂

In any case, this discussion on the use (or not) of that hat is irrelevant. In contrast, what is relevant is to realize this algebraic operator H here is very different from that other quantum-mechanical Hamiltonian operator we discussed when dealing with a finite set of base states: that H was the Hamiltonian matrix, but used in an ‘operation’ on some state. So we have the matrix operator H, and the algebraic operator H.

Confusing?

Yes and no. First, we’ve got the context again, and so you always know whether you’re looking at continuous or discrete stuff:

  1. If your ‘space’ is continuous (i.e. if states are to defined with reference to an infinite set of base states), then it’s the algebraic operator.
  2. If, on the other hand, your states are defined by some finite set of discrete base states, then it’s the Hamiltonian matrix.

There’s another, more fundamental, reason why there should be no confusion. In fact, it’s the reason why physicists use the same symbol H in the first place: despite the fact that they look so different, these two operators (i.e. H the algebraic operator and H the matrix operator) are actually equivalent. Their interpretation is similar, as evidenced from the fact that both are being referred to as the energy operator in quantum physics. The only difference is that one operates on a (state) vector, while the other operates on a continuous function. It’s just the difference between matrix mechanics as opposed to wave mechanics really.

But… Well… I am sure I’ve confused you by now—and probably very much so—and so let’s start from the start. 🙂

Matrix mechanics

Let’s start with the easy thing indeed: matrix mechanics. The matrix-mechanical approach is summarized in that set of Hamiltonian equations which, by now, you know so well:

new

If we have n base states, then we have n equations like this: one for each i = 1, 2,… n. As for the introduction of the Hamiltonian, and the other subscript (j), just think of the description of a state:

essential

So… Well… Because we had used i already, we had to introduce j. 🙂

Let’s think about |ψ〉. It is the state of a system, like the ground state of a hydrogen atom, or one of its many excited states. But… Well… It’s a bit of a weird term, really. It all depends on what you want to measure: when we’re thinking of the ground state, or an excited state, we’re thinking energy. That’s something else than thinking its position in space, for example. Always remember: a state is defined by a set of base states, and so those base states come with a certain perspective: when talking states, we’re only looking at some aspect of reality, really. Let’s continue with our example of energy states, however.

You know that the lifetime of a system in an excited state is usually short: some spontaneous or induced emission of a quantum of energy (i.e. a photon) will ensure that the system quickly returns to a less excited state, or to the ground state itself. However, you shouldn’t think of that here: we’re looking at stable systems here. To be clear: we’re looking at systems that have some definite energy—or so we think: it’s just because of the quantum-mechanical uncertainty that we’ll always measure some other different value. Does that make sense?

If it doesn’t… Well… Stop reading, because it’s only going to get even more confusing. Not my fault, however!

Psi-chology

The ubiquity of that ψ symbol (i.e. the Greek letter psi) is really something psi-chological 🙂 and, hence, very confusing, really. In matrix mechanics, our ψ would just denote a state of a system, like the energy of an electron (or, when there’s only one electron, our hydrogen atom). If it’s an electron, then we’d describe it by its orbital. In this regard, I found the following illustration from Wikipedia particularly helpful: the green orbitals show excitations of copper (Cu) orbitals on a CuO2 plane. [The two big arrows just illustrate the principle of X-ray spectroscopy, so it’s an X-ray probing the structure of the material.]

800px-CuO2-plane_in_high_Tc_superconductor

So… Well… We’d write ψ as |ψ〉 just to remind ourselves we’re talking of some state of the system indeed. However, quantum physicists always want to confuse you, and so they will also use the psi symbol to denote something else: they’ll use it to denote a very particular Ci amplitude (or coefficient) in that |ψ〉 = ∑|i〉Ci formula above. To be specific, they’d replace the base states |i〉 by the continuous position variable x, and they would write the following:

Ci = ψ(i = x) = ψ(x) = Cψ(x) = C(x) = 〈x|ψ〉

In fact, that’s just like writing:

φ(p) = 〈 mom p | ψ 〉 = 〈p|ψ〉 = Cφ(p) = C(p)

What they’re doing here, is (1) reduce the ‘system‘ to a ‘particle‘ once more (which is OK, as long as you know what you’re doing) and (2) they basically state the following:

If a particle is in some state |ψ〉, then we can associate some wavefunction ψ(x) or φ(p)—with it, and that wavefunction will represent the amplitude for the system (i.e. our particle) to be at x, or to have a momentum that’s equal to p.

So what’s wrong with that? Well… Nothing. It’s just that… Well… Why don’t they use χ(x) instead of ψ(x)? That would avoid a lot of confusion, I feel: one should not use the same symbol (psi) for the |ψ〉 state and the ψ(x) wavefunction.

Huh? Yes. Think about it. The point is: the position or the momentum, or even the energy, are properties of the system, so to speak and, therefore, it’s really confusing to use the same symbol psi (ψ) to describe (1) the state of the system, in general, versus (2) the position wavefunction, which describes… Well… Some very particular aspect (or ‘state’, if you want) of the same system (in this case: its position). There’s no such problem with φ(p), so… Well… Why don’t they use χ(x) instead of ψ(x) indeed? I have only one answer: psi-chology. 🙂

In any case, there’s nothing we can do about it and… Well… In fact, that’s what this post is about: it’s about how to describe certain properties of the system. Of course, we’re talking quantum mechanics here and, hence, uncertainty, and, therefore, we’re going to talk about the average position, energy, momentum, etcetera that’s associated with a particular state of a system, or—as we’ll keep things very simple—the properties of a ‘particle’, really. Think of an electron in some orbital, indeed! 🙂

So let’s now look at that set of Hamiltonian equations once again:

new

Looking at it carefully – so just look at it once again! 🙂 – and thinking about what we did when going from the discrete to the continuous setting, we can now understand we should write the following for the continuous case:

equivalence

Of course, combining Schrödinger’s equation with the expression above implies the following:

equality

Now how can we relate that integral to the expression on the right-hand side? I’ll have to disappoint you here, as it requires a lot of math to transform that integral. It requires writing H(x, x’) in terms of rather complicated functions, including – you guessed it, didn’t you? – Dirac’s delta function. Hence, I assume you’ll believe me if I say that the matrix- and wave-mechanical approaches are actually equivalent. In any case, if you’d want to check it, you can always read Feynman yourself. 🙂

Now, I wrote this post to talk about quantum-mechanical operators, so let me do that now.

Quantum-mechanical operators

You know the concept of an operator. As mentioned above, we should put a little hat (^) on top of our Hamiltonian operator, so as to distinguish it from the matrix itself. However, as mentioned above, the difference is usually quite clear from the context. Our operators were all matrices so far, and we’d write the matrix elements of, say, some operator A, as:

Aij ≡ 〈 i | A | j 〉

The whole matrix itself, however, would usually not act on a base state but… Well… Just on some more general state ψ, to produce some new state φ, and so we’d write:

| φ 〉 = A | ψ 〉

Of course, we’d have to describe | φ 〉 in terms of the (same) set of base states and, therefore, we’d expand this expression into something like this:

operator 2

You get the idea. I should just add one more thing. You know this important property of amplitudes: the 〈 ψ | φ 〉 amplitude is the complex conjugate of the 〈 φ | ψ 〉 amplitude. It’s got to do with time reversibility, because the complex conjugate of e−iθ = e−i(ω·t−k·x) is equal to eiθ = ei(ω·t−k·x), so we’re just reversing the x- and tdirection. We write:

 〈 ψ | φ 〉 = 〈 φ | ψ 〉*

Now what happens if we want to take the complex conjugate when we insert a matrix, so when writing 〈 φ | A | ψ 〉 instead of 〈 φ | ψ 〉, this rules becomes:

〈 φ | A | ψ 〉* = 〈 ψ | A† | φ 〉

The dagger symbol denotes the conjugate transpose, so A† is an operator whose matrix elements are equal to Aij† = Aji*. Now, it may or may not happen that the A† matrix is actually equal to the original A matrix. In that case – and only in that case – we can write:

〈 ψ | A | φ 〉 = 〈 φ | A | ψ 〉*

We then say that A is a ‘self-adjoint’ or ‘Hermitian’ operator. That’s just a definition of a property, which the operator may or may not have—but many quantum-mechanical operators are actually Hermitian. In any case, we’re well armed now to discuss some actual operators, and we’ll start with that energy operator.

The energy operator (H)

We know the state of a system is described in terms of a set of base states. Now, our analysis of N-state systems showed we can always describe it in terms of a special set of base states, which are referred to as the states of definite energy because… Well… Because they’re associated with some definite energy. In that post, we referred to these energy levels as En (n = I, II,… N). We used boldface for the subscript n (so we wrote n instead of n) because of these Roman numerals. With each energy level, we could associate a base state, of definite energy indeed, that we wrote as |n〉. To make a long story short, we summarized our results as follows:

  1. The energies EI, EII,…, En,…, EN are the eigenvalues of the Hamiltonian matrix H.
  2. The state vectors |n〉 that are associated with each energy En, i.e. the set of vectors |n〉, are the corresponding eigenstates.

We’ll be working with some more subscripts in what follows, and these Roman numerals and the boldface notation are somewhat confusing (if only because I don’t want you to think of these subscripts as vectors), we’ll just denote EI, EII,…, En,…, EN as E1, E2,…, Ei,…, EN, and we’ll number the states of definite energy accordingly, also using some Greek letter so as to clearly distinguish them from all our Latin letter symbols: we’ll write these states as: |η1〉, |η1〉,… |ηN〉. [If I say, ‘we’, I mean Feynman of course. You may wonder why he doesn’t write |Ei〉, or |εi〉. The answer is: writing |En〉 would cause confusion, because this state will appear in expressions like: |Ei〉Ei, so that’s the ‘product’ of a state (|Ei〉) and the associated scalar (Ei). Too confusing. As for using η (eta) instead of ε (epsilon) to denote something that’s got to do with energy… Well… I guess he wanted to keep the resemblance with the n, and then the Ancient Greek apparently did use this η letter  for a sound like ‘e‘ so… Well… Why not? Let’s get back to the lesson.]

Using these base states of definite energy, we can write the state of the system as:

|ψ〉 = ∑ |ηi〉 Ci  = ∑ |ηi〉〈ηi|ψ〉    over all i (i = 1, 2,… , N)

Now, we didn’t talk all that much about what these base states actually mean in terms of measuring something but you’ll believe if I say that, when measuring the energy of the system, we’ll always measure one or the other E1, E2,…, Ei,…, EN value. We’ll never measure something in-between: it’s eitheror. Now, as you know, measuring something in quantum physics is supposed to be destructive but… Well… Let us imagine we could make a thousand measurements to try to determine the average energy of the system. We’d do so by counting the number of times we measure E1 (and of course we’d denote that number as N1), E2, E3, etcetera. You’ll agree that we’d measure the average energy as:

E average

However, measurement is destructive, and we actually know what the expected value of this ‘average’ energy will be, because we know the probabilities of finding the system in a particular base state. That probability is equal to the absolute square of that Ci coefficient above, so we can use the Pi = |Ci|2 formula to write:

〈Eav〉 = ∑ Pi Ei over all i (i = 1, 2,… , N)

Note that this is a rather general formula. It’s got nothing to do with quantum mechanics: if Ai represents the possible values of some quantity A, and Pi is the probability of getting that value, then (the expected value of) the average A will also be equal to 〈Aav〉 = ∑ Pi Ai. No rocket science here! 🙂 But let’s now apply our quantum-mechanical formulas to that 〈Eav〉 = ∑ Pi Ei formula. [Oh—and I apologize for using the same angle brackets 〈 and 〉 to denote an expected value here—sorry for that! But it’s what Feynman does—and other physicists! You see: they don’t really want you to understand stuff, and so they often use very confusing symbols.] Remembering that the absolute square of a complex number equals the product of that number and its complex conjugate, we can re-write the 〈Eav〉 = ∑ Pi Ei formula as:

〈Eav〉 = ∑ Pi Ei = ∑ |Ci|2 Ei = ∑ Ci*Ci Ei = ∑ Ci *Ci Ei = ∑ 〈ψ|ηi〉〈ηi|ψ〉Ei = ∑ 〈ψ|ηi〉Ei〈ηi|ψ〉 over all i

Now, you know that Dirac’s bra-ket notation allows numerous manipulations. For example, what we could do is take out that ‘common factor’ 〈ψ|, and so we may re-write that monster above as:

〈Eav〉 = 〈ψ| ∑ ηi〉Ei〈ηi|ψ〉 = 〈ψ|φ〉, with |φ〉 = ∑ |ηi〉Ei〈ηi|ψ〉 over all i

Huh? Yes. Note the difference between |ψ〉 = ∑ |ηi〉 Ci  = ∑ |ηi〉〈ηi|ψ〉 and |φ〉 = ∑ |ηi〉Ei〈ηi|ψ〉. As Feynman puts it: φ is just some ‘cooked-up‘ state which you get by taking each of the base states |ηi〉 in the amount Ei〈ηi|ψ〉 (as opposed to the 〈ηi|ψ〉 amounts we took for ψ).

I know: you’re getting tired and you wonder why we need all this stuff. Just hang in there. We’re almost done. I just need to do a few more unpleasant things, one of which is to remind you that this business of the energy states being eigenstates (and the energy levels being eigenvalues) of our Hamiltonian matrix (see my post on N-state systems) comes with a number of interesting properties, including this one:

H |ηi〉 = Ei|ηi〉 = |ηi〉Ei

Just think about what’s written here: on the left-hand side, we’re multiplying a matrix with a (base) state vector, and on the left-hand side we’re multiplying it with a scalar. So our |φ〉 = ∑ |ηi〉Ei〈ηi|ψ〉 sum now becomes:

|φ〉 = ∑ H |ηi〉〈ηi|ψ〉 over all i (i = 1, 2,… , N)

Now we can manipulate that expression some more so as to get the following:

|φ〉 = H ∑|ηi〉〈ηi|ψ〉 = H|ψ〉

Finally, we can re-combine this now with the 〈Eav〉 = 〈ψ|φ〉 equation above, and so we get the fantastic result we wanted:

〈Eav〉 = 〈 ψ | φ 〉 = 〈 ψ | H | ψ 〉

Huh? Yes! To get the average energy, you operate on |ψ〉 with H, and then you multiply the result with 〈ψ|. It’s a beautiful formula. On top of that, the new formula for the average energy is not only pretty but also useful, because now we don’t need to say anything about any particular set of base states. We don’t even have to know all of the possible energy levels. When we have to calculate the average energy of some system, we only need to be able to describe the state of that system in terms of some set of base states, and we also need to know the Hamiltonian matrix for that set, of course. But if we know that, we can calculate its average energy.

You’ll say that’s not a big deal because… Well… If you know the Hamiltonian, you know everything, so… Well… Yes. You’re right: it’s less of a big deal than it seems. Having said that, the whole development above is very interesting because of something else: we can easily generalize it for other physical measurements. I call it the ‘average value’ operator idea, but you won’t find that term in any textbook. 🙂 Let me explain the idea.

The average value operator (A)

The development above illustrates how we can relate a physical observable, like the (average) energy (E), to a quantum-mechanical operator (H). Now, the development above can easily be generalized to any observable that would be proportional to the energy. It’s perfectly reasonable, for example, to assume the angular momentum – as measured in some direction, of course, which we usually refer to as the z-direction – would be proportional to the energy, and so then it would be easy to define a new operator Lz, which we’d define as the operator of the z-component of the angular momentum L. [I know… That’s a bit of a long name but… Well… You get the idea.] So we can write:

〈Lz〉av = 〈 ψ | Lz | ψ 〉

In fact, further generalization yields the following grand result:

If a physical observable A is related to a suitable quantum-mechanical operator Â, then the average value of A for the state | ψ 〉 is given by:

〈A〉av = 〈 ψ |  | ψ 〉 = 〈 ψ | φ 〉 with | φ 〉 =  | ψ 〉

At this point, you may have second thoughts, and wonder: what state | ψ 〉? The answer is: it doesn’t matter. It can be any state, as long as we’re able to describe in terms of a chosen set of base states. 🙂

OK. So far, so good. The next step is to look at how this works for the continuity case.

The energy operator for wavefunctions (H)

We can start thinking about the continuous equivalent of the 〈Eav〉 = 〈ψ|H|ψ〉 expression by first expanding it. We write:

e average continuous function

You know the continuous equivalent of a sum like this is an integral, i.e. an infinite sum. Now, because we’ve got two subscripts here (i and j), we get the following double integral:

double integral

Now, I did take my time to walk you through Feynman’s derivation of the energy operator for the discrete case, i.e. the operator when we’re dealing with matrix mechanics, but I think I can simplify my life here by just copying Feynman’s succinct development:

Feynman

Done! Given a wavefunction ψ(x), we get the average energy by doing that integral above. Now, the quantity in the braces of that integral can be written as that operator we introduced when we started this post:

H

So now we can write that integral much more elegantly. It becomes:

〈E〉av = ∫ ψ*(x) H ψ(x) dx

You’ll say that doesn’t look like 〈Eav〉 = 〈 ψ | H | ψ 〉! It does. Remember that 〈 ψ | = | ψ 〉*. 🙂 Done!

I should add one qualifier though: the formula above assumes our wavefunction has been normalized, so all probabilities add up to one. But that’s a minor thing. The only thing left to do now is to generalize to three dimensions. That’s easy enough. Our expression becomes a volume integral:

〈E〉av = ∫ ψ*(r) H ψ(r) dV

Of course, dV stands for dVolume here, not for any potential energy, and, of course, once again we assume all probabilities over the volume add up to 1, so all is normalized. Done! 🙂

We’re almost done with this post. What’s left is the position and momentum operator. You may think this is going to another lengthy development but… Well… It turns out the analysis is remarkably simple. Just stay with me a few more minutes and you’ll have earned your degree. 🙂

The position operator (x)

The thing we need to solve here is really easy. Look at the illustration below as representing the probability density of some particle being at x. Think about it: what’s the average position?

average position

Well? What? The (expected value of the) average position is just this simple integral: 〈x〉av = ∫ x P(x) dx, over all the whole range of possible values for x. 🙂 That’s all. Of course, because P(x) = |ψ(x)|2 =ψ*(x)·ψ(x), this integral now becomes:

〈x〉av = ∫ ψ*(x) x ψ(x) dx

That looks exactly the same as 〈E〉av = ∫ ψ*(x) H ψ(x) dx, and so we can look at x as an operator too!

Huh? Yes. It’s an extremely simple operator: it just means “multiply by x“. 🙂

I know you’re shaking your head now: is it that easy? It is. Moreover, the ‘matrix-mechanical equivalent’ is equally simple but, as it’s getting late here, I’ll refer you to Feynman for that. 🙂

The momentum operator (px)

Now we want to calculate the average momentum of, say, some electron. What integral would you use for that? […] Well… What? […] It’s easy: it’s the same thing as for x. We can just substitute replace x for p in that 〈x〉av = ∫ x P(x) dx formula, so we get:

〈p〉av = ∫ p P(p) dp, over all the whole range of possible values for p

Now, you might think the rest is equally simple, and… Well… It actually is simple but there’s one additional thing in regard to the need to normalize stuff here. You’ll remember we defined a momentum wavefunction (see my post on the Uncertainty Principle), which we wrote as:

φ(p) = 〈 mom p | ψ 〉

Now, in the mentioned post, we related this momentum wavefunction to the particle’s ψ(x) = 〈x|ψ〉 wavefunction—which we should actually refer to as the position wavefunction, but everyone just calls it the particle’s wavefunction, which is a bit of a misnomer, as you can see now: a wavefunction describes some property of the system, and so we can associate several wavefunctions with the same system, really! In any case, we noted the following there:

  • The two probability density functions, φ(p) and ψ(x), look pretty much the same, but the half-width (or standard deviation) of one was inversely proportional to the half-width of the other. To be precise, we found that the constant of proportionality was equal to ħ/2, and wrote that relation as follows: σp = (ħ/2)/σx.
  • We also found that, when using a regular normal distribution function for ψ(x), we’d have to normalize the probability density function by inserting a (2πσx2)−1/2 in front of the exponential.

Now, it’s a bit of a complicated argument, but the upshot is that we cannot just write what we usually write, i.e. Pi = |Ci|2 or P(x) = |ψ(x)|2. No. We need to put a normalization factor in front, which combines the two factors I mentioned above. To be precise, we have to write:

P(p) = |〈p|ψ〉|2/(2πħ)

So… Well… Our 〈p〉av = ∫ p P(p) dp integral can now be written as:

〈p〉av = ∫ 〈ψ|p〉p〈p|ψ〉 dp/(2πħ)

So that integral is totally like what we found for 〈x〉av and so… We could just leave it at that, and say we’ve solved the problem. In that sense, it is easy. However, having said that, it’s obvious we’d want some solution that’s written in terms of ψ(x), rather than in terms of φ(p), and that requires some more manipulation. I’ll refer you, once more, to Feynman for that, and I’ll just give you the result:

momentum operator

So… Well… I turns out that the momentum operator – which I tentatively denoted as px above – is not so simple as our position operator (x). Still… It’s not hugely complicated either, as we can write it as:

px ≡ (ħ/i)·(∂/∂x)

Of course, the purists amongst you will, once again, say that I should be more careful and put a hat wherever I’d need to put one so… Well… You’re right. I’ll wrap this all up by copying Feynman’s overview of the operators we just explained, and so he does use the fancy symbols. 🙂

overview

Well, folks—that’s it! Off we go! You know all about quantum physics now! We just need to work ourselves through the exercises that come with Feynman’s Lectures, and then you’re ready to go and bag a degree in physics somewhere. So… Yes… That’s what I want to do now, so I’ll be silent for quite a while now. Have fun! 🙂

Some content on this page was disabled on June 16, 2020 as a result of a DMCA takedown notice from The California Institute of Technology. You can learn more about the DMCA here:

https://wordpress.com/support/copyright-and-the-dmca/
Some content on this page was disabled on June 16, 2020 as a result of a DMCA takedown notice from The California Institute of Technology. You can learn more about the DMCA here:

https://wordpress.com/support/copyright-and-the-dmca/
Some content on this page was disabled on June 16, 2020 as a result of a DMCA takedown notice from The California Institute of Technology. You can learn more about the DMCA here:

https://wordpress.com/support/copyright-and-the-dmca/
Some content on this page was disabled on June 16, 2020 as a result of a DMCA takedown notice from The California Institute of Technology. You can learn more about the DMCA here:

https://wordpress.com/support/copyright-and-the-dmca/
Some content on this page was disabled on June 16, 2020 as a result of a DMCA takedown notice from The California Institute of Technology. You can learn more about the DMCA here:

https://wordpress.com/support/copyright-and-the-dmca/